Mathematics 2 Final 9. Deneme Sınavı
Toplam 18 Soru1.Soru
Solve the differential equation
|
|
|
|
|
|
|
|
|
|
The integrating factor for the differential equation is
Multiplying the differential equation by
we obtain
Then, by integrating both sides of this equation, we have
where we have used integration by parts on the last term in the above equation. Thus the general solution of the differential equation is
2.Soru
Given the matrix game
which of the following is the sum of the lower and upper values?
|
4 |
|
3 |
|
2 |
|
1 |
|
0 |
maximum {-3,1,-3}=1, minimum {4,5,3}=3 and 1+3=4.
3.Soru
What is the solution of the system of linear equations below?
|
No solution |
|
(-6,2) |
|
(4,-1) |
|
(-1,4) |
|
(2,6) |
To obtain a solution to the linear equations above let us multiply second equation with 3 and add two equalities:
which gives
If we substitute this value into second equation we obtain
Therefore the correct answer is C.
4.Soru
How should and be chosen so that the lines
intersect at the point
|
|
|
|
|
|
|
|
|
|
Because the intersection point of these lines is
the point
must also provide both of the equations. Hence we obtain
Then one gets
6.Soru
Which of the following is the point of intersection of the lines given by x - y = 4 and x - 2y = 10?
|
(1, 1) |
|
(-2, -6) |
|
(-3, 3) |
|
(5, 2) |
|
(-5, 8) |
x - y = 4 -x + y = -4
x - 2y = 10 x - 2y = 10
y = -6, x – 2(-6) =10, x = -2, (-2, -6)
7.Soru
The corner points of the constraint set of the goal function f are (0, 0), (-7, 0), (0, 4) and (-3, -1). Which of the following is the maximum value of the function
|
0 |
|
7 |
|
24 |
|
9 |
|
14 |
To find the maximum value we need to substitute each corner point to the goal function. Observe that for the point (0, 0) we have
for the point (-7, 0) we have
for the point (0, -4) we have
for the point (-3, -1) we have
Hence the maximum point is 24 and the correct option is C.
8.Soru
What is the indefinite integral of
|
|
|
|
|
|
|
|
|
|
the correct answer is B.
9.Soru
If
to find the entries of the product matrix BA?
|
|
|
|
|
|
|
|
|
|
10.Soru
Which of the following points belongs to the set given by
|
(2,6) |
|
(3,2) |
|
(4,1) |
|
(5,0) |
|
(1,4) |
The only point satisfying
The correct answer is A.
11.Soru
Which of the following goal functions yields the value 30 at (2, 3)?
|
f = x + 3y |
|
f = 11x - 40y |
|
f = 8x + 4y |
|
f = 12x + 2y |
|
f = 7x + 9y |
For the point (2, 3),
F = 12x + 2y = 12.2 - 2.3 = 30
12.Soru
If
what is the determinant of the matrix
|
16 |
|
-16 |
|
8 |
|
-8 |
|
-32 |
Since
one has
13.Soru
What is the present value of a continuous income stream at %5 compounded for 20 years if the rate of flow is
|
4125 |
|
4150 |
|
4175 |
|
4200 |
|
4225 |
Using the formula for the present value of money we write
So the correct answer is A.
14.Soru
The corner points of the constraint set of the goal function
Which of the following is the maximum value of the function
|
0 |
|
35 |
|
18 |
|
27 |
|
22 |
Correct answer is B .
15.Soru
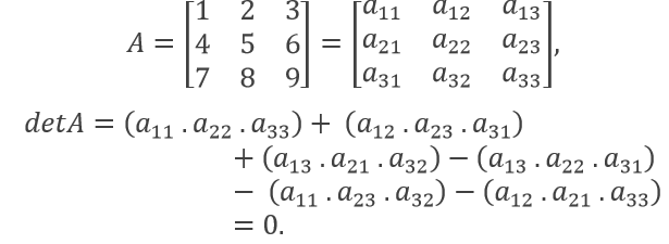
Calculate the determinant of
|
-2 |
|
-1 |
|
0 |
|
1 |
|
2 |
Considering
16.Soru
Which of the following functions is the antiderivative of with F(-1)=4?
|
|
|
|
|
|
|
|
|
|
The antiderivative of
where c is an arbitrary real number. For F (-1) =4 we have F(-1) =3/8+c=4 which gives c=29/8.
17.Soru
The corner points of the constraint set of the goal function f are (1, 1), (1, 4), (2, 6), (4, 9). Which of the following is the maximum value of the function f = 4x - y?
|
5 |
|
6 |
|
7 |
|
8 |
|
9 |
(1,1) , F = 4.1 – 1.1 = 3,
(1,4) , F = 4.1 – 1.4 = 0,
(2,6) , F = 4.2 – 1.6 = 2,
(4,9) , F = 4.4 – 1.9 = 7, max value = 7
18.Soru
Which of the following is the function satisfying
and F(0)=2?
|
x3+x2+x-2 |
|
x3+x2-x+2 |
|
x3-2x2-x+2 |
|
3x3+2x2-x-2 |
|
3x3-2x2+x+2 |
Arranging given function, we have
Since the graph of passes through the point we get
2=F(0)=03+02-0+c ⇒ c=2.
Hence f(x)=x3+x2-x+2
-
- 1.SORU ÇÖZÜLMEDİ
- 2.SORU ÇÖZÜLMEDİ
- 3.SORU ÇÖZÜLMEDİ
- 4.SORU ÇÖZÜLMEDİ
- 5.SORU ÇÖZÜLMEDİ
- 6.SORU ÇÖZÜLMEDİ
- 7.SORU ÇÖZÜLMEDİ
- 8.SORU ÇÖZÜLMEDİ
- 9.SORU ÇÖZÜLMEDİ
- 10.SORU ÇÖZÜLMEDİ
- 11.SORU ÇÖZÜLMEDİ
- 12.SORU ÇÖZÜLMEDİ
- 13.SORU ÇÖZÜLMEDİ
- 14.SORU ÇÖZÜLMEDİ
- 15.SORU ÇÖZÜLMEDİ
- 16.SORU ÇÖZÜLMEDİ
- 17.SORU ÇÖZÜLMEDİ
- 18.SORU ÇÖZÜLMEDİ