Programlama Ve Algoritmalar Final 3. Deneme Sınavı
Toplam 20 Soru1.Soru
Hangi sıralama istikrarlı değildir?
|
Seçmeli sıralama |
|
Baloncuk sıralaması |
|
Hızlı sıralama |
|
Araya sokarak sıralama |
|
Birleştirerek sıralama |
Hızlı sıralama istikrarlı değildir.
2.Soru
Tasarlanan algoritma ile problemin çözümüne ulaşabilmek için yapılan toplam temel operasyon sayısına ne ad verilir?
|
Çalışma zamanı |
|
Zaman karmaşıklığı |
|
Alan karmaşıklığı |
|
Çalışma karmaşıklığı |
|
Alan zamanı |
Tasarlanan algoritma ile problemin çözümüne ulaşabilmek için yapılan toplam temel operasyon sayısına çalışma zamanı denir.
3.Soru
Elemanları [2 65 11 23 -3 4 0 9 7] olan bir dizide ardışık arama yöntemiyle önce -3 daha sonra 0 aranmaktadır. Bu işlemler için toplamda kaç karşılaştırma yapmak gerekir?
| void ardisik_arama(int dizi[], int boyut, int aranan) { int i; for (i = boyut; i > 0; i--) { if (dizi[i-1] == aranan) { printf("%d sayisi, dizinin %d. konumundadir.\n”, aranan, i); break; } if (i == 0) printf("%d sayısı dizide bulunamadi.\n", aranan); } } |
|
5 |
|
7 |
|
8 |
|
12 |
|
20 |
Algoritma incelendiğinde aramanın dizinin son elemanından ilk elemanına doğru yapıldığı anlaşılır. -3 dizinin sondan 5. Elemanı ve 0 dizinin sondan 3. Elemanı olduğundan 5+3 = 8 karşılaştırma yapmak gerekir.
4.Soru
Denge faktörü aşağıdaki hangi değerleri alırsa düğüme pivot adı verilir?
|
-3 ve 3 |
|
-1 ve 1 |
|
-4 ve 4 |
|
-2 ve 2 |
|
-0,1 ve 0,1 |
Pivot: Denge faktörü 2 veya -2 olan düğüme pivot adı verilir. AVL
ağaçlarında pivot düğüm üzerinde döndürmeler yapılarak denge
sağlanır. Doğru cevap D'dir.
5.Soru
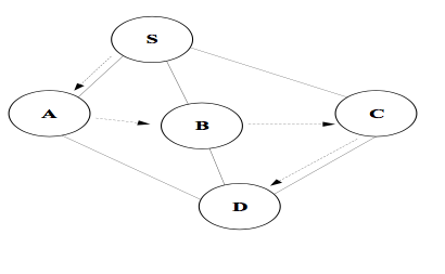
Yukarıdaki çizge üzerinde, başlangıç noktası S alınarak enine arama algoritması çalıştırılacaktır. Bir düğümün birden fazla komşusu varsa bu komşular alfabetik sırada küçükten büyüğe doğru ziyaret edilecektir. Buna göre çizgedeki düğümlerin ziyaret sırası aşağıdakilerden hangisidir?
|
S, C, D, A, B |
|
S, C, A, B, D |
|
S, B, A, C, D |
|
S, A, B, C, D |
|
S, D, A, B, C |
Yukarıda görülen şekle göre çizgedeki düğümlerin ziyaret sırası S, A, B, C, D şeklindedir.
6.Soru
Küçük parçalar için oluşturulan çözümlerin birleştirilmesiyle ana problemin çözümünün elde edilmesi ve bu işlemi kendini çağırarak yapan algoritma türü aşağıdakilerden hangisidir?
|
Kaba kuvvet algoritmaları |
|
Böl ve yönet algoritmaları |
|
Aç gözlü algoritmalar |
|
Geri izlemeli algoritmalar |
|
Özyinelemeli algoritmalar |
Kendisini doğrudan veya dolaylı olarak çağıran algoritmalara özyinelemeli algoritma adı verilir. Bu algoritmalarda, problemler daha küçük ve basit parçalara indirgenir. Küçük parçalar için oluşturulan çözümlerin birleştirilmesiyle ana problemin çözümü elde edilir.
7.Soru
Aşağıdakilerden hangisi n’e kadar olan sayıların harmonik toplamını veren algoritmik formüldür?
|
(ln n)+O(1) |
|
N(N+1)/2 |
|
N³/3 |
|
(log n)+O(n) |
|
(ln n)+O(n) |
N’e kadar olan sayıların harmonik toplamı (ln n)+O(1)ile bulunur.
8.Soru
I. [2, 7, 8, 16, 35, 69]
II. [69, 35, 16, 8, 6, 2]
III. [2, 69, 6, 35, 8, 16]
Yukarıdaki dizilerden hangisi üzerinde ardışık arama algoritması uygulanabilir?
|
Yalnızca I |
|
Yalnızca III |
|
I ve II |
|
II ve III |
|
I, II, III |
Ardışık arama, en temel arama algoritmasıdır. Bu algoritmanın çalışması için dizinin sı- ralı olmasına ihtiyaç bulunmamaktadır. Aranan
eleman, sırasıyla dizinin her bir konumundaki eleman ile karşılaştırılır. Aranan elemanın değerinin dizinin elemanlarından birisiyle aynı olduğu görülürse algoritma başarılı bir şekilde sonlandırılır. Eğer aranan eleman dizinin içerisinde mevcut değilse, karşılaştırmalar dizinin ilk elemanından son elemanına kadar sürecektir.yukarıdaki diziler ardışıktır ve dolayısıyla hepsi üzerinde ardışık arama algoritması uygulanabilir.
9.Soru
Aşağıda C dili ile yazılmış program kodları verilmiştir.
Bu kodlar çalıştırıldığında dizi[0]’ın son değeri aşağıdakilerden hangisi olur?
# include <stdio.h>
int main(void){
int dizi[4]={2,3,1,4};
int carpan=3;
dizi[3]=dizi[1] + carpan;
dizi[0]=dizi[2] + dizi[3];
getch();
return 0;
}
|
3 |
|
5 |
|
6 |
|
2 |
|
7 |
dizi[3]=3+3, dizi[0]= 1 + 6 olacaktır.
10.Soru
Yüksekliği 5 olan bir veri ağacında en fazla kaç düğüm bulunabilir?
|
12 |
|
63 |
|
24 |
|
31 |
|
48 |
Yüksekliği 0 olan ağaçta en fazla 1 eleman, yüksekliği 2 olan ağaçta en fazla 3 eleman bulunur. Böyle düşünüldüğünde sırasıyla 1-2-4-8-16-32 eleman olacaktır. Toplamda en fazla 63 düğüm bulunur.
11.Soru
Algoritma analizi yaparken kaç durumun analizinden faydalanılır?
|
2 |
|
3 |
|
4 |
|
5 |
|
6 |
Algoritma analizi yaparken dört durumun analizinden faydalanılır.
12.Soru
Genel olarak dizilerin veya herhangi bir veri yapısının elemanlarının istenilen düzene getirilmesi olarak ifade edilen terim aşağıdakilerden hangisidir?
|
Sıralama |
|
Bölme |
|
Kodlama |
|
Seçme |
|
Sorgulama |
Sıralama, genel olarak dizilerin veya herhangi bir veri yapısının elemanlarının istenilen düzene getirilmesi olarak ifade edilebilir.
13.Soru
Algoritma analizi yaparken hangi durumun analizinden faydalanılmaz?
|
Sıralı for döngüsü |
|
for döngüsü |
|
İç içe for döngüsü |
|
İki tane arka arkaya for döngüsü |
|
If/else deyimi |
Algoritma analizi yapılırken ‘for’ döngüsü, iç içe ‘for’ döngüsü, iki tane arka arkaya ‘for’ döngüsü ve if/else deyimi olmak üzere dört durumun analizinden yararlanılır.
14.Soru
Yığınların tepe noktası aşağıdakilerden hangisiyle ifade edilmektedir?
|
Prev |
|
Next |
|
Top |
|
Hat |
|
Peek |
Bir yığının en üst noktası “top” ile ifade edilmektedir. Yığının en üst noktasının takibi bu eleman aracılığıyla sağlanır.
15.Soru
Farklı girdi bilgileri ile çalışabilen algoritmalar, her girdi için doğru bir çıktı üretmelidir. Bu ifade algoritmanın hangi özelliğine karşılık gelmektedir?
|
Girdi-Çıktı Bilgisi |
|
Açıklık |
|
Doğruluk |
|
Genellik |
|
Verimlilik |
Farklı girdi bilgileri ile çalışabilen algoritmalar, her girdi için doğru bir çıktı üretmesi algoritmanın verimliliği ile ilgilidir.
16.Soru
Problemlerin mümkün olan en küçük alt parçalara ayrıldığı,,her bir alt parçanın diğerlerinden bağımsız şekilde çözüldüğü algoritmalar aşağıdakilerden hangisiyle isimlendirilmektedir?
|
Kaba Kuvvet Algoritmaları |
|
Geri İzlemeli Algoritmalar |
|
Böl ve Yönet Algoritmaları |
|
Açgözlü Algoritmalar |
|
Özyinelemeli Algoritmalar |
Böl ve yönet algoritmaları, problemlerin mümkün olan en küçük alt parçalara ayrıldığı, her bir alt parçanın diğerlerinden bağımsız şekilde çözüldüğü algoritmalardır. Problemin genel çözümü elde edilirken alt parçalara ait çözümler belirli bir sırayla bir araya getirilir.
17.Soru
13 9 21 6 8 4 3 şeklinde verilen dizide 6 rakamı aranmaktadır. Kaçıncı karşılaştırmada sonuca ulaşılır?
|
3 |
|
4 |
|
5 |
|
2 |
|
6 |
ilk olarak 13 sonra 9 sonra 21 sonra 6 bulunur.
18.Soru
Bir liste içerisinde eleman arama problemi için listenin tüm elemanları sırayla kontrol edilerek, aranan elemanın listede olup olmadığına bakan algoritmalar aşağıdakilerden hangisiyle isimlendirilir?
|
Geri İzlemeli Algoritmalar |
|
Kaba Kuvvet Algoritmaları |
|
Böl ve Yönet Algoritmaları |
|
Açgözlü Algoritmalar |
|
Özyinelemeli Algoritmalar |
Kaba kuvvet algoritmaları, genellikle problemin tanımından yola çıkarak en basit çözüm yolunu uygular ve rahatlıkla kodlanır. Fakat bu algoritmalarda çok fazla işlem yapılır ve çözüm yolu optimumdan uzaktır. Problemdeki veri hacmi büyüdükçe, kaba kuvvet algoritması ile çözüm sansı da azalır. Bir liste içerisinde eleman aramak, kaba kuvvet algoritmaların kullanımıyla çözülebilecek problemlere bir örnektir. Listenin tüm elemanları sırayla kontrol edilerek, aranan elemanın listede olup olmadığına bakılabilir. Listenin eleman sayısı arttıkça, kaba kuvvet algoritmasının çalışma süresi ve yaptığı karşılaştırmalar da artacaktır.
19.Soru
İkili arama algoritması için aşağıdakilerden hangisi yanlıştır?
|
zaman karmaşıklığına sahiptir. |
|
Ardışık arama algoritmasından hızlıdır. |
|
Sonuca ulaşmayı her zaman garanti edemez. |
|
7 elemanlı dizi için en kötü durumda 3 karşılaştırmada sonuca ulaşabilir. |
|
Aranan eleman, sırasıyla dizinin her bir konumundaki eleman ile karşılaştırılır. |
İkili arama algoritması ile ilgili olarak A, B, C ve D seçeneklerinde yer alan ifadeler doğrudur. E seçeneğinde yer alan ifade ise ardışık arama algoritması ile ilgilidir.
20.Soru
Bir dizi üzerinde lineer arama algoritmasında aranılan elemanın dizinin ilk elemanı olması aşağıdaki durumlardan hangisine örnektir?
|
En iyi durum verimliliği |
|
En kötü durum verimliliği |
|
Ortalama durum verimliliği |
|
Zaman verimliliği |
|
Alan verimliliği |
Bir dizi üzerinde lineer arama algoritmasında aranılan elemanın dizinin ilk elemanı olması en iyi durum verimliliğine örnektir.
-
- 1.SORU ÇÖZÜLMEDİ
- 2.SORU ÇÖZÜLMEDİ
- 3.SORU ÇÖZÜLMEDİ
- 4.SORU ÇÖZÜLMEDİ
- 5.SORU ÇÖZÜLMEDİ
- 6.SORU ÇÖZÜLMEDİ
- 7.SORU ÇÖZÜLMEDİ
- 8.SORU ÇÖZÜLMEDİ
- 9.SORU ÇÖZÜLMEDİ
- 10.SORU ÇÖZÜLMEDİ
- 11.SORU ÇÖZÜLMEDİ
- 12.SORU ÇÖZÜLMEDİ
- 13.SORU ÇÖZÜLMEDİ
- 14.SORU ÇÖZÜLMEDİ
- 15.SORU ÇÖZÜLMEDİ
- 16.SORU ÇÖZÜLMEDİ
- 17.SORU ÇÖZÜLMEDİ
- 18.SORU ÇÖZÜLMEDİ
- 19.SORU ÇÖZÜLMEDİ
- 20.SORU ÇÖZÜLMEDİ