Mathematics 2 Final 7. Deneme Sınavı
Toplam 2 Soru1.Soru
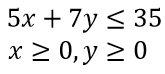
Which point satisfy the following inequalities?
|
(5,-1) |
|
(7,1) |
|
(-3,6) |
|
(4,2) |
|
(5,2) |
Yanıt Açıklaması:
The point (4,2) all inequalities. Indeed
It can be easily seen that the points other than (4,2) does not satisfy the both inequalities.
2.Soru
Which of the following graphs is not planar?
|
|
|
|
|
|
|
|
|
|
Yanıt Açıklaması:
When you consider the graphs given in the question, it is easy to see that all the graphs except
are planar. Answer is D.