Mathematics 2 Final 14. Deneme Sınavı
Toplam 19 Soru1.Soru
Which of the following features about Lorenz function is false?
|
0 ≤ L(x) ≤ 1: because L(x) corresponds to a percentage |
|
L(0) = 0: because no income is earned when no one is employed |
|
L(1) = 1: because 100% of the income is earned by 100% of the people |
|
L(x) ≤ x : because the lowest-paid 100x% of people cannot receive more than 100x% of total income |
|
L(x) because the highest paid 100% of people cannot reduce more than 100% of total income. |
1. 0 ≤ L(x) ≤ 1: because L(x) corresponds to a percentage
2. L(0) = 0: because no income is earned when no one is employed
3. L(1) = 1: because 100% of the income is earned by 100% of the people
4. L(x) ≤ x : because the lowest-paid 100x% of people cannot receive more than 100x% of total income
2.Soru
Which of the following is not a corner point of the constraint set determined by the system of inequalities
|
(0,0) |
|
|
|
(4,3) |
|
(16,0) |
|
(0,4) |
One can easily see that the solution of the system of equations
is the point (4,3). Considering the other constraints we obtain that
are other corner points. Thus, (0,4) is not a corner point of constraint set.
3.Soru
The corner points of the constraint set of the goal function f are (1, 1), (1, 2), (2, 4), (4, 6). Which of the following is the maximum value of the function f = x - 2y?
|
-1 |
|
-2 |
|
-3 |
|
-4 |
|
-5 |
(1,1) , F = 1.1 – 2.1 = -1,
(1,2) , F = 1.1 – 2.2 = -3,
(2,4) , F = 1.2 – 2.4 = -6,
(4,6) , F = 1.4 – 2.6 = -8, max value = -1
4.Soru
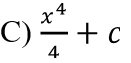
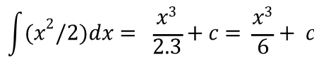
What is the indefinite integral of
|
|
|
|
|
|
|
|
|
|
the correct answer is A.
5.Soru
What is the guaranteed value for Player I in the matrix game
if Player I chose 2 nd row ?
|
0 |
|
2 |
|
3 |
|
5 |
|
8 |
If the first player chooses 2 nd row, the guaranteed value for him is the minimal element of this row.
Correct answer is A.
6.Soru
What is the determinant of the coefficient matrix of the linear system
|
-13 |
|
-3 |
|
0 |
|
3 |
|
13 |
The coefficient matrix is
Hence we have
7.Soru
In the matrix game
what is the summation of the guaranteed values for Player I choosing 2nd row and 4th row?
|
-14 |
|
-1 |
|
-10 |
|
-6 |
|
-12 |
The lowest element among the 2nd row elements {-4, -10, -7} is -10 and the lowest element among the 4th row elements {-2, 3, 0} is -2. Therefore the guaranteed values/wins for Player I is -10 and -2, summation of them is -12. The correct answer is E.
8.Soru
Which of the following points belongs to the set specified by the inequality
|
(1, 1) |
|
(-3, -2) |
|
(1, -2) |
|
(4, 3) |
|
(3, 2) |
We need to check every point in the options if they satisfy the given inequality. Observe that for the point (4, 3) we have
So the correct answer is D.
9.Soru
For -1≤X≤1, what is the area bounded by the graphs of the functions
|
|
|
|
|
|
|
1 |
|
|
Over the interval [-1,1],
Therefore,
10.Soru
Which element of the matrix
gives the equilibrium pair?
|
5 |
|
4 |
|
2 |
|
1 |
|
0 |
The number 1 is the lowest in the 1st row, the greatest in the 3rd column. (1st row, 3rd column) is the equilibrium pair.
11.Soru
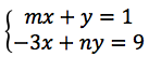
If the solution of the linear system
is the point (-1,3) then what is the value of m-n ?
|
-6 |
|
-3 |
|
0 |
|
2 |
|
6 |
It’s obvious that (-2,3) satisfies each of the equations. Hence
and
Therefore, we have m-n=2-2=0
12.Soru
What is the value of x.y if the matrices A and B are equal?
|
12 |
|
16 |
|
18 |
|
20 |
|
24 |
Since A and B are equal matrices then corresponding entries must be equal. This gives x+y=8 and x_y=4. When we solve this system of equations we get x=6 and y=2. Hence x.y=6.2=12
13.Soru
Given the matrix game
which of the following is the equilibrium pair?
|
(1st row, 3rd column) |
|
(1st row, 2rd column) |
|
(2nd row, 2nd column) |
|
(2nd row, 3rd column) |
|
(3rd row, 3rd column) |
The number -1, which lies in the intersection of the 1st row and the 2nd column, is the lowest in the 1st row, is the greatest in the 2nd column. Therefore(1st row, 2nd column) is the equilibrium pair.
14.Soru
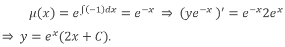
Which of the following is a general solution of the differential equation
|
|
|
|
|
|
|
|
|
|
Integrating factor
- So the correct answer is C.
15.Soru
What is the total profit earned over the period from 5th to 10th years, if the marginal profit is
in millions of TL per year?
|
800 |
|
850 |
|
875 |
|
900 |
|
975 |
We should evaluate the definite integral to find the total profit over the period from 5th to 10th years:
Hence, we find the total profit from 5th to 10th years as 875 million TL per year. The right answer is C.
16.Soru
Which of the following graphs is a tree?
|
|
|
|
|
|
|
|
|
|
Since a tree is a connected graph which contains no cycles.
17.Soru
What is the type of the matrix A?
|
1x2 |
|
2x2 |
|
3x3 |
|
3x4 |
|
3x2 |
m: row numbers
n: column numbers
m=3 and n=3 mxn=3x3
18.Soru
Which one of the following cannot be the sequence of degrees of the vertices of a graph?
|
1,1,2,3,2,1 |
|
1,2,2,3,1,1 |
|
2,2,3,1,1,2 |
|
3,1,1,1,2,2 |
|
3,3,3,1,2,2 |
We know from handshaking lemma that in any graph the sum of all the degrees is an even number but, 2 + 2 + 3 + 1 +1 + 2 = 11 is not even. Hence answer is C.
19.Soru
Given the matrix game
which of the following is equilibrium pair?
|
(1st row, 3rd column) |
|
(1st row, 2nd column) |
|
(2nd row, 1st column) |
|
(2nd row, 2nd column) |
|
(2nd row, 3rd column) |
For each row write the lowest element to the right, and for each column write the greatest element below the matrix
maximum {2,1} = 2, minimum {4, 2, 7} = 2. There exists an equilibrium pair (1st row, 2nd column). The number 2, which lies in the intersection of 1st row and 2nd column, is the lowest in the 1st row, is the greatest in the 2nd column. Answer is B.
-
- 1.SORU ÇÖZÜLMEDİ
- 2.SORU ÇÖZÜLMEDİ
- 3.SORU ÇÖZÜLMEDİ
- 4.SORU ÇÖZÜLMEDİ
- 5.SORU ÇÖZÜLMEDİ
- 6.SORU ÇÖZÜLMEDİ
- 7.SORU ÇÖZÜLMEDİ
- 8.SORU ÇÖZÜLMEDİ
- 9.SORU ÇÖZÜLMEDİ
- 10.SORU ÇÖZÜLMEDİ
- 11.SORU ÇÖZÜLMEDİ
- 12.SORU ÇÖZÜLMEDİ
- 13.SORU ÇÖZÜLMEDİ
- 14.SORU ÇÖZÜLMEDİ
- 15.SORU ÇÖZÜLMEDİ
- 16.SORU ÇÖZÜLMEDİ
- 17.SORU ÇÖZÜLMEDİ
- 18.SORU ÇÖZÜLMEDİ
- 19.SORU ÇÖZÜLMEDİ