Mathematics 2 Final 8. Deneme Sınavı
Toplam 20 Soru1.Soru
|
|
|
|
|
|
|
|
|
|
Therefore the correct answer is the B option.
2.Soru
What is the number of labelled trees on 5 vertices?
|
25 |
|
45 |
|
75 |
|
105 |
|
125 |
The number of labelled trees on 5 vertices is 55-2=53=125.
3.Soru
Which of the following goal functions yields the value 75 at (20, 5)?
|
f = 3x + 3y |
|
f = 11x - 40y |
|
f = 8x + 4y |
|
f = 12x + 2y |
|
f = 7x + 9y |
For the point (20, 5),
F = 3x + 3y = 3.20 + 3.5 = 75
4.Soru
What is the maximum value of the goal function
on the polygonal region given below?
|
(15,2) |
|
(19,13) |
|
(10,20) |
|
(1,13) |
|
(5,2) |
We must evaluate the values of the goal function
at the corner points.
Thus, the maximum of
over the constraint set will occur at (10,20).
5.Soru
For the matrix game
which of the following is the sum of the lower and upper values?
|
4 |
|
6 |
|
2 |
|
3 |
|
1 |
Correct answer is D.
6.Soru
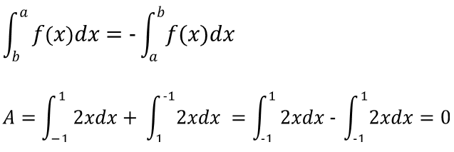
Evaluate the integral
|
-2 |
|
0 |
|
2 |
|
4 |
|
6 |
the correct answer is B.
7.Soru
Which of the following graphs is complete?
|
|
|
|
|
|
|
|
|
|
It is known that in a complete graph all of the vertices are adjacent to each other.
8.Soru
If x satisfies
then x=?
|
-4 |
|
-2 |
|
0 |
|
2 |
|
4 |
Let us determine the integral with Sarrus’ rule. For the determinant above we have
If we solve this equation we get
Therefore the
correct answer is A.
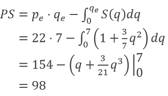
9.Soru
The supply curve of a certain product is given by
What is the producer surplus when 7 units of this product are sold?
|
93 |
|
98 |
|
87 |
|
91 |
|
89 |
The price may be found as
Using the integral formula for the producer surplus, we obtain
which is the required answer.
10.Soru
What is the solution of the following system of linear equations
|
|
|
|
|
|
|
|
|
|
The coefficient matrix of the system of linear equations is
The other matrices we use in the Cramer’s rule are
The determinant of these matrices are
Hence the solution of this system of linear equations is
11.Soru
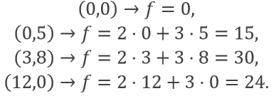
The corner points of a constraint set are (0,0), (0,5), (3,8), (12,0). Which of the following is the maximum value of the goal function
|
22 |
|
24 |
|
26 |
|
28 |
|
30 |
The maximum value is 30.
The correct answer is E.
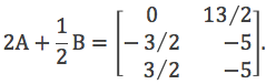
12.Soru
then which of the following is the entry c31 of the matrix
|
0 |
|
|
|
|
|
|
|
|
Since a31=0 and b31=3 then it is clear that
Furthermore, one can easily check that
13.Soru
Consider the matrix game
Which of the following is the lower value of this game?
|
-1 |
|
-2 |
|
1 |
|
2 |
|
3 |
When we consider the given matrix, we find
maximum {-1,-2}=-1. So the answer is A.
14.Soru
For the matrix game
what is the upper value?
|
5 |
|
4 |
|
3 |
|
2 |
|
1 |
minimum {5,5,3,6}=3.
15.Soru
Which of the following is the maximum value of
subject to the conditions
|
28 |
|
26 |
|
24 |
|
21 |
|
20 |
From the system
we have
The corner points are: (0,0), (0,5), (2,5), (7,0). The maximum is attained at the point (2,5) and equals
The correct answer is B.
16.Soru
What is the solution for the system below?
|
|
|
|
|
|
|
|
|
|
We will use the Cramer’s rule. The system above can be written as
for
and
The solution of this system of linear equations is
where
Now calculating determinants with the Sarrus’ rule we get
Hence our solution becomes
The correct answer is D.
17.Soru
What is the maximum value of
subject to the constraints x+4y≤1, x-y≤-4, x≤0, y≥0?
|
4 |
|
2 |
|
1 |
|
|
|
|
We should find the corner points firstly. When we solve the equations
we get a corner point (-3,1). In addition considering all constraints (especially x≤0, y≥0) we see that
are other corner points of the constraint set. Secondly, we will find the values of these corner points under the goal function:
The maximum value is 3/4.
18.Soru
RSA şifrelemesi kullanan alıcı
sayılarını seçmiştir. Buna göre
sayısının şifrelenmişi aşağıdakilerden hangisidir?
|
4 |
|
8 |
|
24 |
|
14 |
|
12 |
olmak üzere
sayısının şifrelenmişi
olur. Doğru cevap E’dir.
19.Soru
Which of the following points satisfy all the inequalities?
|
(1,3) |
|
(3,2) |
|
(-2,2) |
|
(8,-1) |
|
(3,1) |
The point (3,1) only.
20.Soru
Which of the following types of matrices can be multiplied by a 2x3 matrix?
|
2x3 |
|
2x4 |
|
4x2 |
|
3x4 |
|
4x3 |
Since a 2x3 matrix has 3 columns we can multiply it by a matrix which has 3 rows, so one example of this type of matrices is 3x4.
-
- 1.SORU ÇÖZÜLMEDİ
- 2.SORU ÇÖZÜLMEDİ
- 3.SORU ÇÖZÜLMEDİ
- 4.SORU ÇÖZÜLMEDİ
- 5.SORU ÇÖZÜLMEDİ
- 6.SORU ÇÖZÜLMEDİ
- 7.SORU ÇÖZÜLMEDİ
- 8.SORU ÇÖZÜLMEDİ
- 9.SORU ÇÖZÜLMEDİ
- 10.SORU ÇÖZÜLMEDİ
- 11.SORU ÇÖZÜLMEDİ
- 12.SORU ÇÖZÜLMEDİ
- 13.SORU ÇÖZÜLMEDİ
- 14.SORU ÇÖZÜLMEDİ
- 15.SORU ÇÖZÜLMEDİ
- 16.SORU ÇÖZÜLMEDİ
- 17.SORU ÇÖZÜLMEDİ
- 18.SORU ÇÖZÜLMEDİ
- 19.SORU ÇÖZÜLMEDİ
- 20.SORU ÇÖZÜLMEDİ