DEVRE ANALİZİ - Ünite 7: Alternatif Akım Özeti :

PAYLAŞ:

Ünite 7: Alternatif Akım

Ünite 7: Alternatif Akım

Giriş

Büyüklüğü ve yönü zamana bağlı olarak periyodik değişim gösteren elektriksel akımlara alternatif akım denir. Periyodik değişim, akımın aldığı her bir anlık değerin o andan bir miktar süre geçtikten sonra kendini tekrar etmesidir. Anlık değerlerin kendini tekrar etmesi için geçen süre tüm anlık değerler için sabittir.

Alternatif akım kısaca AA (veya AC) olarak ifade edilir. Devre içinde alternatif akım özelliği gösteren akım bileşenleri AA akımı, gerilim bileşenleri ise AA gerilimi şeklinde ifade edilir. AA akım veya AA gerilim yaygın olarak alternatörler sayesinde üretilir. Alternatörler fiziksel enerjiyi elektriksel enerjiye çevirir. Elde edilen elektriksel enerji sonucu oluşan akım veya gerilim AA özelliği taşır. AA akım, özellikle uzun mesafeler arası güç iletiminde doğru akıma göre daha az güç kaybıyla aktarılabilmektedir. Elektrik iletiminde sinüzoidal akımlar kullanılır. Fakat kare dalga, üçgen dalga gibi periyodik değişim gösteren her türlü akım da AA akım sınıfına girer. Alternatif akım ve gerilim birçok farklı formlara sahip olabilir (S:159, Şekil 7.1).

Temel Kavramlar

Devir

Alternatörler dış kısmında sabit olan ve üzerinde sarımları taşıyan stator, iç kısmında kendi etrafında dönüş yapan ve mıknatıs özelliği gösteren rotor bileşenlerinden oluşur. Rotorların dönüş hareketi, elektromanyetik etkileşim sayesinde stator üzerindeki sarımlarda alternatif akım ve gerilimin üretilmesini sağlar (S:170, Şekil 7.2).

Rotorun bir tur dönüşü sonucu üretilen AA gerilimi veya AA akımına devir denir. Alternatörler tekrar tekrar dönüş yaptıkça oluşan devirler de tekrar eder.

Periyot

Bir devirlik AA akımı veya gerilimi oluşurken geçen süredir ve T harfiyle gösterilir. Alternatif akımın her bir anlık değerinin kendini tekrar etmesi için geçmesi gereken süre sabittir. Bir periyot bu sabit bir süreye karşılık gelir. SI birim sisteminde, periyot birimi saniye (sn) dir.

Değer

Anlık Değer: AA akım veya geriliminin belirli bir anda aldığı değerdir. Anlık değer zamana bağlı değişim gösterir. AA gerilimi için anlık değer t zaman değişkenine bağlı v(t) fonksiyonuyla, AA akımı için anlık değer t zaman değişkenine bağlı i(t) fonksiyonuyla gösterilir.

Ortalama Değer: Tüm anlık değerlerin ortalamasıdır. t=? anı devirin orta noktası olmak üzere ?-(T/2) anından ?+(T/2) anına kadar anlık değerlerin toplamı Vtop’dır.

eid101u_goruntu_7_1

Alternans

Sinüzoidal fonksiyon özelliği gösteren AA akım ve gerilimlerde anlık değerlerin pozitif olduğu yarım periyotluk kısma pozitif alternans, anlık değerlerin negatif olduğu diğer yarım periyotluk kısma negatif alternans denir.

Frekans

Birim zamanda tekrar eden ortalama devir sayısıdır. f ile gösterilir ve birimi Hertz (Hz)’dir. Frekans ile periyot arasındaki bağıntı:

eid101u_goruntu_7_2

Açısal Frekans: Periyot uzunluğu bir çemberin çevre uzunluğu ile gösterildiğinde, çemberin merkezinden bu çember üzerindeki çemberin yarıçapı uzunluğu kadar yayı gören açının miktarı 1 radyan (rad)’dır. 1 rad’lık açının 1 saniyedeki ortalama tekrar sayısına açısal frekans denir. ? ile gösterilir. Birimi radyan/saniye (rad/sn)’dir.

eid101u_goruntu_7_3

Genlik

Alternatif akımın anlık değerleri değişim gösterebilir. Fakat değişim periyodik olduğu için bu değişim belli sınırlar içinde gerçekleşir. Bu sınırların büyüklüğü genlik ile tanımlanır. Tepe genlik, tepeden tepeye genlik ve etkin genlik olmak üzere üç farklı genlik tipi vardır.

Tepe Genlik: Alternatif akımın aldığı en büyük değerdir. Akım için tepe genlik $I_T$, gerilim için $V_T$ veya $I_P$, $V_P$ ile gösterilir.

Tepeden Tepeye Genlik: Alternatif akımın aldığı en büyük değer ile en küçük değer arasındaki farktır. Akım için tepeden tepeye genlik $I{TT}$, gerilim için $V{TT}$ veya $I{PP}$, $V{PP}$ ile gösterilir.

Sıfır ortalama değerine sahip sinüzoidal akım veya gerilimlerde tepeden tepeye genlik tepe genliğin iki katıdır.

Etkin Genlik: AA akım veya gerilimin anlık değerlerinin karelerinin ortalamasının kareköküdür. Etkin genlik akım için $IE$, gerilim için $V_E$ veya $I{RMS}$, $V_{RMS}$ ile gösterilir.

eid101u_goruntu_7_4

Sadece sıfır ortalamalı sinüzoidal AA akım ve gerilimler için etkin genlik:

eid101u_goruntu_7_5

Faz

Frekansı aynı akımların ve gerilimlerin birbiriyle karşılaştırılmasıdır. Bir AA akımın bir periyodu açısal olarak 360º dir. İki alternatif akımın frekansları aynı olsa da başlangıç noktaları birbirinden farklı olabilir. Bu aradaki farkın açısal ifadesi faz ’dır. Bir alternatif akımın kendisiyle olan faz farkı 0º dir. Bir direncin üzerindeki alternatif gerilimle, üzerinden geçen alternatif akım arasındaki faz farkı 0º dir.

İleri Faz: Referans olan alternatif akıma pozitif faz eklenerek ifade edilen akımın, referans olan akımdan belirtilen açı kadar önce olmasına pozitif faz yani ileri faz denir (S:170, Şekil 7.12). ? ile gösterilir.

Geri Faz: Referans olan alternatif akıma negatif faz eklenerek ifade edilen akımın, referans olan akımdan belirtilen açı kadar sonra gelmesi negatif faz yani geri faz olarak tanımlanır (S:171, Şekil 7.14).

Sinüzoidal Fonksiyonlar

Elektrik üretiminde ve dağıtımında kullanılan AA akım ve gerilim, alternatörün dönüş hareketinden dolayı sinüzoidal bir yapı gösterir. Dolayısıyla AA akım ve gerilim ifadesinde kullanılan temel ifadeler sinüzoidal fonksiyonlardır.

Sinüzoidal ifadeler genlik, frekans ve faz açısı olmak üzere üç temel bileşenden oluşur. Frekans ve genlik bileşeniyle sinüzoidal gösterim:

eid101u_goruntu_7_6

Faz, radyan veya derece cinsinden verilebilir. Tam bir tur veya tam bir devir 360º ya da radyan cinsinden 2?’dir. Matematiksel denklemlerde açı radyan cinsindedir. Fakat verilen açının birim çember üzerinde kaç derecelik bir açıya denk geldiğini gösterebilmek için radyan yerine derece kullanılır. Radyan ile derece arasındaki bağıntı:

eid101u_goruntu_7_7

Analiz yapılan devrede tüm frekanslar sabit ise akım ve gerilimler sadece genlik ve faz açısı kullanılarak ifade edilir. Bu ifade kartezyen, kutupsal ve üssel olmak üzere üç farklı şekilde gösterilebilir.

eid101u_goruntu_7_8

Kartezyen gösterim gerçek bileşen ile sanal bileşenin toplamıdır ve sanal bileşen j ile gösterilir.

Kutupsal gösterim, mutlak değer ve faz açısı bileşenlerinden oluşur.

Bir sinüzoidal fonksiyon sinüsle ifade edilebildiği gibi kosinüs fonksiyonu ile de ifade edilebilir. Kosinüs fonksiyonu sinüs fonksiyonunun 900 ileri faza sahip halidir.

eid101u_goruntu_7_9 eid101u_goruntu_7_10

Empedans – Admitans

Empedans

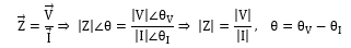
AA devrelerinde devre veya devre elemanının direncini veya bir başka deyişle üzerindeki gerilimin üzerinden geçen akıma oranını frekans ve faza bağlı olarak açıklayan kavramdır. Bu tür devrelerde direnç dışında kondansatör ve bobin de kullanıldığı için gerilim ile akım arasında bir faz farkı oluşabilmektedir. Empedans sayesinde gerilim ile açı arasındaki mutlak oran ölçülebildiği gibi faz farkı da ölçülebilmektedir.

Empedans Z ile gösterilir. Birimi Ohm’dur. Kompleks (karmaşık) sayılarla ifade edilir. Kartezyen, kutupsal ve üssel olmak üzere üç farklı gösterimi vardır.

eid101u_goruntu_7_11

Kartezyen gösterimde, R gerçek direnci, X sanal kısmı yani reaktansı oluşturur. Kutupsal gösterimde ?, faz açısıdır. Empedanstaki faz açısında akım referans olarak alınır; gerilimin akıma bağlı olarak ileri veya geri faza sahip olup olmadığı açıklanır. Akım ve gerilimin empedansla olan ilişkisi:

eid101u_goruntu_7_12

|Z| empedansın mutlak değeridir. Kartezyen gösterim ile kutupsal gösterim arasındaki bağıntılar:

eid101u_goruntu_7_13

Üssel gösterimdeki ?, kutupsal gösterimdeki ? ile aynı açıdır. $e^{j?}$ ifadesinin trigonometrik karşılığı:

eid101u_goruntu_7_14

Kompleks sayılarda, toplama ve çıkarma işlemlerinde kartezyen gösterimi kullanılır. Çarpma ve bölme işlemlerinde ise hem kartezyen hem kutupsal gösterim kullanılabilir fakat kutupsal gösterim daha kolay çözüm imkânları sunar.

Direnç, Kondansatör ve Bobin Empedansları: Eğer devre sadece dirençten oluşuyorsa empedansta sadece direnç bileşeni söz konusudur. Reaktans 0’a eşittir. Devrenin empedansı bu durumda frekanslardan etkilenmez. Empedansın faz açısı 0º dir. Direncin empedansı:

eid101u_goruntu_7_15

Devre sadece kondansatörden oluşuyorsa devrenin direnç bileşeni yoktur. Sadece reaktanstan bahsedilir. Elde edilen reaktans kapasitif reaktans olarak adlandırılır. Reaktansın büyüklüğü frekanstaki değişimlere bağlıdır. Empedansın faz açısı -90º dir. Kondansatörün empedansı:

eid101u_goruntu_7_16

Devre sadece bobinden oluşuyorsa devrenin direnç bileşeni yoktur. Sadece reaktans söz konusudur. Reaktans endüktif reaktans olarak adlandırılır. Reaktansın büyüklüğü frekanstaki değişimlere bağlıdır. Empedansın faz açısı 90º dir. Bobinin empedansı:

eid101u_goruntu_7_17

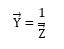
Admitans

AA devrelerinde devre veya devre parçacığının üzerinden geçen akımın üzerindeki gerilime oranını, frekans ve faza bağlı olarak açıklayan kavramdır. Admitans kısaca Y harfi ile gösterilir. Birimi (1/?)’a eşit olan mho (?) veya Siemens (S)’tir. Kompleks sayılarla ifade edilir. Kartezyen, kutupsal ve üssel olmak üzere üç farklı gösterimi vardır.

eid101u_goruntu_7_18

Kartezyen gösterimdeki G gerçek iletkenliği, B ise sanal iletkenliği ifade eder. Admitansın kutupsal ve kartezyen gösterimleri arasındaki bağıntı:

eid101u_goruntu_7_19

Kutupsal gösterimde ?, faz açısıdır. Admitanstaki faz açısında gerilim referans olarak alınır; akımın gerilime bağlı olarak ileri veya geri faza sahip olup olmadığı açıklanır. Akım ve gerilimin admitansla olan ilişkisi:

eid101u_goruntu_7_20

Empedans ile admitans arasında bağıntı:

eid101u_goruntu_7_21

Gerçek iletkenlik G ve sanal iletkenlik B ile gerçek direnç R ve reaktans X arasındaki bağıntılar:

eid101u_goruntu_7_22

Fazör Diyagramlar

Bir devrenin üzerindeki akımın, gerilimin ve devrenin empedansının kutupsal formlarının aynı grafik üzerinde gösterilmesini sağlayan vektörel gösterimlerdir. Fazör diyagramlar yardımıyla birden fazla akım ve gerilimin birbiriyle olan açısal ve genlik farkları tek bir gösterimle verilir. Bu sayede akım ve gerilimlerden hangisinin önde gittiği, hangisinin diğerini takip ettiği görülür. Aynı fazör diyagramında gösterilen akım ve gerilimlerin frekanslarının da aynı olduğu kabul edilmektedir.

Seri ve Paralel Bağlı Devrelerde Eşdeğer Empedans ve Eşdeğer Admitansın Hesaplanması

Seri Bağlı Devreler: Eğer birden fazla empedans birbirine seri bağlanıyorsa (S:180, Şekil 7.20), bu empedansların her birinin üzerindeki gerilimlerin toplamı, devre gerilimine eşittir. Empedansların üzerinden geçen akım aynıdır. Toplam gerilim akıma bölündüğünde eşdeğer empedans bulunur. Eşdeğer empedans, empedansların toplamına eşittir.

eid101u_goruntu_7_23

Eşdeğer empedansın direnç ve reaktans cinsinden kartezyen formda yazılışı:

eid101u_goruntu_7_24

Eşdeğer empedansın kutupsal gösterimi:

eid101u_goruntu_7_25

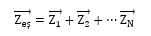
Paralel Bağlı Devreler: Eğer birden fazla admitans birbirine paralel bağlanıyorsa (S:182, Şekil 7.21), bu admitansların her birinin üzerinden geçen akımların toplamı, devreden geçen toplam akıma eşittir. Admitansların üzerindeki gerilim birbirine eşittir. Eşdeğer admitans, admitansların toplamına eşittir.

eid101u_goruntu_7_26

Paralel bağlı admitansların eşdeğerinin gerçek iletkenlik ve sanal iletkenlik cinsinden kartezyen formda yazılışı:

eid101u_goruntu_7_27

Eşdeğer admitansın kutupsal gösterimi:

eid101u_goruntu_7_28