Programlama Ve Algoritmalar Final 4. Deneme Sınavı
Toplam 20 Soru1.Soru
....... hızlı sıralama algoritması gibi özyinelemeli bir algoritmadır. Dizi, ilk olarak orta noktadan ikiye ayrılır ve bu iki dizi kendi içinde sıralanır. Hızlı sıralamadan farklı olarak dizi içerisindeki bu iki grup oluşturulurken herhangi bir sayıdan küçük veya büyük şeklinde bir ayrıma gidilmez. Sıralama işleminin yapılması için dizi, tek elemanlı hale gelene kadar ikiye ayrılır. Daha sonra, geçici diziler kullanılarak bu elemanlar sıralı olacak şekilde bir araya getirilirler. Boşluğa aşağıdakilerden hangisi getirilmelidir?
|
Hızlı sıralama |
|
Baloncuk sıralaması |
|
Araya sokarak sıralama |
|
Birleştirerek sıralama |
|
Seçmeli sıralama |
Soruda birleştirerek sıralama algoritmasından bahsedilmektedir
2.Soru
Aşağıdakilerden hangisi temel asimptotik verimlilik sınıf adlarından değildir?
|
Sabit |
|
Logaritmik |
|
Lineer |
|
Yarı doğrusal |
|
Fonksiyonel |
Temel asimptotik verimlilik sınıf adları şunlardır:
Sabit
Logaritmik
Lineer
Yarı doğrusal
İkinci dereceden (kareli)
Üçüncü dereceden (kübik)
Üstel
Faktöriyel
Bu bilgilerden de anlaşıldığı gibi fonksiyonel bu sınıf adlarından biri değildir.
3.Soru
Algoritma tasarlamanın birinci aşaması aşağıdakilerden hangisidir?
|
Doğruluğunu kanıtla |
|
Problem anla |
|
Algoritmayı analiz et |
|
Algoritmanın kodunu yaz |
|
Algoritmayı tasarla |
Algoritma tasarlamanın ilk aşaması problem anlamaktır.
4.Soru
Problemlerin mümkün olan en küçük alt parçalara ayrıldığı, her bir alt parçanın diğerlerinden bağımsız şekilde çözüldüğü algoritmalar ?aşağıdaki algoritmalardan hangisidir?
|
Böl ve yönet algoritmaları |
|
Geri izlemeli algoritmalar |
|
Kaba kuvvet algoritmaları |
|
Özyinelemeli algoritmalar |
|
Aç gözlü algoritmalar |
Bu algoritmada problem bölme, yönetme, birleştirme olarak üç aşamadan geçirilip çözüme ulaştırılır.
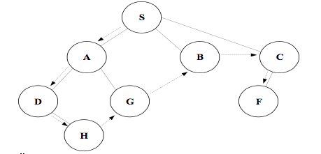
5.Soru
Yukarıdaki çizge üzerinde, başlangıç noktası S alınarak önce derinliğine arama algoritması çalıştırılacaktır. Bir düğümün birden fazla komşusu varsa bu komşular alfabetik sırada küçükten büyüğe doğru ziyaret edilecektir. Buna göre çizgedeki düğümlerin ziyaret edilme sırası aşağıdakilerden hangisidir?
|
S, A, D, G, B, C, F, H |
|
S, A, B, C, D, G, F, H |
|
S, B, C, F, A, G, D, H |
|
S, A, D, H, G, B, C, F |
|
S, A, D, G, H, B, C, F |
Önce derinliğine arama, çizge bir düğümden başlanarak bu düğümün komşusu üzerinden gidilecek en uzak düğüme kadar olan noktaların ziyaret edildiği ve daha sonra geri dönülerek aynı işlemlerin ziyaret edilmemiş düğümler için sürdürüldüğü arama algoritmasıdır. Dolayısıyla ziyaret sırası S, A, D, H, G, B, C, F’dir.
6.Soru
Bir ikili ağaçta 36 eleman olduğu belirtildiğinde bu ağacın yüksekliği aşağıda verilen seçeneklerden hangisi olamaz?
|
4 |
|
5 |
|
16 |
|
21 |
|
35 |
Yüksekliği 4 olan bir ağacın en fazla 1+2+4+8+16 = 31 elemanı olabilecek
7.Soru
Bir algoritmanın aynı türdeki problemlerin hepsine uygulanabilir olması algoritmanın hangi özelliği içinde değerlendirilir?
|
Açıklık |
|
Doğruluk |
|
Sonluluk |
|
Verimlilik |
|
Genellik |
Bir algoritmanın aynı türdeki problemlerin hepsine uygulanabilir olması algoritmanın genellik özelliği içinde değerlendirilir.
8.Soru
I. Ayrık zincirleme
II. Açık adresleme
III. Preorder gezinme
Hash fonksiyonunda çatıma oluşumunda uygulanacak çözüm yöntemleri yukarıdakilerden hangileridir?
|
I ve III |
|
I ve II |
|
II ve III |
|
Yalnız II |
|
Yalnız I |
Bir hash fonksiyonu için çatışma oluşumu ihtimalini ortadan kaldırmak mümkün olmasa da çatışma ile karşılaşıldığında uygulanabilecek çözümler mevcuttur. Çatışma çözüm yöntemleri iki ana başlıkta incelenir:
1. Ayrık Zincirleme (Separate Chaining)
2. Açık Adresleme (Open Addressing)
Dolayısıyla doğru cevap B'dir.
9.Soru
Aşağıdakilerden hangisi bağlı liste çeşitlerinden biridir?
|
Tek yönlü bağlı liste |
|
Çoklu bağlı liste |
|
Küresel bağlı liste |
|
Birleştirilmiş bağlı liste |
|
Kümelenmiş bağlı liste |
Tek yönlü bağlı liste, bağlı liste çeşitlerindendir.
10.Soru
Aşağıda üç ayrı dizi verilmiştir. Bu dizilerin hangisi ikili arama yapılabilmesi için uygundur?
I. [2 -1 98 0 22 13 54 22 -5]
II. [Ali, Emin, Fatma, Nurseli, Polat, Zennur]
III. [-12,-11, 1 2 3 4 5 6 7 8 9]
|
Yalnız I |
|
Yalnız II |
|
Yalnız III |
|
I ve II |
|
II ve III |
İkili arama yapılabilmesi için dizilerin sıralı olması gerekmektedir. Dikkatli incelendiğinde II dizisi alfabetik olarak sıralı bir dizidir. III dizisi de sıralı bir dizidir. Ancak I dizisi sıralı değildir. II ve III dizileri ikili arama için uygundur.
11.Soru
Hazırlanan algoritmanın kodunu yazmaya başlamadan önceki son aşama aşağıdakilerden hangisidir?
|
Algoritma tasarım tekniğine karar ver |
|
Algoritmayı tasarla |
|
Problemi anla |
|
Algoritmanın kodunu yaz |
|
Algoritmayı analiz et |
Hazırladığımız algoritmanın kodunu yazmaya başlamadan önceki son işlemimiz algoritmayı analiz etmektir.
12.Soru
Elemanları [20,12,8,4] olan bir dizi seçmeli sıralama algoritması ile küçükten büyüğe doğru sıralanmak istenildiğinde algoritmanın adımları sonrasında elde edilecek diziler aşağıdaki seçeneklerin hangisinde doğru sıralanmıştır?
|
[20,12,8,4], [4,12,8,20], [4,8,12,20] |
|
[4,8,20,12], [4,12,8,20], [4,8,12,20] |
|
[4,20,12,8], [8,4,20,12], [4,8,12,20] |
|
[8,12,20,4], [8,4,20,12], [4,8,12,20] |
|
[8,20,4,12], [8,20,12,4], [4,8,12,20] |
Sıralama algoritmasını çözmeye başlarsak ilk eleman ile son elemanın yerleri değiştirilir.
Sonra orta elemanlara bakarız. Büyük eleman ile küçük elemanın yerleri değiştirilir.
13.Soru
Bir problemin çözümünde yerel olarak optimum sonuç elde edilirken, bulunan sonuç her zaman için en iyi çözüme karşılık gelmeyen ve problemin küçük bir alt kümesi için çözüm oluşturan ve bu çözümü problemin geneline yayan algoritma türü nedir?
|
Geri İzlemeli Algoritmalar |
|
Açgözlü Algoritmalar |
|
Kaba kuvvet Algoritmaları |
|
Böl ve Yönet Algoritmaları |
|
Özyinelemeli Algoritmalar |
Açgözlü algoritmalarda yerel olarak optimum sonuç elde edilirken, bulunan sonuç her zaman için en iyi çözüme karşılık gelmeyebilir. Açgözlü algoritmalarda problem için en doğru çözüm hedeflenir ve problemde oluşturulan küçük alt küme çözümün geneline yayılır.
14.Soru
I. Algoritmayı oluşturan adımlar doğru ve kesin bir şekilde tanımlanmalıdır.
II. Algoritmaların daima bir sonu olmalıdır.
III. Bir algoritma, aynı türdeki problemlerin hepsine uygulanabilir olmalıdır.
Algoritmalar ile ilgili yukardaki bilgilerden hangisi veya hangileri doğrudur?
|
Yalnız I |
|
Yalnız III |
|
I ve III |
|
I ve II |
|
I, II ve III |
Algoritmalarda girdi ve çıktı bilgileri olmalıdır. Girdi bilgisi algoritmaya dışarıdan verilirken, çıktı bilgisi ise algoritma içerisinde üretilir. Bu bilgiler, algoritma için tanımlı veri kümesine ait olmalıdır. Algoritmayı oluşturan adımlar doğru ve kesin bir şekilde tanımlanmalıdır. Farklı girdi bilgileri ile çalışabilen algoritmalar, her girdi için doğru bir çıktı üretmelidir. Algoritmaların daima bir sonu olmalıdır. Girilen veri boyutundan bağımsız bir şekilde, algoritma adımları farklı bir aşamaya geçebilmeli veya sonlanmalıdır. Algoritma adımları gerçekleştirilirken, algoritma sonsuz döngüye girmemelidir. Algoritmayı oluşturan adımlar, yapılan iş için kabul edilebilir bir süre içerisinde tamamlanmalıdır. Bir algoritma, aynı türdeki problemlerin hepsine uygulanabilir olmalıdır.
15.Soru
Ağırlıklandırılmış çizgelerde bir başlangıç düğümü ile diğer düğümler arasındaki en kısa mesafeyi tespit etmek için kullanılan algoritma aşağıdakilerden hangisidir?
|
Enine arama |
|
Önce derinliğine arama |
|
Dijkstra en kısa yol |
|
İkili arama |
|
Yönlü arama |
Dijkstra algoritması, ağırlıklandırılmış çizgelerde bir başlangıç düğümü ile diğer düğümler arasındaki en kısa mesafeyi tespit etmek için kullanılır.
16.Soru
- Öncelikli olarak problem genellikle eşit büyüklükteki alt parçalara ayrılır.
- Her bir alt problem, genellikle özyinelemeli fonksiyon aracılığı ile çözülür.
- Bütün alt problemlerin çözümü birleştirilerek genel sonuç elde edilir.?
İşleyişin yukarıdaki gibi olduğu algortima tasarım tekniği aşağıdakilerden hangisidir?
|
Döngü Algoritmaları |
|
Tekrarlama Algoritmaları |
|
Böl-Fethet Yöntemi |
|
Bölme Yöntemi |
|
Sabit Fonksiyon Algoritmaları |
Böl-Fethet Yöntemidir.
17.Soru
Yukarıda verilen şekilde D={1,2,3,4} olmak üzere D’ye bağlı kenar bağıntılarını temsil eden küme aşağıdakilerden hangisidir?
|
K={(1,2), (1,3), (2,3), (2,5)} |
|
K={(1,2), (1,3), (1,4), (2,3), (2,4), (3,2), (3,4)} |
|
K={(1,2), (1,4), (2,1), (2,4), (3,1)} |
|
K={(1,2), (1,3), (2,1), (2,3), (2,5)} |
|
K={(1,2), (1,3), (1,4), (2,1), (2,3), (2,4)} |
D={1,2,3,4} kümesi ve şekle göre yönlü çizge örneğinden yola çıkarak K={(1,2), (1,3), (1,4), (2,3), (2,4), (3,2), (3,4)} kümesi elde edilir. K kümesi yedi adet kenar bağıntısını temsil eder.
18.Soru
Aşağıdakilerden hangisi yığının doluluk kontrolü için kullanılan fonksiyondur?
|
int stack[N] |
|
int top |
|
Void push |
|
isFull |
|
isEmpty |
Yığının doluluk kontrolü isFull fonksiyonu ile control edilir.
19.Soru
Algoritmanın eleman sayısının çok büyük olduğu durumlarda, problemin çözümünü ulaşabilmeye yönelik bellek gereksinimi aşağıdakilerden hangisi ile ifade edilir?
|
Zaman karmaşıklığı |
|
Çalışma zamanı |
|
Alan karmaşıklığı |
|
Çalışma karmaşıklığı |
|
Alan zamanı |
Alan Karmaşıklığ algoritmanın eleman sayısının çok büyük olduğu durumlarda, problemin çözümünü ulaşabilmeye yönelik bellek gereksinimidir.
20.Soru
Özyinelemeli fonksiyonların analizi yapılırken hangi adım sırası takip edilir?
I. Algoritmanın temel operasyonu belirlenir.
II. Girdi büyüklüğünü veren parametre belirlenir.
III. Özyineleme bağıntısı çözülür ve zaman karmaşıklığı bulunur.
IV. Özyinelemeli fonksiyon bağıntısı yazılır.
V. Temel operasyonun çalışma sayısının değişip değişmeyeceği belirlenir.
|
I-II-V-IV-III |
|
IV-II-I-V-III |
|
II-V-IV-III-I |
|
II-I-V-IV-III |
|
IV-III-II-I-V |
Özyinelemeli fonksiyonların analizinde ”II)Girdi büyüklüğünü veren parametre belirlenir. I) Algoritmanın temel operasyonu belirlenir. V) Temel operasyonun çalışma sayısının değişip değişmeyeceği belirlenir. IV) Özyinelemeli fonksiyon bağıntısı yazılır. III) Özyineleme bağıntısı çözülür ve zaman karmaşıklığı bulunur.” adımları takip edilir.
-
- 1.SORU ÇÖZÜLMEDİ
- 2.SORU ÇÖZÜLMEDİ
- 3.SORU ÇÖZÜLMEDİ
- 4.SORU ÇÖZÜLMEDİ
- 5.SORU ÇÖZÜLMEDİ
- 6.SORU ÇÖZÜLMEDİ
- 7.SORU ÇÖZÜLMEDİ
- 8.SORU ÇÖZÜLMEDİ
- 9.SORU ÇÖZÜLMEDİ
- 10.SORU ÇÖZÜLMEDİ
- 11.SORU ÇÖZÜLMEDİ
- 12.SORU ÇÖZÜLMEDİ
- 13.SORU ÇÖZÜLMEDİ
- 14.SORU ÇÖZÜLMEDİ
- 15.SORU ÇÖZÜLMEDİ
- 16.SORU ÇÖZÜLMEDİ
- 17.SORU ÇÖZÜLMEDİ
- 18.SORU ÇÖZÜLMEDİ
- 19.SORU ÇÖZÜLMEDİ
- 20.SORU ÇÖZÜLMEDİ