PARA VE BANKA - Ünite 2: Mali Varlık Fiyatlarının Belirlenmesi Özeti :

PAYLAŞ:

Ünite 2: Mali Varlık Fiyatlarının Belirlenmesi

Ünite 2: Mali Varlık Fiyatlarının Belirlenmesi

Faiz Haddinin Belirlenmesi

Bu ünitede; vadeye kadar verim, reel faiz, nominal faiz, bugünkü değer, getiri oranı gibi kavramlar tanımlanmaktadır. Faiz haddinin nasıl belirleneceği, risk ve faiz arasındaki ilişki ve döviz kurunun nasıl belirleneceği, nominal ve reel döviz kurlarının arasındaki farklar açıklanmakta ve bekleyişlerin döviz kurunun bugün alacağı değer üzerindeki etkisi anlatılmaktadır.

Bugünkü Değer:Faiz haddi sıfıra eşit olmadığı sürece, bir mali varlıktan bugün elde edilecek yüz lira ile bir yıl sonra elde edilecek yüz lira aynı değil. Keza bir yıl sonraki yüz lira ile iki yıl sonraki yüz lira da birbirlerine eşit değiller. Farklı zamanlarda yapılan ödemelerin bugünkü değerlerini bulmak ve dolayısıyla onları karşılaştırabilmek için bir indirme işlemi yapıyoruz. Bu işlemde kullanılan faiz haddineindirim faktörüdeniliyor. Bu indirim faktörü (faiz haddi) ne kadar yüksekse ileri dönemlerde elde edilecek değerlerin bugünkü değerleri de o kadar düşük oluyor.

Vadeye Kadar Verim:Mali varlığın satın alma fiyatını, mali varlığın vadesi boyunca sahibine yapacağı ödemelerinbugünkü değerine eşitliyor.

Tahvilin vadeye kadar verimi ile fiyatı arasında ters yönlü bir ilişki vardır.Fiyatı ne kadar yüksekse (düşükse) verimi o kadar düşük (yüksek) olur.

Getiri Oranı:Bir mali varlık vadesi bitmeden satılırsa, satış fiyatı tahvilin üzerinde yazılı değerden farklı olduğu sürece vadeye kadar verim ile getiri oranı farklı değer alır.Pafiyatına satın aldığınız bir tahvili vadesindenöncePsfiyatına satarsanız, bu tahvilden elde edeceğiniz getiri oranı 31 olacaktır.

Reel Faiz Haddi:Reel faiz, yaklaşık olarak nominal faiz ile enflasyon arasındaki fark olarak tanımlanabilir. Beklenen reel faiz haddini, nominal faiz haddi ile vade boyunca gerçekleşmesi beklenen enflasyon oranı arasındaki fark olarak hesaplıyoruz. Gerçekleşen reel faiz haddini ise nominal faiz haddi ile gerçekleşen enflasyon arasındaki fark olarak tanımlıyoruz (s:35; (6),(7)).

Faiz Haddinin Belirlenmesi

Faiz haddi, arz ve talebin dengeye gelmesi sonucunda belirlenebilir.

Tahvil Talebi:Tahvilin talebi ile fiyatı arasında ki ilişki ters yönlüdür. Tahvil fiyatı arttıkça (faizi düştükçe) talebi de düşecektir.Tahvilin fiyatı düşmese bile talebi yükselebilir. Aynı fiyat düzeyinde;

  • Ekonomik birimlerin servetlerinin artması,

  • Beklenen enflasyonun düşmesi,

  • Bir tahvilin likiditesinin diğer tahvillere kıyasla yükselmesi,

  • Tahvilden alınan verginin düşmesi,

Tahvil talebini arttırır ve tahvil talep eğrisi sağa kayar. Bu unsurlar tam ters yönde değişirlerse aynı fiyat düzeyinde eskisine kıyasla daha az tahvil talep edilecek ve tahvil talep eğrisi sola kayacaktır (s:36, şekil 2.1).

Tahvil Arzı:Tahvil arzı ile fiyatı arasındaki ilişki aynı yönlüdür. Tahvil fiyatı yükseldikçe (faiz düştükçe) arzı artacaktır. Aynı fiyat düzeyinde;

  • Kamu borçlanma ihtiyacının (devletin bütçe açığının) artması,

  • Yatırım ortamının iyileşmesi

  • Beklenen enflasyonun yükselmesi

  • Ekonominin hızla büyümesi

Tahvil arzını arttırır ve tahvil arz eğrisi sağa kayar. Tahvil arzını azaltan gelişmeler sonucunda ise tahvil arz eğrisi sola kayar (s:37, şekil 2.2).

Denge:Denge tahvil fiyatı (denge faiz haddi) tahvil arz ve talebinin eşitlendiği noktada belirleniyor. Tahvil arzını artıran her unsur, tahvil talebini etkilemiyorsa denge fiyat düzeyini düşürür (denge faiz haddini artırır). Tahvil talebini artıran her unsur da tahvil arzını etkilemiyorsa denge fiyat düzeyini artırır (denge faiz haddini düşürür)(s:38, şekil 2.3).

Risk ve Faiz:Diğer özellikleri aynı, riskleri farklı tahvillerin faizleri farklılaşır. Tahvili satanın tahvilden doğan yükümlülüklerini yerine getirmemesi olasılığı ne kadar yüksekse o tahvilin riski (kredi riski ya da iflas riski) de o kadar yüksektir. Riski artan bir tahvilin talebi düşer. Bu durumda bu tahvilin faizi de yükselir.

Kısa Vadeli Faiz Hadleri İle Uzun Vadeli Faiz Hadleri Arasındaki İlişki

Kısa vadeli faizler ile uzun vadeli tahviller arsındaki ilişkiyi verim (getiri) eğrileri göstermektedir.

Verim (getiri) eğrisi, diğer özellikleri (risk, likidite, vergi) aynı ama vadeleri farklı tahvillerin belli bir zaman içindeki veriminin vadeye göre nasıl değiştiğini gösterir. Yatay eksende vade, dikey eksende verimin yer aldığı bir düzlemde çizilir (s:40, Şekil 2.4)

Yukarı doğru eğimli verim eğrisi; uzun vadeli faizlerin kısa vadeli faizlerden yüksek olduğunu, aşağı doğru eğimli verim eğrisi; kısa vadeli faizlerin uzun vadeli faizlerden yüksek olduğunu gösterir. Yatay verim eğrisi ise her vadedeki verimin aynı olduğunu gösterir. Verim eğrilerinin aldığı biçimi açıklamaya çalışan kuramlar vardır. Bunlardan biri bekleyişler kuramı diğeri vade primi kuramıdır.

Bekleyişler Kuramı: Bekleyişler kuramına göre, uzun vadeli bir tahvilin yıllık verimi, yaklaşık olarak mevcut dönemdeki kısa vadeli (mesela yıllık) faiz haddi ile o tahvilin vadesi boyunca gerçekleşmesi beklenen kısa vadeli (yıllık) faizlerin aritmetik ortalamasına eşittir.

Kısa vadeli faizlerin artacağı bekleniyorsa; yukarı doğru eğimli verim eğrisi, kısa vadeli faizlerin düşeceği bekleniyorsa; aşağı doğru eğimli verim eğrisi ortaya çıkar. Kısa vadeli faizlerin değişmeyeceği bekleniyorsa yatay verim eğrisi ortaya çıkar.

Vade Primi Kuramı:Uzun vadeli tahvilin yıllık verimi yaklaşık olarak mevcut dönemdeki kısa vadeli faiz haddi ile o tahvilin vadesi boyunca gerçekleşmesi beklenen kısa vadeli faizlerin aritmetik ortalamasının bir vade primiyle toplamına eşittir(s:42; (13)).

Vade primi; uzun vadeli tahvilin satın alınması için tasarruf sahibine ödenecek ek faizdir. Kısa dönemli faizlerin belirgin biçimde düşmesi bekleniyorsa ılımlı bir negatif eğim, kısa dönemli faizlerin hızlı biçimde düşmesi bekleniyorsa; keskin bir negatif eğim, kısa vadeli faizlerde değişme beklenmiyorsa yukarı doğru eğimli verim eğrisi görülecektir. Kısa dönemli faizlerin artacağı ancak aradaki farkın çok fazla olmayacağı bekleniyorsa; yatay verim eğrisi görülür.

Döviz Kurunun Belirlenmesi

Döviz kuru ihracat ve ithalat ile uluslararası sermaye hareketlerinin önemli belirleyicilerinden biridir. Ayrıca tüketim ve yatırım kararlarını etkilemektedir.

Nominal Döviz Kuru: Bir birim yabancı paranın yerli para cinsinden değeridir. Sabit döviz kuru rejiminde nominal döviz kurunun artmasına devalüasyon, nominal döviz kurunun azalmasına revalüasyon denir. Dalgalı kur rejiminde ise nominal döviz kurunun artması yerli paranın değer kaybettiğini gösterir ve ihracat artar, ithalat azalır. Nominal döviz kurunun azalması; yerli paranın değer kazandığını gösterir ve ihracat azalır, ithalat artar.

Reel Döviz Kuru:Aynı para birimi cinsinden ifade edildiğinde iki ülke mallarının göreli fiyatlarını gösterir. Nominal döviz kurunu yurt dışı fiyatlar genel düzeyi ile çarpıp yurt içi fiyatlar genel düzeyine bölersek reel döviz kurunu elde ederiz (s:43; (14)). Reel döviz kurunun artması yerli paranın reel olarak değer kaybettiğini; reel döviz kurunun azalması yerli paranın reel olarak değer kazandığını gösterir.

Efektif (Çok Taraflı) Reel Döviz Kuru:Birden fazla döviz kuru kullanılarak hesaplanan döviz kurudur.

Satın Alma Gücü Paritesi

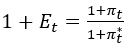
Tek fiyat yasasına göre, taşıma maliyetleri ile dış ticareti engelleyici kota ve gümrük vergisi gibi unsurlar dikkate alınmazsa iki ayrı ülkede aynı kalitedeki iki malın fiyatı aynı para birimi cinsinden ifade edildiğinde birbirlerine eşit olmak durumundadır. Bu eşitlik nominal döviz kurunca sağlanıyor. Satın alma gücü paritesi ise tek tek mallardan değil, iki ülkedeki aynı mal sepetinden yola çıkar.

Satın alma gücü paritesinin ‘mutlak' biçimine göre, iki ülkenin para birimi arasındaki nominal döviz kuru, iki ülkedeki mal sepetlerinin fiyatlarını birbirlerine eşitler.

31

Daha yaygın kullanılanı ise ‘göreli’ satın alma gücü paritesidir. Buna göre, nominal döviz kurundaki artışın, yurtiçi enflasyon ile yurtdışı enflasyon arasındaki fark kadar (31olması gerekir.

31

Satın alma paritesi kısa dönemde geçerli değildir. Uzun dönemde ise geçerli olduğunu gösteren sonuçlar da vardır, tutmadığını gösteren sonuçlar da. Satın alma gücü paritesinin uzun dönemde bile tutmamasının nedenlerini şöyle sıralayabiliriz.

  • Fiyat endekslerinin aynı mallardan oluşmaması,

  • Endekste yer alan mal ve hizmetlerin bir kısmın dış ticarete konu olan mal ve hizmetlerden olmaması,

  • Varsayılanın aksine dış ticaretin serbestçe yapılmaması

  • Ulaştırma maliyetlerinin varlığı

Kapsanmamış Faiz Haddi Paritesi:

Sermaye hareketlerinin serbestleşmesi ile uluslararası sermaye hareketlerinin birkaç günlük toplamı, tüm dünya ülkeleri arasında yapılan mal ticaretinin bir yıllık toplamı kadar oldu. Bu olgu ile birlikte döviz kuru bir mali varlığın fiyatı olarak algılanmaya başlandı. Böylelikle, döviz kurunun nasıl belirlendiğini inceleyen modeller de mali varlık yaklaşımı çerçevesinde geliştirildiler.

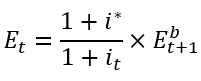
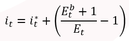
Kapsanmamış faiz haddi paritesine göre yurtiçi faiz haddi (yaklaşık olarak) yurtdışı faiz haddi ile nominal döviz kurundaki değişim beklentisinin toplamına eşittir.

31

Kapsanmamış faiz haddi paritesini, döviz kurunu nasıl belirlendiğini açıklayan bir kuram haline dönüştürmek mümkün. Buna göre, döviz kuru yurtdışı faiz haddi ve döviz kurunun ileride alacağı değere ilişkin bekleyişler arttıkça yükseliyor, yurtiçi faiz haddi arttıkça azalıyor.

31

Denklemin sağ tarafında yer alan diğer değişkenler aynı kalmak üzere, yurtiçi faiz haddi ne kadar yüksekse nominal döviz kuru da o kadar düşük değer alıyor. Dolayısıyla, lira dolar karşısında o kadar değerli oluyor. Tersine, yine diğer değişkenler aynı kalmak üzere, daha yüksek bir yurtdışı faiz haddi dolar karşısında lirayı daha değersiz kılıyor; nominal döviz kuru daha yüksek oluyor. Yine diğer değişkenler aynı kalmak üzere, ileride nominal döviz kurunun daha yüksek olacağı bekleyişi, nominal döviz kurunu bugün daha yüksek kılıyor.

Yurtiçi faiz haddinin yükselmesi, diğer değişkenler aynı kaldığı sürece döviz kurunu düşürür. Oysa yurtiçi faiz haddi o ülkeye ilişkin risk algılaması arttığı için de yükselebilir. Bu durumda döviz kurunun ileride yükseleceği beklentisi hakim olabilir. Sonuçta, kur bekleyişleri yurtiçi faiz haddindeki yükselmeden daha fazla artarak döviz kurunu yükseltebilir. Kısacası, her zaman yüksek faiz düşük kura karşı gelmez.