DEVRE ANALİZİ - Ünite 1: Temel Kavramlar Özeti :

PAYLAŞ:

Ünite 1: Temel Kavramlar

Ünite 1: Temel Kavramlar

Giriş

İletken, yalıtkan ve yarı iletken kavramları atomun son yörüngesindeki elektron sayısına bağlı olarak açıklanır. Bir iletkenin direncini etkileyen fiziksel büyüklükler iletkenin direncini değiştirir. Direnç değeri dirençlerin üzerinde yer alan renk bantları ile okunur ve ayrıca tolerans bandı ile direncin maksimum ve minimum değerleri hesaplanır.

Devre analizinin temelini oluşturan kanun Ohm kanunudur.

Birim Sistemleri

Elektrik akımının kullanılması ve devre analizi ile ilgili yıllar önce oluşturulan kurallar dünyanın her yerinde aynı şekilde kullanılmaktadır. Devre analizinde karşılaşılan birimlerin ölçek ve sembolleri ile devre analizi terminolojisinde kullanılan temel kavramların birim ve kısaltmaları SI birim sistemine göre standart olarak belirlenmiştir (S:3, Tablo 1.1).

Temel Kavramlar

Atomun çekirdeğini pozitif yüklü protonlar ve yüksüz nötronlar oluşturur. Çekirdeğin çevresindeki yörüngelerde elektronlar bulunmaktadır (S:4, Şekil 1.1). En son yörüngedeki elektronların sayısı malzemenin özelliğini belirler.

  • Son yörüngelerinde 4’ten az elektron bulunan atomlara elektronlarını verme eğilimlerinden dolayı iletken denir.

  • Son yörüngesindeki elektron sayısı 4’ten fazla olan atomlar dışarıdan elektron alma eğilimindedirler ve yalıtkan olarak adlandırılırlar.

  • Son yörüngesinde 4 elektron bulunan atomlar ise dış yörüngelerindeki elektron sayısı 3 veya 5 olan atomlarla kovalent bağlar oluşturarak son yörüngelerini kararlı hale getirmek isterler. Bu malzemelere iletkenlikleri iletkenler ve yalıtkanlar arasında yer alan yarı iletkenler denir.

Elektrik Akımı

Metal iletkenlerde akımın akışı serbest elektronların hareketi sonucu oluşur. Bir elektrik devresi yüklerin yer değiştirdiği kapalı bir yoldur. Yüklerin hareketi sonucu elektrik akımı oluşur. Elektrik akımı birim zamanda yer değiştiren yük miktarına göre belirlenir. I akım şiddeti:

eid101u_goruntu_1_1

(q: elektrik yükü (Coulomb), t: zaman (saniye)

Akım birimi Amper ’dir (1 A= 1coulomb/saniye). Bir elektrik devresinde akım yönü pozitif yüklerin hareket yönü olan (+) dan (–) ye doğru kabul edilir (S:5, Şekil 1.2).

Akım, DA (doğru akım) ve AA (alternatif akım) olmak üzere ikiye ayrılır. Doğru akım, zamanla yönü ve büyüklüğü değişmeyen akımdır. Alternatif akım ise zamanla yönü ve büyüklüğü değişen akımdır (S:5, Şekil 1.3).

Gerilim

Kapalı bir elektrik devresinde elektronlar elektriksel kuvvetin etkisiyle enerjisi fazla olan noktadan enerjisi düşük olan noktaya hareket ederler. Bu iki uç arasındaki enerji farkı potansiyel farkı belirtir. Elektron akışı iki uç arasındaki enerji eşit oluncaya kadar devam eder, fark sıfır olunca elektron akışı durur.

Gerilim (elektromotor kuvvet, potansiyel fark), bir üretecin iki ucu arasındaki potansiyel farktır. Gerilim, voltmetreyle ölçülür. U, E, V ya da e ile gösterilir. Gerilim (V) birim yük başına yapılan iştir.

eid101u_goruntu_1_2

W: iş (joule), q: elektrik yükü (Coulomb)

Gerilim birimi Volt ’tur (1 V=1 joule/coulomb).

Güç

Birim zamanda yapılan işe güç denir. P ile gösterilir ve birimi Watt (W)’dır. Güç, akım ve gerilim ile doğru orantılıdır.

eid101u_goruntu_1_3

Devre Elemanları

Bir elektrik devresinde aktif devre elemanları, iletken tel ve pasif devre elemanları bulunur. Aktif devre elemanları devreye enerji sağlayan elemanlar yani kaynaklardır. Pasif devre elemanları ise kendileri enerji üretmeyen var olan enerjiyi kullanarak enerji depolayan veya tüketen elemanlardır. Direnç, bobin ve kondansatör pasif devre elemanıdır.

Kaynak (Üreteç)

Kimyasal enerjiyi elektrik enerjisine çeviren devre elemanlarıdır. Doğru akım kaynağı (pil, akümülatör, dinamo) ve alternatif akım kaynağı (alternatör) olarak ikiye ayrılırlar.

Bir elektrik devresinde sağladığı enerji türüne göre iki çeşit kaynak kullanılabilir.

\1. Akım kaynağı

\2. Gerilim kaynağı

Kaynaklar bağımlı ve bağımsız kaynaklar olarak da sınıflandırılır. Bağımsız kaynaklar, değerleri kesin olarak belirli olan kaynaklardır. Bağımlı kaynaklar ise devrenin herhangi bir elemanı üzerinden geçen akıma veya eleman üzerinde ölçülen gerilime göre değişen kaynak çeşididir (S:6, Şekil 1.4).

Direnç

Elektronların kaynakta üretilen enerji dolayısı ile hareket etmesi sırasında iletkenin buna karşı uyguladığı zorluğa direnç denir. Bir iletkenin direnci; iletkenin uzunluğu, kesiti ve iletkenin yapıldığı malzemenin özdirencine bağlıdır.

eid101u_goruntu_1_4

Formülde;

R:direnç (ohm-?), S: kesit (mm2), l:uzunluk (m), ?:iletkenin özdirenci (ohm.mm2/m)

Direncin tersine iletkenlik denir. Elektronların hareketi sırasında iletkenin gösterdiği kolaylık olarak da tanımlanabilir. Birimi Siemens (S)’dir.

İletkenlik G ile gösterilir ve olarak yazılır.

Özdirencin (?) tersi ve birimi Siemens. metre /mm2 olan öziletkenlik (o):

eid101u_goruntu_1_5

İletkenlik:

eid101u_goruntu_1_6

Direnç Renk Kodları: Dirençlerin değerleri ve toleransları üzerindeki renklerle belirlenir (S:8, Tablo 1.2). Çizgiler direncin hangi ucuna yakın ise o uçtan başlanarak renk bantları okunur. Dirençler 3, 4 veya 5 renk bantlı olabilir. 3 renk bantlı dirençte tolerans sabit ve % 20’ dir. 4 veya 5 bantlı dirençlerde son bant toleransı belirtir.

Direncin büyüklüğü;

3 renk bantlı ise (S:8, Şekil 1.6)

eid101u_goruntu_1_7

4 renk bantlı ise (S:9, Şekil 1.7)

eid101u_goruntu_1_8

5 renk bantlı ise (S:9, Şekil 1.8)

eid101u_goruntu_1_9

Direnç ve Sıcaklık: Direnç değeri hesaplanırken sıcaklık değeri de önemlidir. Bazı dirençlerde sıcaklık arttıkça direnç artarken bazılarında ise direnç değeri azalır.

R0, t0 anındaki direnç ve ? sıcaklıkla direnç değişim katsayısı olmak üzere t1 anındaki direnç R1:

eid101u_goruntu_1_10

Ohm Kanunu

Bir iletkenin iki ucu arasındaki potansiyel farkın, iletkenden geçen akım şiddetine oranı sabittir. Bir iletkenin direnci, üzerinden geçen akımla ters, üzerindeki gerilimle doğru orantılıdır. Direnç, akım ve gerilim arasındaki bu ilişkiyi belirleyen kanuna OHM Kanunu denir.

eid101u_goruntu_1_11

R:direnç (ohm), V:gerilim (Volt), I:akım (Amper)

Dirençlerin Devre İçindeki Bağlantıları

Dirençler elektrik devrelerinde seri veya paralel olarak yer alırlar.

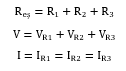
Seri Bağlı Dirençler

Tek uçları birbirine bağlı olan dirençlerdir. Eşdeğer direnç, tüm dirençlerin toplanması ile elde edilir. Seri bağlı dirençlerden geçen akımlar aynıdır. Dirençlerin üzerindeki gerilimlerin toplamı kaynak gerilimine eşittir (S:11, Şekil 1.9).

eid101u_goruntu_1_12

Eğer devrede n tane direnç seri bağlı ve tüm direnç (R) değerleri eşit ise:

eid101u_goruntu_1_13

Paralel Bağlı Dirençler

İki uçları birbirine bağlı olan dirençlerdir. Eşdeğer direnç tüm dirençlerin terslerinin toplanması ile bulunur. Üzerlerinden geçen akımlar eşit değildir ve direnç değeri ile ters orantılı olarak elemanlar üzerinden geçen akım belirlenir. Dirençler üzerindeki gerilimler birbirine ve aynı zamanda kaynak gerilimine eşittir (S:12, Şekil 1.11).

eid101u_goruntu_1_14

Eğer devrede n tane direnç paralel bağlı ve tüm direnç (R) değerleri eşit ise:

eid101u_goruntu_1_15

Eğer sadece iki direnç ($R_1$ ve $R_2$) paralel bağlı ise eşdeğer direnç:

eid101u_goruntu_1_16

Karışık Bağlı Dirençler

Dirençler devrede seri ve paralel bağlı olarak yer alabileceği gibi karışık bağlı da olabilirler. Karışık devrelerde üçgen – yıldız (?–?) ve yıldız – üçgen (?–?) dönüşümlerini de yapmak gerekebilir (S:14, Şekil 1.12). Böylece eşdeğer direnç hesabı kolaylaşır.

Üçgen – yıldız (?–?) dönüşümleri:

eid101u_goruntu_1_17

Yıldız – üçgen (?–?) dönüşümleri:

eid101u_goruntu_1_18

Eğer direnç değerleri eşit ise:

eid101u_goruntu_1_19