Sağlık Alanında İstatistik Ara 4. Deneme Sınavı
Toplam 20 Soru1.Soru
I-Red bölgesinin belirlenmesi II-Test istatistiğinin hesaplanması III-İstatistiksel kararın verilmesi IV-Hipotezlerin kurulması V-Kritik değerin bulunması VI-Anlam düzeyinin seçilmesi İstatistiksel hipotez testi sürecinde izlenmesi gereken adımlar hangi seçenekte doğru bir şekilde sıralanmıştır?
|
IV-V-VI-II-I-III |
|
IV-VI-I-V-II-III |
|
II-IV-I-VI-III-V |
|
IV-VI-V-II-I-III |
|
IV-I-VI-II-V-III |
Hipotez testleri şu süreçte işler:
I-Hipotezlerin kurulması
II-Anlam düzeyinin seçilmesi
III-Red bölgesinin belirlenmesi
IV-Kritik değerin bulunması
V-Test istatistiğinin hesaplanması
VI-İstatistiksel kararın verilmesi.
2.Soru
Bir ilde toplam üç üniversite bulunmaktadır. Bu üniversitelerde çalışan tüm öğretim elemanlarının sayısı 1000’dir. Önceki ay itibariyle, bu üç üniversitede çalışan tüm öğretim elemanlarının yaş ortalaması 40 yaş olarak hesaplanmıştır. Hesaplanan yaş ortalaması sayısal değerine ne ad verilir?
|
Parametre |
|
Ana kütle |
|
İstatistik |
|
Örneklem |
|
Değişken |
Bir ana kütlenin ölçülebilen herhangi bir özelliğinin almış olduğu sayısal değerlere parametre adı verilir. Dolayısıyla parametre, ana kütledeki bütün birimler ele alınıp hesaplanan sayısal ya da oransal bir değerdir. Soru kökünde, ildeki tüm öğretim elemanlarının yaşları ele alınarak yaş ortalaması hesaplandığı için, 40 yaş sayısal değeri bir parametredir. Ana kütle, bir araştırmada ilgilenilen tüm birimlerin oluşturduğu topluluğa denir. Soru kökündeki ana kütle, 1000 öğretim elemanının tümüdür. İlgilenilen ana kütleyi en iyi şekilde yansıtan ve daha az sayıda birimden oluşan alt gruba örneklem denir. Soru kökünde, ildeki toplam 1000 öğretim elemanı arasından rassal olarak 200 öğretim elemanı seçilseydi, bu alt grup bir örneklem olacaktı. İstatistik ise, örneklem verilerine dayalı olarak hesaplanan herhangi bir tanımlayıcı ölçüye denir. Dolayısıyla istatistik, ana kütleden herhangi bir yolla seçilen bir örneklemdeki birimler ele alınıp hesaplanan sayısal ya da oransal bir değerdir. Seçilen 200 öğretim elemanının oluşturduğu örneklemin yaş ortalaması hesaplansaydı, elde edilen sayısal yaş ortalaması değeri bir istatistik olacaktı. Koşullara bağlı olarak farklı zamanlarda farklı değerler alabilen birimlerin herhangi bir özelliğine ya da karakteristiğine değişken adı verilir. Soru kökündeki değişken yaştır. Doğru cevap A'dır.
3.Soru
Olasılıkla ilgili aşağıdaki ifadelerden hangisi yanlıştır?
|
Herhangi bir olayın gerçekleşme şansının sayısal ölçümüne olasılık adı verilir. |
|
Olası gözlemlerden yalnızca birinin gerçekleşmesi ile sonuçlanan sürece deney adı verilir. |
|
Bir deneyin tüm olası sonuçlarından oluşan kümeye örneklem uzayı adı verilir. |
|
Bir deneyin herhangi bir tekrarında, olası sonuçlardan yalnızca bir tanesi gerçekleşir. |
|
Olasılık değerleri, daima – 1 ile + 1 arasında bir değer alır. |
Herhangi bir olayın gerçekleşme şansının sayısal ölçümüne olasılık adı verilir. Olasılık, olaylara ilişkin belirsizlik derecesinin ölçüleri olarak kullanılabilir. Olasılık değerleri, daima 0 ile +1 arasında bir değer alır. Olasılık değerinin 0 olması olayın gerçekleşme şansının bulunmadığını, 1 olması ise olayın kesinlikle gerçekleşeceğini gösterir. 0 ile 1 arasındaki olasılık değerleri de, olayın gerçekleşme şansının derecesini temsil eder. Olası gözlemlerden yalnızca birinin gerçekleşmesi ile sonuçlanan sürece deney adı verilir. Deneyin sona erme biçimine ise sonuç adı verilir. Bir deneyin tüm olası sonuçlarından oluşan kümeye örneklem uzayı adı verilir.
4.Soru
Bir araştırmada gözlem değerlerinin terslerinin aritmetik ortalamasının tersi ile ilgileniliyor ise hangi değer hesaplanmaktadır?
|
Medyan |
|
Aritmetik ortalama |
|
Geometrik ortalama |
|
Harmonik ortalama |
|
Standart sapma |
Bir araştırmada gözlem değerlerinin terslerinin aritmetik ortalamasının tersi ile ilgileniliyor ise harmonik ortalama hesaplanmaktadır.
5.Soru
Sonuçların eşit olasılıklı olarak varsayılamadığı ve elde çok fazla veri bulunmadığı durumlarda başvurulan olasılık hesaplama yöntemi hangisidir?
|
Kombinasyon yöntemi |
|
Klasik yöntem |
|
Subjektif yöntem |
|
Nesnel yöntem |
|
Değişken yöntem |
Sonuçların eşit olasılıklı olarak varsayılamadığı ve elde çok fazla veri bulunmadığı durumlarda başvurulan olasılık hesaplama yöntemi subjektif yöntemdir. Doğru cevap C'dir.
6.Soru
Bir hastanede görev yapan 50 doktorun 14’ü erkek ve 22’si bayan doktordur ve bu hastanede 5 adet erkek göz doktoru görev yapmaktadır. Bu hastanede görev yapan tüm doktorlar arasından rastgele seçilen bir doktorun cinsiyetinin erkek olduğu bilindiğine göre, bu doktorun göz doktoru olma olasılığı kaçtır?
|
0.65 |
|
0.45 |
|
0.37 |
|
0.36 |
|
0.38 |
P(E)=14/50=0.28 P(G?E)=5/50=0.1
P (G|E)=0.1/0.28=0.36 Doğru cevap D'dir.
7.Soru
Belli bir aralığın ana kütle parametresini içerme olasılığına ne ad verilir?
|
Güven aralığı |
|
Güven düzeyi |
|
Nokta tahmini |
|
Aralık tahmini |
|
Tahminleme |
Ana kütle parametresinin içerisinde yer alacağı tahmin edilen ve belli bir güven düzeyine göre belirlenen sayısal değerler aralığına güven aralığı adı verilir.
Belli bir aralığın ana kütle parametresini içermesi olasılığına güven düzeyi denilir.
Bir ana kütle parametresinin tek bir sayı olarak tahmininde kullanılan örneklem istatistiği değerine nokta tahmini adı verilir.
Nokta tahmini, ana kütle parametresine ilişkin tahminde bulunmada genel bir yöntem olmasına karşın, birçok sorunu da beraberinde getirir. Örneğin nokta tahmini sonucunda, tahminin gerçek parametre değerine ne kadar yakın bir değer olduğuna ya da tahmin sonucunda oluşacak olası hata miktarına ilişkin herhangi bir bilgi edinilemez. Bu nedenle tahminin parametreye yakınlık derecesinin belirlenmesi için nokta tahmini yerine aralık tahminlemesi yöntemi tercih edilebilir. Ana kütledeki tüm birimleri incelemenin mümkün olmadığı araştırmalarda ana kütle parametresi hesaplanamadığından, örneklem bilgilerinden yararlanarak ana kütle parametrelerinin içinde yer aldığı aralık değerleri belli olasılık düzeylerinde tahmin edilebilir. Aralık tahminlemesi yöntemi ile ana kütle parametresinin içerisinde yer alabileceği bir aralık belirlenir. Bu değerler aralığına ana kütle parametresinin güven aralığı adı verilir. Dolayısıyla ana kütle parametresinin tahmininde parametrenin hangi aralıkta yer alacağı hesaplanmış olur.
Örneklem seçimi sonucunda hesaplanan istatistik aracılığı ile ana kütle parametresinin aldığı değer olarak kabul edilen bir aralık ya da bir sayı elde etme işlemine tahminleme adı verilir.
8.Soru
Bir toptancı markette satılmakta olan 20 gr.’lık 5 farklı maya markasının mayaları alınarak tartılmış ve 16, 16, 21, 25, 25 gr. olarak bulunmuştur. Maya ağırlığı değişkeni için aralık değeri nedir?
|
7 |
|
8 |
|
9 |
|
10 |
|
11 |
Aralık en büyük ve en küçük değer arasındaki fark olarak tanımlanmıştır. Seride en büyük değer 25 gr ve en küçük değer 16 gr olduğundan maya ağırlığı değişkeni için aralık değeri 25 – 16 = 9 gr.’dır.
9.Soru
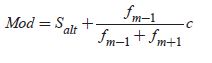
Yukarıda verilen frekans serisinin mod değeri aşağıdakilerden hangisidir?
|
5,13 |
|
5,87 |
|
6,67 |
|
8,33 |
|
9,67 |
Mod şu formülle hesaplanır:
En yüksek frekans değeri 16 değeridir ve bu değer 5-10 sınıfı içindir. Buna göre:
Doğru cevap C'dir.
10.Soru
Aşağıdakilerden kaç tanesi bir olasılık değeri olabilir ?
|
-1 |
|
-0,5 |
|
0 |
|
0,7 |
|
1 |
0 ile 1 arasında (0 ve 1 dahil) değerler alan ve bir olayın gerçekleşme şansını belirten sayıya olasılık denir.
11.Soru
A olayı bir ağrı kesicinin ağrıyı dindirme olasılığı P(A) =0,82 olarak biliniyor. P(A^T) olasılığı kaçtır?
|
0,12 |
|
0,19 |
|
0,28 |
|
0,46 |
|
0,83 |
Verilen bir A olayının tümleyeni, örneklem uzayında A olayının dışında kalan tüm örneklem uzayı noktalarını içeren olay olarak tanımlanır ve A^T olayının tümleyeni ile gösterilir. Bu durumda P(A)=1- P(A^T) = 1 – 0,82 = 0,28 olarak bulunur.
12.Soru
Bir frekansın sola çarpık olması için aşağıdakilerden hangisinin gerçekleşmesi gerekir?
|
Aritmetik ortalama = Medyan = Mod |
|
Aritmetik ortalama > Mod > Medyan |
|
Aritmetik ortalama > Medyan > Mod |
|
Aritmetik ortalama < Medyan < Mod |
|
Aritmetik ortalama < Mod < Medyan |
Sola çarpık frekans serilerinde küçük değere sahip gözlem değeri sayısı fazla olacağından ve bu değerler de aritmetik ortalamayı küçültme yönünde etkileyeceğinden Aritmetik ortalama < Medyan < Mod ilişkisi vardır. Doğru cevap D'dir.
13.Soru
Ana kütle parametresinin tahmininde güven aralıkları kullanıldığında, bu tahminin doğruluk derecesi, verilen herhangi bir aralığın parametreyi içermesi olasılığının incelenmesi yoluyla belirlenebilir. Bu olasılık …………………………………. olarak adlandırılır. Boşlukta verilen yere aşağıdakilerden hangisi gelmelidir?
|
Serbestlik derecesi |
|
Güven düzeyi |
|
İstatistiksel hipotez |
|
Kritik değer |
|
Red bölgesi |
Ana kütle parametresinin tahmininde güven aralıkları kullanıldığında, bu tahminin doğruluk derecesi, verilen herhangi bir aralığın parametreyi içermesi olasılığının incelenmesi yoluyla belirlenebilir. Bu olasılık güven düzeyi olarak adlandırılır. Doğru cevap B'dir.
14.Soru
Bir kargo firmasına teslim edilen paketlerin ağırlıkları ortalaması 750 gr.’dır. Paket ağırlığı standart sapma değeri de 75 gramdır. Bu paketlerin en az yüzde kaçı aritmetik ortalama değeri olan 750 gr.’ın artı eksi 2,5 gr. standart sapma aralığında yer almaktadır?
|
0,16 |
|
0,25 |
|
0,5 |
|
0,74 |
|
0,84 |
Chebyshev teoremi kullanılarak hesaplama yapıldığında doğru cevap E şıkkı olarak bulunmaktadır.
15.Soru
Sturges kuralının işlevi aşağıdakilerden hangisinde belirtilmiştir?
|
Bir ana kütlenin ölçülebilen herhangi bir özelliğinin almış olduğu sayısal değerleri belirlemek |
|
Gruplanmış frekans serisi oluşturulurken sınıf sayısını belirlemek |
|
Ölçmeye konu olan özellikleri sınıflamak, sıralamak ve derecelendirmek |
|
Araştırma sonucunda elde edilen verileri, değişkenin bir özelliğine göre sıralamak |
|
Basit bir seride birimlerin aldığı değerlerin tekrarlanma sayılarını göstermek |
Bir ana kütlenin ölçülebilen herhangi bir özelliğinin almış olduğu sayısal değerlerin belirlenmesi, parametrenin belirlenmesiyle ilgilidir. Gruplanmış frekans serisi oluşturulurken sınıf sayısını belirlemek, Sturges kuralının işlevidir. Ölçmeye konu olan özellikleri sınıflamak, sıralamak ve derecelendirmek ölçeklerin işlevidir. Araştırma sonucunda elde edilen verileri, değişkenin bir özelliğine göre sıralamak basit serinin işlevidir. Basit bir seride birimlerin aldığı değerlerin tekrarlanma sayılarını göstermek, frekans serisinin işlevidir. Doğru cevap B'dir.
16.Soru
Üniversite öğrencileri ile yapılan bir araştırmada üniversite öğrencilerinin sınıf düzeyleri ile akademik motivasyonları arasında ilişki olup olmadığı belirlenmek istenmektedir. Bu araştırmada sınıf düzeyi hangi tür ölçek türü ile ölçülmüştür.
|
Sınıflayıcı Ölçek |
|
Sıralayıcı Ölçek |
|
Eşit Aralıklı Ölçek |
|
Oransal Ölçek |
|
Eşit Oranlı Ölçek |
Eğer eldeki veriler sınıflayıcı ölçekli verilerin özelliklerine sahip ve bu veriler belli bir düzene göre sıralanabiliyorsa, incelenen değişkene ilişkin ölçeğe sıralayıcı ölçek adı verilir.
17.Soru
Araştırılan değişkenin oran, indeks, yüzde ya da artış oranı olarak ölçümlendiği problemlerde değişken için ortalama hesaplanması gerektiğinde kullanılan ortalama türü hangisidir?
|
Geometrik ortalama |
|
Aritmetik ortalama |
|
Mod |
|
Medyan |
|
Frekans |
Araştırılan değişkenin oran, indeks, yüzde ya da artış oranı olarak ölçümlendiği problemlerde değişken için ortalama hesaplanması gerektiğinde kullanılan ortalama türü geometrik ortalamadır. Bu nedenle doğru cevap A şıkkıdır.
18.Soru
Bir araştırmada katılımcılara kaç çocuk sahibi oldukları sorulmuştur. Verilen cevaplar şöyledir: 2, 3, 3, 1, 4, 1, 1, 1, 1, 6, 4, 2, 2, 2, 3. Bu serinin medyanı kaçtır?
|
1 |
|
2 |
|
3 |
|
4 |
|
6 |
Bir serinin medyanını hesaplayabilmek için öncelikle seri küçükten büyüğe doğru sıralanır. Tam ortada kalan değer bize medyanı verecektir:
1, 1, 1, 1, 1, 2, 2, 2, 2, 3, 3, 3, 4, 4, 6
15 gözlemden oluşan bu seride 8. sırada yer alan gözlem medyanı verir. Bu değer yukarıda da görüldüğü üzere 2'ye eşittir.
Doğru cevap B'dir.
19.Soru
Akciğer kanseri teşhisi konulmuş olan 80 hastanın düzenli olarak sigara ve alkol tüketme alışkanlıkları incelenmektedir. İnceleme sonucunda, 80 hastanın 30’unun sadece sigara, 28’inin sadece alkol, 15’inin ise hem sigara hem de alkol tükettiği belirlenmiştir. Bu hastalar arasından rastgele seçilen bir hastanın düzenli olarak sigara veya alkol tüketme alışkanlığı olma olasılığı kaçtır?
|
0.53 |
|
0.63 |
|
0.73 |
|
0.83 |
|
0.93 |
P(A∪B) = P(A) + P(B) - P(A∩ B)= 30/80+28/80-15/80=43/80=0.53'tür. Doğru cevap A'dır.
20.Soru
Örneklem ortalamalarının örnekleme dağılımı, örneklem büyüdükçe normal dağılıma yaklaşmasına ne ad verilir?
|
Rassal limit teoremi |
|
Merkezi limit teoremi |
|
Ortalama limit teoremi |
|
Örnekleme teoremi |
|
Nokta tespit teoremi |
Ortalamalarının örnekleme dağılımının üçüncü özelliği, dağılım biçimine ilişkin olarak
verilir ve istatistikte bu özellik Merkezi Limit Teoremi adı verilen teoremle açıklanır. Bu
teoreme göre; ortalaması µ ve standart sapması ? olan herhangi bir ana kütleden iadeli
seçimle çekilen örneklem ortalamalarının dağılımı, n büyüdükçe, ortalaması µ ve standartsapması ? / n olan normal dağılıma yaklaşır.
-
- 1.SORU ÇÖZÜLMEDİ
- 2.SORU ÇÖZÜLMEDİ
- 3.SORU ÇÖZÜLMEDİ
- 4.SORU ÇÖZÜLMEDİ
- 5.SORU ÇÖZÜLMEDİ
- 6.SORU ÇÖZÜLMEDİ
- 7.SORU ÇÖZÜLMEDİ
- 8.SORU ÇÖZÜLMEDİ
- 9.SORU ÇÖZÜLMEDİ
- 10.SORU ÇÖZÜLMEDİ
- 11.SORU ÇÖZÜLMEDİ
- 12.SORU ÇÖZÜLMEDİ
- 13.SORU ÇÖZÜLMEDİ
- 14.SORU ÇÖZÜLMEDİ
- 15.SORU ÇÖZÜLMEDİ
- 16.SORU ÇÖZÜLMEDİ
- 17.SORU ÇÖZÜLMEDİ
- 18.SORU ÇÖZÜLMEDİ
- 19.SORU ÇÖZÜLMEDİ
- 20.SORU ÇÖZÜLMEDİ