Mathematics 2 Final 6. Deneme Sınavı
Toplam 19 Soru1.Soru
What is the solution of the differential equation
|
|
|
|
|
|
|
|
|
|
is the first order ODE with constant coefficent. The particular solution is the form of
Substuting
in the equation we
and
The correct answer is E.
2.Soru
I. G is plane diagram
II. G is connected.
III. G has n+1 vertices.
Let G be a tree with n edges. Which of the above statements are true?
|
I only |
|
I and II |
|
I and III |
|
II and III |
|
I,II and III |
A tree with n edges has n+1 vertices and it is both connected and plane diagram. Answer is E.
3.Soru
|
1 |
|
2 |
|
3 |
|
4 |
|
5 |
The chromatic number of any bipartite graph with at least one edge is 2. Then
Answer is B.
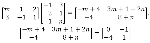
4.Soru
Which one of the following matrix is the inverse of the matrix
|
|
|
|
|
|
|
|
|
|
5.Soru
Which of the following is the minimax strategy for Player II, if the matrix game is given as
|
|
|
|
|
Player II, by choosing a column, minimizes the obtained element. The greatest elements of the columns are 2, 4 and 3 respectively. The smallest among these values is 2 which corresponds to the 1st column that is the minimax strategy will be 1st The correct answer is C.
6.Soru
If
what are the values of
|
|
|
|
|
|
|
|
|
|
Since
we obtain
Hence
7.Soru
What is the type of the matrix
|
|
|
|
|
|
|
|
|
|
The matrix above consists of 3 rows and 2 columns, which tells us it is a
matrix. The correct answer is D.
8.Soru
What is the guaranteed value for Player I in the matrix game
if Player I chooses 2nd row?
|
-8 |
|
-2 |
|
1 |
|
5 |
|
8 |
If Player I chooses 2d row he guarantees win -8, which is minimal among {-8, -2, 5}. Hence the correct answer is A.
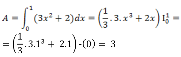
9.Soru
Evaluate the integral
|
-1 |
|
0 |
|
1 |
|
2 |
|
3 |
the correct answer is E.
10.Soru
If
and
what is
|
1 |
|
2 |
|
3 |
|
4 |
|
5 |
Since
then
is obtained. Since
is given, we should have
From this equation one has
Then answer is
11.Soru
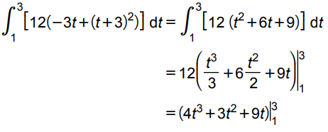
A car manufacturer AAA will launch its new model vehicle. The production rate of the new model, after t weeks, is given by the function
where x denotes the quantity of cars produced. How many cars will be produced from the beginning of the first week to the end of the third week?
|
128 |
|
132 |
|
138 |
|
142 |
|
146 |
We need to calculate the integral of the production rate over the interval 1 ≤ t ≤ 3 which gives
Therefore the correct answer is the E option.
12.Soru
What is the upper value of the matrix game given by
|
1 |
|
2 |
|
3 |
|
4 |
|
5 |
Minimum
Correct answer is A
13.Soru
Find the determinant matrix of A?
|
6 |
|
9 |
|
18 |
|
22 |
|
26 |
14.Soru
Which of the following points belongs to the set specified by the inequality
|
(4, 5) |
|
(3, 3) |
|
(1, -1) |
|
(5, -2) |
|
(2, 0) |
We need to check every point in the options if they satisfy the given inequality. Observe that for the point (1, -1) we have
So the correct answer is C.
15.Soru
Consider the matrix game
Which of the following is the lower value of this game?
|
-2 |
|
-3 |
|
-1 |
|
0 |
|
1 |
Correct answer is C.
16.Soru
Given the matrix game
which of the following is the equilibrium pair?
|
(2nd row, 3rd column) |
|
(3rd row, 1st column) |
|
(3rd row, 2nd column) |
|
(1st row, 2nd column) |
|
(2nd row, 2nd column) |
The number 2 from the second row is the lowest in the row, and the greatest in the third column.(2nd row, 3rd column) is the equilibrium pair.
17.Soru
Which of the following inequality describes the given graph ?
|
|
|
|
|
|
|
|
|
|
Correct answer is D .
18.Soru
Aşağıdakilerden hangisinin
doğrusal şifreleme fonksiyonu ile şifrelenmişi 1 olur?
|
5 |
|
4 |
|
3 |
|
2 |
|
1 |
bulunur. O halde deşifre fonksiyonu
olur. Buradan
olduğundan doğru cevap A’dır.
19.Soru
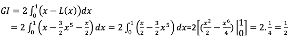
What is the Gini index for the Lorenz function L(x)=?
|
1/3 |
|
1/4 |
|
1/5 |
|
1/2 |
|
1/6 |
-
- 1.SORU ÇÖZÜLMEDİ
- 2.SORU ÇÖZÜLMEDİ
- 3.SORU ÇÖZÜLMEDİ
- 4.SORU ÇÖZÜLMEDİ
- 5.SORU ÇÖZÜLMEDİ
- 6.SORU ÇÖZÜLMEDİ
- 7.SORU ÇÖZÜLMEDİ
- 8.SORU ÇÖZÜLMEDİ
- 9.SORU ÇÖZÜLMEDİ
- 10.SORU ÇÖZÜLMEDİ
- 11.SORU ÇÖZÜLMEDİ
- 12.SORU ÇÖZÜLMEDİ
- 13.SORU ÇÖZÜLMEDİ
- 14.SORU ÇÖZÜLMEDİ
- 15.SORU ÇÖZÜLMEDİ
- 16.SORU ÇÖZÜLMEDİ
- 17.SORU ÇÖZÜLMEDİ
- 18.SORU ÇÖZÜLMEDİ
- 19.SORU ÇÖZÜLMEDİ