Sağlık Alanında İstatistik Ara 5. Deneme Sınavı
Toplam 19 Soru1.Soru
Türkiye İstatistik Kurumu 2012 yılı istatistiklerine göre 15-24 yaş grubunda yer alan genç erkeklerin boy ve kilo ortalamaları kaçtır?
|
Boy ortalamaları 173,5 cm ve kilo ortalamaları 68 kg |
|
Boy ortalamaları 173,2 cm ve kilo ortalamaları 68,4 kg |
|
Boy ortalamaları 173,3 cm ve kilo ortalamaları 68,2 kg |
|
Boy ortalamaları 173,4 cm ve kilo ortalamaları 68,3 kg |
|
Boy ortalamaları 173,5 cm ve kilo ortalamaları 68,4 kg |
Türkiye İstatistik Kurumu 2012 yılı istatistiklerine göre 15-24 yaş grubunda yer alan genç erkeklerin boy ortalamaları 173,5 cm ve kilo ortalamaları 68,4 kg’dir
2.Soru
Değişkenlerden birinin farklı düzeylerinin tablonun satırlarına, diğerlerininkilerin de sütunlara yerleştirilmesi yoluyla oluşturulan tablo türü aşağıdakilerden hangisidir?
|
Frekans tablosu |
|
Kümülatif frekans tablosu |
|
Gruplanmış frekans tablosu |
|
Kontenjans tablosu |
|
Saçılım tablosu |
Değişkenlerden birinin farklı düzeylerinin tablonun satırlarına, diğerlerininkilerin de sütunlara yerleştirilmesi yoluyla oluşturulan tablo türü kontenjans tablosudur. Doğru cevap D'dir.
3.Soru
Bir seride .................. her zaman ............….dan daha düşük bir değere sahiptir.
Boş bırakılan yerler uygun şekilde doldurulduğunda doğru cevap hangi seçenek olur?
|
Aritmetik ortalama-Geometrik ortalama |
|
Geometrik ortalama-Aritmetik ortalama |
|
Aritmetik ortalama- Mod |
|
Geometrik ortalama-Medyan |
|
Mod-Geometrik ortalama |
Bir seride geometrik ortalama her zaman aritmetik ortalamadan daha düşük bir değere sahiptir. Bu nedenle doğru cevap B şıkkıdır.
4.Soru
Bir ana kütle parametresinin tek bir sayı olarak tahmininde kullanılan örneklem istatistiği değerine ne ad verilir?
|
Tahmin |
|
Örnekleme |
|
Çıkarım |
|
Nokta Tahmin |
|
Hipotez |
Bir ana kütle parametresinin tek bir sayı olarak tahmininde kullanılan örneklem istatistiği değerine nokta tahmini adı verilir.
5.Soru
Belirlenen bir x değeri ile dağılımın aritmetik ortalaması arasındaki farkın, dağılımın standart sapmasına oranına ne ad verilir?
|
y değeri |
|
s değeri |
|
t değeri |
|
f değeri |
|
z değeri |
Belirlenen bir x değeri ile dağılımın aritmetik ortalaması arasındaki farkın, dağılımın standart sapmasına oranına z değeri adı verilir. Doğru cevap E'dir.
6.Soru
Red bölgesi ile ilgili verilen ifadelerden hangisi yanlıştır?
|
Red bölgesinin büyüklüğü α anlam düzeyine eşittir. |
|
Red bölgesinin konumu karşıt hipotezin tek ya da çift yönlü oluşuna göre değişir. |
|
Karşıt hipotez çift yönlü ise red bölgesi dağılımın sağ alt kuyruğunda yer alır. |
|
Red bölgesi dağılımın her iki ucunda ise bu bölgelerin büyüklüğü α/2 kadardır. |
|
Karşıt hipotez anakütle parametresinden büyük şeklinde kurulmuş ise red bölgesi sağ alt kuyruk bölgesindedir. |
Karşıt hipotez çift yönlü ise red bölgesi dağılımın her iki alt kuyruğunda yer alır. Doğru cevap C'dir.
7.Soru
Aşağıdakilerden hangisi iki sonuçlu bir ana kütleden n birimlik olası tüm rassal örneklemler seçilerek her örneklem için p oranı hesaplandığında, bu oranlardan oluşan dağılıma ne ad verilir ?
|
Ortalamanın örnekleme dağılımı |
|
Oranlar Örnekleme Dağılımı |
|
Student-t dağılımı |
|
Ki-Kare |
|
Binom dağılımı |
İki sonuçlu bir ana kütleden n birimlik olası tüm rassal örneklemler seçilerek her örneklem için p oranı hesaplandığında, bu oranlardan oluşan dağılıma oranların örnekleme dağılımı adı verilir .
8.Soru
Normal dağılımlı bir ana kütleden seçilen 100 birimlik bir örneklemin aritmetik ortalaması 62 ve standart sapması 8 olmak üzere %95 güven düzeyinde ana kütle ortalamasının 62'den farklı olup olmadığı test edilecektir. Buna göre aşağıdaki seçeneklerin hangisinde hipotezler doğru olarak verilmiştir?
|
Ho:μ=62 H1:μ≠62 |
|
Ho:μ=62 H1:μ>=62 |
|
Ho:μ=62 H1:μ<=62 |
|
Ho:μ=62 H1:μ<62 |
|
Ho:μ=62 H1:μ>62 |
Anakütle ortalamasının 62'den farklı olup olmadığı test edileceği sıfır hipotezi eşitlik, alternatif hipotez ise eşit olmama şeklindedir. Doğru cevap A'dır.
9.Soru
İlgilenilen sonlu ana kütlenin bütün birimlerine ilişkin bilgilerin sistemli olarak elde edilmesi ve kaydedilmesi sürecine ne ad verilir?
|
Ana kütle birimi |
|
Tam sayım |
|
Örnekleme çerçevesi |
|
Gözlem birimi |
|
Rassal hata |
İlgilenilen sonlu ana kütlenin bütün birimlerine ilişkin bilgilerin sistemli olarak elde edilmesi ve kaydedilmesi sürecine tam sayım denilir.
10.Soru
Sayısal verilerin bilgi sağlayacak şekilde düzenlenmesi, özetlenmesi sunulması yöntemlerini içeren istatistik dalına......., seçilen bir örnek verisine dayalı olarak araştırma konusu topluluk hakkında bilgi sağlamak amacıyla kullanılan yöntemleri içeren istatistik dalına ise...... denir.
Verilen paragrafta noktalı alanlara gelmesi gereken tanımlar aşağıdakilerden hangisinde doğru olarak verilmiştir?
|
İstatistik-Biyometri |
|
Biyoistatistik-Örneklem |
|
Tanımlayıcı İstatistik-Çıkarımsal İstatistik |
|
Örnek Kütle- Ana Kütle |
|
Parametre-İstatistik |
Verilerin toplanması, düzenlenmesi, sunulması, analiz edilmesi ile ilgili konuları içeren istatistik dalına tanımlayıcı istatistik, seçilen bir örnek verisine dayalı olarak
araştırma konusu topluluğa ilişkin bilgi sağlamak amacıyla kullanılan yöntemlerdre ise çıkarımsal istatistik adı verilir. Doğru cevap C'dir.
11.Soru
Bir ana kütleyi temsil etmek üzere ana kütleden rassal olarak elde edilen ana kütlenin küçük bir parçası hangi terim ile ifade edilir?
|
Küçük grup |
|
Deney grubu |
|
Örneklem |
|
Frekans |
|
Varyans |
Örneklem bir ana kütleyi temsil etmek üzere ana kütleden rassal olarak elde edilen ana kütlenin küçük bir parçasıdır. Bu nedenle doğru cevap C şıkkıdır.
12.Soru
A ve B aynı örneklem uzayında iki olaydır. A olayının ortaya çıkma olasılığı 0,7, B olayının ortaya çıkma olasılığı 0,4 ve A veya B olaylarından herhangi birinin ortaya çıkma olasılığı 0,6’dır. Buna göre A ve B olaylarının birlikte ortaya çıkma olasılığı kaçtır?
|
0 |
|
0,3 |
|
0,5 |
|
0,7 |
|
1,1 |
A ve B olaylarının birlikte ortaya çıkma olasılığı [P(AUB)];
P(AUB)=P(A)+P(B)-P(AnB)
P(AUB)=0,7+0,4-0,6
P(AUB)=0,5
olarak hesaplanır. Doğru cevap C'dir.
13.Soru
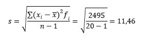
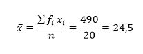
Yukarıda verilen frekans serisinin standart sapması kaçtır?
|
6,72 |
|
8,67 |
|
9,38 |
|
10,33 |
|
11,46 |
Standart sapma değerinin hesaplanması için öncelikle serinin aritmetik ortalamasının bulunması gerekmektedir:
Ortalama hesaplandıktan sonra standart sapma için gerekli diğer hesaplamalar gerçekleştirilebilir:
Doğru cevap E'dir.
14.Soru
Bir hastanedeki acil serviste bulunan yatak sayısı ile hastaların kan basıncı arasındaki ilişkilinin araştırılması istenmektedir. Bu araştırmada hastaların kan basıncı nasıl bir değişken olarak karşımıza çıkmaktadır?
|
Süreksiz değişken |
|
Kesikli değişken |
|
Ordinal değişken |
|
Sürekli değişken |
|
Bağımsız değişken |
Gözlem değerleri belli bir sayı aralığı içerisinde kesirli ondalık sayılar olarak edilebilen nicel değişkenlere sürekli değişken adı verilir.
15.Soru
Eşitlikte medyanı içerdiği düşünülen medyan sınıfının alt limitini ne temsil eder?
|
L |
|
c |
|
fm |
|
n |
|
fk |
L; medyanı içerdiği düşünülen medyan sınıfının alt limitini ifade eder.
16.Soru
Hangi ölçek türünde sıfır (0) değeri gerçek sıfır değerini yani ölçülen özelliğin yokluğunu ifade etmektedir?
|
Oransal |
|
Aralıklı |
|
Sıralayıcı |
|
Sınıflayıcı |
|
Değişken |
Oransal ölçekte sıfır değeri gibi sabit bir başlangıç noktası bulunur ve bu noktanın sabit bir değer olması, ölçümlerin oransal olarak karşılaştırılabilmesine olanak tanır. Örneğin 0 cm’lik bir uzunluk, ölçülen birimin herhangi bir uzunluğu olmadığı anlamına gelmektedir. Kullanılan sıfır değeri gerçek sıfırdır. Yani ölçülen özelliğin yokluğunu ifade etmektedir. Doğru cevap A'dır.
17.Soru
Ana kütledeki tüm birimlerle ana kütleden seçilebilecek tüm örneklemlerin seçilme şanslarının eşit olduğu örnekleme yöntemi aşağıdakilerden hangisidir?
|
Basit rassal örnekleme |
|
Sistematik Örnekleme |
|
Tabakalı Örnekleme |
|
Küme Örneklemesi |
|
Kota Örneklemesi |
Basit Rassal Örnekleme (BRÖ) yönteminin en önemli özelliği hem ana kütlede yer alan tüm birimlerin hem de ana kütleden seçilebilecek tüm örneklemlerin seçilme şanslarının eşit olmasıdır. BRÖ yönteminde seçilebilecek olası örneklem sayısı ise ile verilir.
Araştırmada incelenecek değişkenler bakımından ana kütle birimlerinin homojenlik gösterdiği durumlarda genellikle sistematik örnekleme (SÖ) yöntemi uygulanır. Bu yöntemde öncelikle ana kütlede yer alan her örnekleme birimi için 1’den N’ye kadar birer sıra numarası verilir. N büyüklüğündeki bu ana kütleden n birimlik bir örneklem seçebilmek için ilk k birimden rassal olarak bir birim seçilir. k sayısı; incelenecek ana kütledeki birim sayısının belirlenen örneklem büyüklüğüne bölünmesi sonucu elde edilir.
Tabakalı Örnekleme (TÖ) yönteminin aslı, ana kütlenin araştırmanın konusunu oluşturan bir ya da daha fazla değişken bakımından çeşitli alt gruplara bölünmesi ve her bir alt gruptan ayrı ayrı örneklem çekilmesine dayanır. Buradaki her alt grup, tabaka adını alır. Tabakaları oluşturan birimler kendi içlerinde incelenen değişken yönünden ortak özelliklere sahip olmakla birlikte, diğer tabakalardaki birimlerden belirgin biçimde farklılık göstermelidirler. Ayrıca ana kütlede yer alan tüm birimler tek bir tabakada yer alacak ve hiç bir ana kütle birimi dışarıda kalmayacak biçimde tabakalanmalıdır. Bu durumda, her bir tabaka ayrı ayrı ana kütlelermiş gibi düşünülerek bu tabakalara en uygun örnekleme yöntemi uygulanabilir. Dolayısıyla TÖ, bilinen örnekleme yöntemlerin tabakalara uygulanması olarak ifade edilebilir.
Örnekleme birimlerinin birden çok ana kütle biriminden oluştuğu olasılıksal örneklemeye Küme Örneklemesi (KÖ), her bir örnekleme birimine de bir küme adı verilir. KÖ yönteminde, seçilen kümeler eşit ya da farklı sayıda ana kütle birimi içerebilir. Bu yöntemde ana kütle alt gruplara bölünür ve bu gruplar üzerinden örneklemeye geçilerek örnekleme giren grupların tamamı alınır.
18.Soru
Değişkenlik ölçüleri arasında en sık kullanılanlar hangileridir?
|
Varyans ve mod |
|
Varyans ve standart sapma |
|
Standart sapma ve medyan |
|
Medyan ve mod |
|
Mod ve standart sapma |
Değişkenlik ölçüleri arasında en sık kullanılanlar varyans ve standart sapma'dır. Varyans
ve standart sapma aritmetik ortalama yardımıyla hesaplanırlar.
19.Soru
Bir araştırmanın hipotezlerinden birisi “Kadın lise öğrencileri ile erkek lise öğrencilerinin akademik motivasyon ortalamaları arasında fark yoktur” şeklindedir. Bu hangi tür hipotezdir?
|
Sıfır Hipotezi |
|
Karşıt Hipotez |
|
Alternatif Hipotez |
|
Tek Yönlü Hipotez |
|
Çift Yönlü Hipotez |
Tek bir ana kütle parametresinin belli bir değere eşit olduğunu ya da iki ana kütleye ilişkin parametrelerin birbirine eşit olduğunu ileri süren istatistiksel hipotezlere sıfır (yokluk) hipotezi denir. Doğru cevap A'dır.
-
- 1.SORU ÇÖZÜLMEDİ
- 2.SORU ÇÖZÜLMEDİ
- 3.SORU ÇÖZÜLMEDİ
- 4.SORU ÇÖZÜLMEDİ
- 5.SORU ÇÖZÜLMEDİ
- 6.SORU ÇÖZÜLMEDİ
- 7.SORU ÇÖZÜLMEDİ
- 8.SORU ÇÖZÜLMEDİ
- 9.SORU ÇÖZÜLMEDİ
- 10.SORU ÇÖZÜLMEDİ
- 11.SORU ÇÖZÜLMEDİ
- 12.SORU ÇÖZÜLMEDİ
- 13.SORU ÇÖZÜLMEDİ
- 14.SORU ÇÖZÜLMEDİ
- 15.SORU ÇÖZÜLMEDİ
- 16.SORU ÇÖZÜLMEDİ
- 17.SORU ÇÖZÜLMEDİ
- 18.SORU ÇÖZÜLMEDİ
- 19.SORU ÇÖZÜLMEDİ