Programlama Ve Algoritmalar Final 11. Deneme Sınavı
Toplam 20 Soru1.Soru
İkili arama algoritmasına yönelik bir C program kodunda hangi fonksiyon ile program kodları çalışmaya başlar?
|
Main |
|
ikili_arama |
|
for |
|
ikili_arama.c |
|
sizeof |
İkili arama algoritmasına yönelik bir C program kodunda main fonksiyonu ile program kodları çalışmaya başlar.
2.Soru
60 elemanlı bir dizide ardışık algoritma ile arama yapıldığında en kötü durumdaki zaman karmaşıklığı kaç olur?
|
12 |
|
15 |
|
60 |
|
120 |
|
30 |
. En kötü durumdaki zaman karmaşıklığı, algoritmanın çalışmasının en uzun sürebileceği durumu ifade etmek için kullanılır. Ardışık arama algoritmasının gerçeklenmesi sırasında, n elemanlı bir dizi için en fazla n adet karşılaştırma yapılması gerekmektedir. Dolayısıyla ardışık aramanın en kötü durumdaki zaman karmaşıklığının O(n) olduğunu söyleyebiliriz. 60 elemanlı bir dizide ardışık algoritma ile arama yapıldığında en kötü durumdaki zaman karmaşıklığı 60’dır.
3.Soru
Elemanları [9 1 6 2 3] olan bir dizi, araya sokarak sıralama algoritması ile küçükten büyüğe doğru sıralanmak istenildiğinde, algoritmanın adımları sonrasında elde edilecek diziler aşağıdaki seçeneklerin hangisinde doğru sırayla verilmiştir?
|
[1 2 9 6 3] [1 2 6 9 3] [1 2 6 9 3] [1 2 3 6 9] |
|
[1 9 2 6 3 ] [1 2 9 6 3] [1 2 3 6 9] [1 2 3 6 9] |
|
[1 9 6 3 2] [1 9 6 2 3] [1 2 6 9 3] [1 2 3 6 9] |
|
[1 9 6 2 3][1 2 6 9 3] [1 2 3 9 6] [1 2 3 6 9] |
|
[1 2 9 6 3] [1 2 6 9 3] [1 2 3 9 6] [1 2 3 6 9] |
Araya sokarak sıralama algoritması dizinin elemanlarının kendilerinden önce gelen elemanlarla karşılaştırılması ve gerektiğinde birbirleriyle yer değiştirmeleri prensibine dayanır. Örnekler incelenip algoritma örneklere uyarlandığında doğru seçenek D’dir.
4.Soru
Çizgenin bir düğümünden başlanarak, söz konusu düğümün komşu düğümlerinin ve onların da komşularını sırayla ziyaret edildiği arama algoritmasına ne ad verilmektedir?
|
Yönlü çizelge |
|
Yönsüz çizelge |
|
Önce derinliğine arama algoritması |
|
Enine arama algoritması |
|
Dijkstra en kısa yol algoritması |
Çizgenin bir düğümünden başlanarak söz konusu komşu düğümlerinin ve onların da komşularının sırayla ziyaret edildiği algoritmaya enine arama algoritması denilmektedir.
5.Soru
Aşağıdakilerden hangisi algoritma tasarımının ilk aşamasıdır?
|
Algoritma tasarım tekniğine karar ver |
|
Algoritmayı tasarla |
|
Problemi anla |
|
Algoritmanın kodunu yaz |
|
Algoritmayı analiz et |
Problemi anlama tasarım aşamasının ilk basamağıdır.
6.Soru
Tasarlanan algoritma ile problemin çözümüne ulaşabilmek yapılan toplam temel operasyon sayısı aşağıdakilerden hangisi ile ifade edilir?
|
ln n |
|
log n |
|
T (n) |
|
T(n+1) |
|
T (n³) |
Çalışma Zamanı (running time) tasarlanan algoritma ile problemin çözümüne ulaşabilmek yapılan toplam temel operasyon sayısıdır. T (n) ile ifade edilir. Temel operasyonlar, karşılaştırma sayısı, döngü içerisinde dönme sayısı vb. işlemler olabilir.
7.Soru
100 elemanlı bir diziyi araya sokarak sıralama ile küçükten büyüğe doğru sıralamak istediğimizde en kötü durumda dizi içerisinde kaç defa yer değiştirme hareketi olur?
|
100 |
|
500 |
|
1000 |
|
4950 |
|
9500 |
İlk eleman yer değiştirmeyecek, ikinci sefer 1. ve 2 elemanlar yer değiştirecek. 3. sefer 1 2 3 elemanlar yer değiştirecek. Sonuçta 1+2+3+…99 eleman yer değiştirecek. Toplamda 100 * 99 /2 = 4950 eleman yer değiştirecek
8.Soru
Aşağıdaki sıralama algoritmalarının hangisinde en kötü durumdaki zaman karmaşıklığı değeri diğerlerinden farklıdır?
|
Baloncuk sıralaması |
|
Seçmeli sıralama |
|
Araya sokarak sıralama |
|
Hızlı sıralama |
|
Birleştirerek sıralama |
Baloncuk sıralaması, seçmeli sıralama, araya sokarak sıralama ve hızlı sıralamanın en kötü durumdaki zaman karmaşıklığı değeri O(n²)’dir. Birleştirerek sıralamanın ise O(n*log(n))’dir
9.Soru
Algoritma adımları, n elemanlı bir dizi için kaç defa tekrarlandığında tamamen sıralı bir dizi elde edilir?
|
n |
|
n+1 |
|
n-1 |
|
n-2 |
|
n-3 |
Algoritma adımları, n elemanlı bir dizi için n-1 defa tekrarlandığında tamamen sıralı bir dizi elde edilir.
10.Soru
Algoritmanın uygulamasında yığın (stack) veri yapısından faydalanılan arama algoritması aşağıdakilerden hangisidir?
|
Önce derinliğine arama algoritması |
|
Enine arama algoritması |
|
Dijkstra en kısa yol algoritması |
|
Boyuna arama algoritması |
|
Doğrudan arama algoritması |
Önce derinliğine arama, çizgenin bir düğümünden başlanarak bu düğümün komşusu üzerinden gidilebilecek en uzak düğüme kadar olan noktaların ziyaret edildiği ve daha sonra geri dönülerek aynı işlemlerin ziyaret edilmemiş düğümler için sürdürüldüğü bir arama algoritmasıdır. Algoritmanın uygulanması esnasında yığın (stack) veri yapısından faydalanılır.
11.Soru
İkili arama algoritması için aşağıdakilerden hangisi yanlıştır?
|
zaman karmaşıklığına sahiptir. |
|
Ardışık arama algoritmasından hızlıdır |
|
Sonuca ulaşmayı her zaman garanti edemez |
|
7 elemanlı dizi için 3 karşılaştırmada sonuca ulaşabilir |
|
7 elemanlı dizi için 7 karşılaştırmada sonuca ulaşabilir |
Aranan değer dizide mevcut ise 7 elemanlı dizi için 3 karşılaştırmada sonuca ulaşabilir.
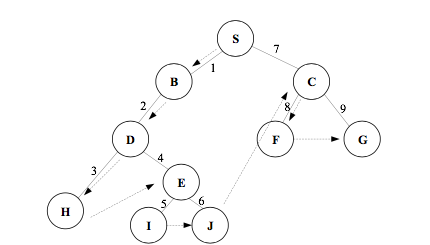
12.Soru
Yukarıdaki çizge üzerinde, başlangıç noktası S alınarak önce derinliğine arama algoritması çalıştırılacaktır. Bir düğümün birden fazla komşusu varsa bu komşular alfabetik sırada küçükten büyüğe doğru ziyaret edilecektir. Buna göre çizgedeki düğümlerin ziyaret edilme sırası aşağıdakilerden hangisidir?
|
S, B, D, H, E, I, J, C, F, G, |
|
S, C, F, E, I, J, H, A, B, D |
|
S, B, G, H, I, J, F, G, C, A |
|
S, B, G, I, J, H, F, C, A, D |
|
S, C, G, F, B, D, E, H, I, J |
Yukarıdaki şekilde de görüldüğü gibi çizgedeki düğümlerin ziyaret sırası S, B, D, H, E, I, J, C, F, G şeklindedir.
13.Soru
Girdi değeri n olan özyinelemeli faktöriyel
hesabının zaman karmaşıklığının mertebesi aşağıdakilerden hangisidir?
|
O(n2) |
|
O(logn) |
|
O(n) |
|
O(n3) |
|
O(nlogn) |
Özyinelemeli faktöriyel hesabının zaman karmaşıklığı O(n) mertebesindedir.
14.Soru
Çizgenin bir düğümünden başlanarak bu düğümün komşusu üzerinden gidilebilecek en uzak düğüme kadar olan noktaların ziyaret edildiği ve daha sonra geri dönülerek aynı işlemlerin ziyaret edilmemiş düğümler için sürdürüldüğü arama algoritmasıdır aşağıdakilerden hangisidir?
|
Önce derinliğine arama algoritması |
|
Enine arama algoritması |
|
Dijkstra en kısa yol algoritması |
|
Boyuna arama algoritması |
|
Doğrudan arama algoritması |
Önce derinliğine arama, çizgenin bir düğümünden başlanarak bu düğümün komşusu üzerinden gidilebilecek en uzak düğüme kadar olan noktaların ziyaret edildiği ve daha sonra geri dönülerek aynı işlemlerin ziyaret edilmemiş düğümler için sürdürüldüğü bir arama algoritmasıdır
15.Soru
Algoritmaların sonuca ulaşması için gerekli olan zaman hakkında bilgi veren bir ölçüt aşağıdakilerden hangisidir?
|
Zaman karmaşıklığı |
|
Çalışma zamanı |
|
Alan karmaşıklığı |
|
Çalışma karmaşıklığı |
|
Alan zamanı |
Zaman karmaşıklığı (time complexity) algoritmaların sonuca ulaşması için gerekli olan zaman hakkında bilgi veren bir ölçüttür. En kötü durumdaki zaman karmaşıklığı, algoritmanın çalışmasının en uzun
sürebileceği durumu ifade etmek için kullanılır.
16.Soru
Aşağıda üç ayrı dizi verilmiştir. Bu dizilerin hangisi ikili arama yapılabilmesi için uygundur?
I:[2 -1 98 0 22 13 54 22 -5]
II:[Ali, Emin, Fatma, Nurseli, Polat, Zennur]
III:[-12,-11, 1 2 3 4 5 6 7 8 9]
|
Yalnız I |
|
Yalnız II |
|
Yalnız III |
|
I ve II |
|
II ve III |
İkil arama yapılabilmesi için dizilerin sıralı olması gerekmektedir. Dikkatli incelendiğinde II dizisi alfabetik olarak sıralı bir dizidir. III dizisi de sıralı bir dizidir. Ancak I dizisi sıralı değildir. II ve III dizileri ikili arama için uygundur.
17.Soru
Bir veri kümesi içerisinde en küçük elemanın hızlıca bulunmasını sağlayan bir veri yapısı aşağıdakilerden hangisidir?
|
İkili ağaç |
|
Diziler |
|
Yığınlar |
|
Yığın ağaçları |
|
İkili arama araçları |
Yığın ağaçlarının kök düğümü en düğük değerli elemanı vermektedir.
18.Soru
Aşağıdakilerden hangisi ağaç veri yapısında bir düğümden önce yer alan ve o düğüme bir dal ile
bağlı olan düğüme verilen addır?
|
Kök |
|
Dal |
|
Yol |
|
Çocuk |
|
Ebeveyn |
Ebeveyn (Parent) bir düğümden önce yer alan ve o düğüme bir dal ile bağlı olan düğüme denir. Kök hariç her düğümün bir ebeveyni bulunmaktadır.
19.Soru
Kenar bağlantılarının yönleri temsil eden oklarla gösterildiği çizge aşağıdakilerden hangisidir?
|
Yönlü çizge |
|
Yönsüz çizge |
|
Tam çizge |
|
Eksik çizge |
|
Orta çizge |
Yönlü çizge, kenar bağlantılarının yönleri temsil eden oklarla gösterildiği çizgedir. Çizge içerisindeki birbirine bağlı iki düğüm noktası arasında, sadece ilgili okun işaret ettiği yönde ilerlenebilmesi mümkündür.
20.Soru
#include <stdio.h>
int main(void) {
int dizi[5],
int i;
for(i=0; i<5; i++) {
dizi[i] = i*2+1;
}
getch();
return 0;
}
Yukarıda yer alan C dilinde yazılmış programa göre dizi[3]’e karşılık gelen değer aşağıdakilerden hangisidir?
|
1 |
|
3 |
|
5 |
|
7 |
|
9 |
C dilinde öncelikle dizinin tipi sonrasında dizinin adı ve son olarak dizinin boyutu verilerek tanımlama yapılır. int dizi[5] ile tam sayılardan oluşan beş boyutlu bir dizi tanımlanmaktadır. dizi[3] döngüde i’nin 3 olduğu durumda hesaplanmaktadır. dizi[3]=3*2+1=7.
-
- 1.SORU ÇÖZÜLMEDİ
- 2.SORU ÇÖZÜLMEDİ
- 3.SORU ÇÖZÜLMEDİ
- 4.SORU ÇÖZÜLMEDİ
- 5.SORU ÇÖZÜLMEDİ
- 6.SORU ÇÖZÜLMEDİ
- 7.SORU ÇÖZÜLMEDİ
- 8.SORU ÇÖZÜLMEDİ
- 9.SORU ÇÖZÜLMEDİ
- 10.SORU ÇÖZÜLMEDİ
- 11.SORU ÇÖZÜLMEDİ
- 12.SORU ÇÖZÜLMEDİ
- 13.SORU ÇÖZÜLMEDİ
- 14.SORU ÇÖZÜLMEDİ
- 15.SORU ÇÖZÜLMEDİ
- 16.SORU ÇÖZÜLMEDİ
- 17.SORU ÇÖZÜLMEDİ
- 18.SORU ÇÖZÜLMEDİ
- 19.SORU ÇÖZÜLMEDİ
- 20.SORU ÇÖZÜLMEDİ