MATHEMATICS I (MATEMATİK I) - (İNGİLİZCE) - Chapter: 1 Sets and Numbers Özeti :

PAYLAŞ:

Chapter: 1 Sets and Numbers

Sets

A set is a well-defined collection of elements.

Sets are usually denoted by the letters A,B, C,..., and the elements of the sets are represented by the small letters a ,b, c . If the element belongs to the set A , we denote this fact by use of the notationMAT109U_u01_0831, if the element does not belong to then we writeMAT109U_u01_0831.

A set can be defined by listing all elements or by giving a rule that determines all the elements of the set. For example,

MAT109U_u01_1031

The set Ais a subset of the set B , writtenMAT109U_u01_1131, if every element ofA is also an element ofB. Two sets and are equal, writtenMAT109U_u01_1231, if both inclusions MAT109U_u01_1131andMAT109U_u01_1331 are satisfied simultaneously.

The set containing no element is called the empty set and is denoted by MAT109U_u01_1431 . The set MAT109U_u01_1431is a subset of any set.

Example: MAT109U_u01_1531,MAT109U_u01_1631,MAT109U_u01_1731 Then MAT109U_u01_1231andMAT109U_u01_1831

It is important to represent a set by writing its elements inside a closed planar curve. Such a representation is called a Venn diagram.

MAT109U_u01_Goruntu_0131

Venn diagrams of set A={2,3,6,8}.

MAT109U_u01_Goruntu_0231

Venn diagrams of setB={2,5,8,9,10}.

If in some problems, all the sets under examination are subset of a wider set then this wider set is called a universal set and usually is denoted by U . For example, if in some problem all sets are subsets of the set of natural numbers not greater than then the universal set becomes

MAT109U_u01_2531

-The setMAT109U_u01_2631 is called the union ofA andB,

-The setMAT109U_u01_2731is called the intersection ofA and B ,

-The setMAT109U_u01_2831 is called the difference of Aand B .

The set is called the complement of A , where Uis the universal set.

MAT109U_u01_Goruntu_0231

The Venn diagram for MAT109U_u01_3131.

MAT109U_u01_Goruntu_0231

The Venn diagram forMAT109U_u01_3331.

MAT109U_u01_Goruntu_0231

The Venn diagram forMAT109U_u01_3531.

Example: MAT109U_u01_3631,MAT109U_u01_3731,MAT109U_u01_3831. Then

MAT109U_u01_3931

A setA is called finite if it contains finite number of elements. Otherwise, it is called an infinite set. For a finite setA, the number of elements in this set is denoted by s(A) . For given finite sets Aand B , the equality

MAT109U_u01_4131

is true. If A hasn-elements then the total number of all subsets isMAT109U_u01_4331.

Properties of Set Operations

Set operations have many obvious properties. We list some of them below.

i.MAT109U_u01_4431

ii. MAT109U_u01_4531

iii.MAT109U_u01_4631

iv.MAT109U_u01_4731

v.MAT109U_u01_4831

vi.MAT109U_u01_4931

Numbers

The most familiar number set is the set MAT109U_u01_5031of the natural numbers:

MAT109U_u01_5131

The set of all integers is denoted by

MAT109U_u01_5231

A quotient of two integers with nonzero denominator is called a rational number. The set of all rational numbers is denoted byMAT109U_u01_5331.

Rational numbers with denominators 10 , 100 , 1000, ...are called decimal fractions. For example,

MAT109U_u01_5731

are very simple examples of decimals numbers.

Every rational number has finite or repeated infinite decimal representation. The real line is a line with a fixed scale, origin and direction.

Every rational number has a unique representation on the real line. On the other hand, there are infinitely many points on the real line which cannot be represented by rational numbers. The numbers, corresponding to such points are called irrational numbers. For example,MAT109U_u01_5831,MAT109U_u01_5931,MAT109U_u01_6031 are irrational numbers.

MAT109U_u01_Goruntu_0631

The union of the sets of rational and irrational numbers is called real numbers and is denoted byMAT109U_u01_6231.

Inequalities

LetMAT109U_u01_6331 and MAT109U_u01_6431be real numbers and these numbers correspond the points and on the real line. If the pointA lies to the left of the pointB then it is written asMAT109U_u01_6531 or MAT109U_u01_6631 a ( a is less thanb orb is greater thana). If ais not greater than then it is written as MAT109U_u01_6731orMAT109U_u01_6831. These relations are called inequalities and below we give the most important properties of inequalities:

-IfMAT109U_u01_6731 thenMAT109U_u01_6931

-IfMAT109U_u01_6531 and MAT109U_u01_7031thenMAT109U_u01_7131, if andMAT109U_u01_7231 then MAT109U_u01_7331 .

In order to list fractions in some order (increasing or decreasing) the fractions should be reduced to a common denominator or numerator.

1) Given MAT109U_u01_7431 , MAT109U_u01_7531 ,MAT109U_u01_7631,MAT109U_u01_7731, the number MAT109U_u01_7831is a common denominator.

MAT109U_u01_7931

therefore

MAT109U_u01_8031

2) GivenMAT109U_u01_7731, MAT109U_u01_8131 , MAT109U_u01_8231 , MAT109U_u01_8331, the numberMAT109U_u01_8431 is a common numerator

MAT109U_u01_8531

Therefore

MAT109U_u01_8631

Powers and Roots

GivenMAT109U_u01_6331 andMAT109U_u01_8731, ato the power ofn is defined asMAT109U_u01_8831.

If MAT109U_u01_8931thenMAT109U_u01_9031, MAT109U_u01_9131 .

For a givenMAT109U_u01_9231, a numberMAT109U_u01_9331 satisfying the equalityMAT109U_u01_9431 is called then-th root of the number and is denoted byMAT109U_u01_9531 or MAT109U_u01_9631 . If MAT109U_u01_9731the symbol MAT109U_u01_9831is used instead ofMAT109U_u01_9931. Ifn is odd and MAT109U_u01_99_131then by definition MAT109U_u01_10031 .

MAT109U_u01_10131

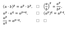
The powers and roots have the following properties. Let pandq be fractions with positive denominators. Then

MAT109U_u01_10131

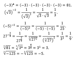
Examples:

MAT109U_u01_10231

Intervals of Real Numbers

Intervals are subsets of R and are defined as follows:

MAT109U_u01_10431

For example MAT109U_u01_10531

MAT109U_u01_10631

The set of all real numbers R is the intervalMAT109U_u01_10731.

The absolute value of a real numbera, written|a|, is defined by

MAT109U_u01_10831

and has the following properties:

MAT109U_u01_10931

For example MAT109U_u01_11031

Example: Represent the intervals(4,6),[-2,2] by using the absolute value.

Solution. The middle point ofMAT109U_u01_11231

MAT109U_u01_11331

The middle point of[-2,2] is 0 , the length is 4, therefore

MAT109U_u01_11431