Mathematics 2 Final 13. Deneme Sınavı
Toplam 19 Soru1.Soru
|
|
|
|
|
|
|
|
|
|
Therefore the correct answer is the E option.
2.Soru
The Lorenz curve for the distribution of income in a certain country is defined by
What is the Gini index of this country?
|
|
|
|
|
|
|
|
|
|
We can calculate the Gini index by using the formula
Lorenz curve. Inserting the given in the question, we find
3.Soru
What is the determinant of the coefficient matrix of the below linear system?
|
2 |
|
3 |
|
4 |
|
5 |
|
6 |
The coefficient matrix of the linear system is
and the determinant of
is 6.
4.Soru
|
|
|
|
|
|
|
|
|
|
The matrix A is a
matrix and the matrix B is a
matrix which means multiplying them will give a
matrix. Now observe that
Therefore the correct answer is E.
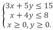
5.Soru
Which of the following the maximum value of
subject to the conditions
|
26 |
|
34 |
|
45 |
|
54 |
|
65 |
The corner points are (0,0) , (0,8) , (7,0) , (6,2) Evaluate the values of the goal function
The maximizing point is (6,2) and the maximum value is 54.
Correct answer is D
6.Soru
What is the type of the matrix
|
1x4 |
|
2x4 |
|
3x4 |
|
4x3 |
|
4x2 |
Since given matrix has 3 rows and 4 columns it is the type of 3x4.
7.Soru
Which of the following goal function yields the value 112 at (11,4)?
|
|
|
|
|
|
|
|
|
|
For the point (11,4)
Correct answer is C
8.Soru
Which one of the following matrix is the inverse of the matrix A?
|
|
|
|
|
|
|
|
|
|
9.Soru
A unit change in the production cost of a item produce at a number of x units is given by C' (x) = 10x + 2000. If the number of items to be produce increases from 10 to 20, find the increase in the total cost
|
1500 |
|
2500 |
|
14000 |
|
21500 |
|
27500 |
Firstly, we need to determine the total cost function. This is achieved by integration as
10.Soru
Given the matrix game
which of the following is the equilirium pair?
|
(1 st row, 1 st column) |
|
(1 st row, 2 nd column) |
|
(1 st row, 3 rd column) |
|
(1 nd row, 3 rd column) |
|
(2 nd row, 2 nd column) |
For each row write the lowest element to the right and for each column write the greatest element below the matrix
There exists an equilibrium pair ( 2 nd row 2 nd column) the number 1 , which lies in the intersection of 2 st row, 2 st column is the lowest in the 2 st row, is the greatest in the 2 st column. Correct answer is E .
11.Soru
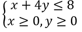
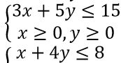
Constraint set of a maximization problem is shown below. Find the constraints.
|
|
|
|
|
|
|
|
|
|
The region is intersection of the solution sets of the inequalities
Therefore the constraints of the problem are
12.Soru
|
|
|
|
|
|
|
|
|
|
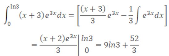
Let us use the integration by parts method. Let
which gives
Also, let
which gives
Substituting these values into
we get;
Therefore, the correct answer is C.
13.Soru
Given the matrix game
which of the following is the maximin strategy for Player I?
|
|
|
|
|
Player I, by choosing a row, maximizes the obtained element. The lowest elements of the rows are -2, -1 and 0 respectively. The greatest among those values is 0 on the 3rd row which will be the maximin strategy for Player I. The correct answer is C.
14.Soru
What is the value of the number if the system of linear equations
has infinitely many solutions?
|
-9 |
|
-3 |
|
0 |
|
3 |
|
9 |
If the system has infinitely many solutions (which means that the equations must coincide), then we know that one of the equations is a scalar multiple of the other one. We see that the coefficients of the second equation is 3/2 multiple of the first one. So it is clear that
16.Soru
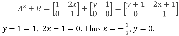
If
then
|
|
|
|
|
|
|
|
|
|
The determinant
is evaluated from the Sarrus’ rule as
Correct answer is B
17.Soru
If
to find the entries of the product matrix AB?
|
|
|
|
|
|
|
|
|
|
19.Soru
A company will launch a new mobile phone. The production rate of the new model, after t weeks, is given by the function
where x denotes the quantity of mobile phones produced. At most how many phones will be produced from the second week to the end of the fifth week?
|
210 |
|
211 |
|
212 |
|
213 |
|
214 |
We need to calculate the integral of the production rate over the interval 2 ? t ? 5 which gives
Hence the solution is B.
-
- 1.SORU ÇÖZÜLMEDİ
- 2.SORU ÇÖZÜLMEDİ
- 3.SORU ÇÖZÜLMEDİ
- 4.SORU ÇÖZÜLMEDİ
- 5.SORU ÇÖZÜLMEDİ
- 6.SORU ÇÖZÜLMEDİ
- 7.SORU ÇÖZÜLMEDİ
- 8.SORU ÇÖZÜLMEDİ
- 9.SORU ÇÖZÜLMEDİ
- 10.SORU ÇÖZÜLMEDİ
- 11.SORU ÇÖZÜLMEDİ
- 12.SORU ÇÖZÜLMEDİ
- 13.SORU ÇÖZÜLMEDİ
- 14.SORU ÇÖZÜLMEDİ
- 15.SORU ÇÖZÜLMEDİ
- 16.SORU ÇÖZÜLMEDİ
- 17.SORU ÇÖZÜLMEDİ
- 18.SORU ÇÖZÜLMEDİ
- 19.SORU ÇÖZÜLMEDİ