Sağlık Alanında İstatistik Ara 6. Deneme Sınavı
Toplam 20 Soru1.Soru
Seçilen bir örnek verisine dayalı olarak araştırma konusu topluluğa ilişkin bilgi sağlamak amacıyla kullanılan yöntemlere verilen ad hangisidir?
|
Veri |
|
Biyoistatistik |
|
Çıkarımsal İstatistik |
|
Değişken |
|
Parametre |
Çıkarımsal istatistik, seçilen bir örnek verisine dayalı olarak araştırma konusu topluluğa ilişkin bilgi sağlamak amacıyla kullanılan yöntemlerdir. Doğru cevap C'dir.
2.Soru
“Bir spor karşılaşmasından elde edilen veriler küçükten büyüğe doğru sıralandığında alt ve üst limitlerde uç değerler bulunduğu saptanmıştır. Bu değerlerin aritmetik ortalama hesaplanırken olumsuz etkiler oluşturduğu belirlenmiştir.” Yukarıdaki durumla karşılaşan araştırmacının kullanacağı en uygun ortalama türü aşağıdakilerden hangisidir?
|
Kırpılmış ortalama |
|
Geometrik ortalama |
|
Logaritmik ortalama |
|
Mod |
|
Medyan |
Bazı durumlarda küçükten büyüğe sıralanmış bir serinin alt ve üst limitlerinde bazı uç değerler yer alabilir. Bu uç değerler aykırı değerler olarak adlandırılır. Aykırı değerler özellikle aritmetik ortalama üzerinde olumsuz etkiler yaratarak, aritmetik ortalamanın seriyi temsiliyet gücünü azaltır. Serinin alt ve üst limitlerinde serinin genel yapısına uymayan aykırı değerlerin bulunması durumunda kullanılabilecek bir ortalama türü de kırpılmış ortalamadır. Doğru yanıt A'dır.
3.Soru
Ölçme yoluyla elde edilen ve sayısal olarak gösterilebilen veriler aşağıdakilerden hangisi ile adlandırılır?
|
Sıralayıcı veri |
|
Kesikli veri |
|
Nitel veri |
|
Kategorik veri |
|
Nicel veri |
Ölçme yoluyla elde edilen ve sayısal olarak gösterilebilen veriler nicel veri olarak adlandırılır. Doğru cevap E'dir.
4.Soru
Bir ana kütleden belli yöntemlerle örneklem seçilmesi ve bu örneklemin incelenmesi sonucu elde edilen istatistiklerin genellenmesi ile oluşan sürece ne ad verilir?
|
Hipotez testi |
|
Tamsayım |
|
Ana kütle |
|
Hata |
|
Örnekleme |
İncelenen özellikleri yönünden genellemeler yapılması istenen bir ana kütleden, belli yöntemlerle örneklemin seçilmesi ve bu örneklemin incelenmesi sonucunda hesaplanan istatistiklerin genelleme amacıyla kullanılması işlemlerinden oluşan sürece örnekleme adı verilir.
5.Soru
Aralık tahminlemesi yöntemi ile ana kütle parametresinin içerisinde yer alabileceği bir aralık belirlenir. Bu değerler aralığına ne ad verilir?
|
Güven aralığı |
|
Güven düzeyi |
|
Saptanan aralık düzeyi |
|
Aralık |
|
Rassal aralık |
Ana kütledeki tüm birimleri incelemenin mümkün olmadığı araştırmalarda ana kütle parametresi hesaplanamadığından, örneklem bilgilerinden yararlanarak ana kütle parametrelerinin içinde yer aldığı aralık değerleri belli olasılık düzeylerinde tahmin edilebilir. Aralık tahminlemesi yöntemi ile ana kütle parametresinin içerisinde yer alabileceği bir aralık belirlenir. Bu değerler aralığına ana kütle parametresinin güven aralığı adı verilir. Dolayısıyla ana kütle parametresinin tahmininde parametrenin hangi aralıkta yer alacağı hesaplanmış olur.
6.Soru
Deney ve araştırma sonucunda elde edilen ve ilgilenilen değişkenin herhangi bir özelliğine göre sıralanmış veri kümesine ne ad verilir?
|
Veri seti |
|
Bileşik seri |
|
Basit seri |
|
Değişken |
|
Frekans serisi |
Deney ve araştırma sonucunda elde edilen ve ilgilenilen değişkenin herhangi bir özelliğine göre sıralanmış veri kümesine basit seri adı verilir.
7.Soru
- İstatistiksel kararın verilmesi
- Anlam düzeyinin seçilmesi
- Gerekli test istatistiğinin hesaplanması
- Red bölgesinin belirlenmesi
- Hipotezlerin kurulması
- Kritik değerin bulunması
İstatistiksel hipotez testi sürecinde izlenmesi gereken temel adımlar hangi sırada doğru şekilde verilmiştir?
|
I-II-III-IV-V-VI |
|
I-II-V-III-IV-VI |
|
V-I-III-II-IV-VI |
|
V-II-IV-III-VI-I |
|
V-II-IV-VI-III-I |
İstatistiksel hipotez testi sürecinde izlenmesi gereken temel adımlar; 1-) Hipotezlerin kurulması 2-) Anlam düzeyinin seçilmesi 3-) Red bölgesinin belirlenmesi 4-) Kritik değerin bulunması 5-) Gerekli test istatistiğinin hesaplanması 6-) İstatistiksel kararın verilmesi şeklindedir. Doğru cevap E'dir.
8.Soru
Güneş Hastanesine 2017 yılında depresyon sebebiyle başvuran hastaların incelenmesinin söz konusu olduğu bir araştırmada birim aşağıdakilerden hangisidir?
|
Depresyon |
|
2017 yılı |
|
Güneş Hastanesi |
|
Hastalardan her biri |
|
Başvuru yapmak |
İstatistikte birim; canlı bir varlık, bir nesne, bir olay veya olgu olarak karşımıza çıkabilir.
9.Soru
Türkiye İstatistik Kurumunun yayınlamış olduğu Sağlık Bakanlığı kaynaklı verilere göre, Türkiye’de 1971 yılından 2013 yılına kadar “Hekim Başına Düşen Kişi Sayısı” ve “Hemşire Başına Düşen Kişi Sayısı” değişkenleri arasındaki ilişki hangi grafik türüyle gösterilebilir?
|
Saçılım grafiği |
|
Sütun grafiği |
|
Dal-yaprak grafiği |
|
Histogram |
|
Çizgi grafiği |
Türkiye İstatistik Kurumunun yayınlamış olduğu Sağlık Bakanlığı kaynaklı verilere göre, Türkiye’de 1971 yılından 2013 yılına kadar “Hekim Başına Düşen Kişi Sayısı” ve “Hemşire Başına Düşen Kişi Sayısı” değişkenleri arasındaki ilişki saçılım grafiği ile gösterilebilir. Doğru cevap A'dır.
10.Soru
Türkiye İstatistik Kurumu 2012 yılı istatistiklerine göre 15-24 yaş grubunda yer alan genç erkeklerin boy ortalamaları kaçtır?
|
173.5 |
|
174.5 |
|
175.5 |
|
176.5 |
|
177.5 |
Türkiye İstatistik Kurumu 2012 yılı istatistiklerine göre 15-24 yaş grubunda yer alan genç erkeklerin boy ortalamaları 173.5'tir. Doğru cevap A'dır.
11.Soru
Küçük bir sınıfta yaşları 12, 13, 14 ve 15 olan öğrenciler bulunmaktadır. Sınıf öğretmeni öğrencilerin yaşlarının toplamını alıp öğrenci sayısına bölmüştür. Öğretmen öğrenciler ile ilgili hangi bulguya ulaşmak istemektedir?
|
Yaş dağılımı |
|
Aritmetik ortalama |
|
Yaş ranjı |
|
Yaş aralığı |
|
Ortanca değeri |
Aritmetik ortalama ilgili seride yer alan tüm terim değerlerinin matematiksel toplamının seri terim sayısına bölünmesi ile aritmetik ortalama hesaplanmaktadır.
12.Soru
Aşağıda verilen gruplanmış frekans serisi için ana kütle aritmetik ortalaması μ’yü hesaplayınız.Yükseklik (mm); 0-40 Frekans; 2, Yükseklik; 40-80 Frekans; 5, Yükseklik; 80-120 Frekans; 12, Yükseklik; 120-160 Frekans; 6, Yükseklik; 160-200 Frekans; 2, Toplam; 27
|
101.456 |
|
102.567 |
|
101.567 |
|
102.482 |
|
101.481 |
Yükseklik (mm) Frekans Orta Değer Frekans x Sınıf Orta Değeri (fi xi)
0 - 40 2 20 2 x 20 = 40
40 - 80 5 60 5 x 60 = 300
80 - 120 12 100 12 x 100 = 1200
120 - 160 6 140 6 x 140 = 840
160 - 200 2 180 2 x 180 = 360
Toplam 27 ∑ fixi = 2740
μ= 2740/27 = 101.481'dir.
13.Soru
Ana kütlenin araştırmanın konusunu oluşturan bir ya da daha fazla değişken bakımından çeşitli alt gruplara bölünmesi ve her bir alt gruptan ayrı ayrı örneklem çekilmesine dayanan örnekleme yöntemi aşağıdakilerden hangisidir?
|
Basit rassal örnekleme |
|
Sistematik örnekleme |
|
Küme örneklemesi |
|
Olasılıksal olmayan örnekleme |
|
Tabakalı örnekleme |
Tabakalı Örnekleme yönteminin aslı, ana kütlenin araştırmanın konusunu oluşturan bir ya da daha fazla değişken bakımından çeşitli alt gruplara bölünmesi ve her bir alt gruptan ayrı ayrı örneklem çekilmesine dayanır. Buradaki her alt grup, tabaka adını alır.
14.Soru
Aşağıdakilerden hangisi bir sayma kuralıdır?
|
Olasılık |
|
Permütasyon |
|
Faktöriyel |
|
Bayes teoremi |
|
Bernoulli deneyi |
3 adet sayma kuralı vardır: Saymanın temel ilkesi, kombinasyon ve permütasyon. Doğru cevap B'dir.
15.Soru
N sayıda nesne arasından n adet nesnenin seçim sırası önemli olduğunda kaç farklı biçimde seçilebileceği hangi hesaplama yöntemi ile belirlenebilir?
|
Kombinasyon |
|
Sayma |
|
Permütasyon |
|
İhtimal |
|
Deney |
N sayıda nesne arasından n adet nesnenin seçim sırası önemli olduğunda kaç farklı biçimde seçilebileceği permütasyon yöntemi ile belirlenebilir. Bu nedenle doğru cevap C şıkkıdır.
16.Soru
Aşağıdakilerden hangisi istatistiksel hipotez testi sürecinde izlenmesi gereken temel adımlardan biri değildir?
|
Red bölgesinin belirlenmesi |
|
Kritik değerin bulunması |
|
Örneklem seçme yoluna gidilmesi |
|
Gerekli test istatistiğinin hesaplanması |
|
İstatistiksel kararın verilmesi |
İstatistiksel hipotez testi sürecinde izlenmesi gereken temel adımlar;
1-) Hipotezlerin kurulması
2-) Anlam düzeyinin seçilmesi
3-) Red bölgesinin belirlenmesi
4-) Kritik değerin bulunması
5-) Gerekli test istatistiğinin hesaplanması
6-) İstatistiksel kararın verilmesi şeklindedir.
17.Soru
Ölçme düzeyleri ile ilgili aşağıdaki ifadelerden hangisi yanlıştır?
|
Sürekli veriler, eşit aralıklı ölçekler veya oransal ölçekler ile ölçülür. |
|
İstatistiksel analiz tekniğine karar verirken ölçme düzeyi belirleyicidir. |
|
Kullanılacak ölçek türü, ölçülen değişkenin mutlak özelliğe göre seçilir. |
|
Yüksek seviyeli bir ölçek, kendisinden daha düşük seviyeli bir ölçeğe dönüştürebilir. |
|
Sınıflayıcı ve sıralayıcı ölçekler nitel verileri ölçmek için kullanılır. |
Sınıflayıcı ölçek, sıralayıcı ölçek, eşit aralıklı ölçek ve oransal ölçek olmak üzere dört farklı ölçek türü bulunur. Bu ölçek türleri üç tip veri ölçer. Sınıflayıcı ölçek, isimsel verileri; sıralayıcı ölçek, sıralı verileri; eşit aralıklı veya oransal ölçekler, sürekli verileri ölçer. Bundan ötürü, A şıkkındaki ifade doğrudur. Verilerin içerdiği bilgi miktarı belirlenirken ve eldeki verilere en uygun veri özetleme ya da istatistiksel analiz tekniğine karar verilirken ölçme düzeyinden yararlanılır. Bu nedenle, B şıkkında yer alan ifade de doğrudur. Kullanılan ölçek, ölçülen özelliğin kendisinden daha çok, ölçüm yöntemine ya da bunun kullanımına bağlıdır. Başka bir ifadeyle, aynı değişken farklı ölçeklerle ölçülebilir. Örneğin, “yaş” değişkeni yıl cinsinden ölçüldüğünde kullanılan ölçek oransal ölçektir. Aynı değişken “genç”, “orta yaşlı” ve “yaşlı” kategorilerine ayrıldığında ise, kullanılan ölçek sıralayıcı ölçek olacaktır. Bir de özellikle, demografide sıklıkla kullanılan ekonomik olarak üretkenliğe göre bir sınıflama yapılacaksa üretken yaş (15 – 64 arası) ve bağımlı yaş (15 altı ve 64 üstü) grupları sınıflayıcı ölçek ile ölçülmüş olacaktır. Dolayısıyla, C şıkkındaki ifade yanlıştır. “Yaş” değişkeni örneğinde, oransal bir ölçeğin sıralayıcı ve sınıflayıcı ölçeklere dönüştürülebildiğini gördük. Sonuç olarak, D şıkkındaki ifade doğrudur. Sınıflayıcı ve sıralayıcı ölçekler nitel verileri ölçmek için kullanılırken, eşit aralıklı ve oransal ölçekler nicel verileri ölçmek için kullanılır. E şıkkındaki ifade de doğrudur.
18.Soru
İki-yönlü frekans tablosu olarak da bilinen tablonun diğer adı aşağıdakilerden hangisidir?
|
Çizgi Grafiği |
|
Kontenjans Tablosu |
|
Kümülatif Frekans Serisi |
|
Sütun Grafiği |
|
Histogram |
Eğer incelenmesi gereken iki değişken bulunuyorsa bu iki değişkenin birlikte değişiminin tek bir tabloda gösterilmesi amacıyla değişkenlerden birinin farklı düzeylerinin tablonun satırlarına, diğerininkilerin de tablonun sütunlarına yerleştirilmesi yoluyla oluşturulan tablo türüne kontenjans tablosu ya da iki-yönlü frekans tablosu adı verilir.
19.Soru
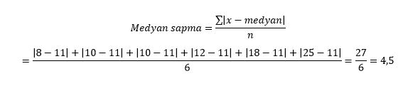
Bir seriye ait gözlem değerleri şöyledir:
8, 10, 10, 12, 18, 25
Bu serinin medyan sapma değeri kaçtır?
|
2,25 |
|
4,5 |
|
5,25 |
|
6,33 |
|
6,67 |
Medyan sapma değerinin bulunması için öncelikle serinin medyan değerinin bulunması gereklidir. Seri küçükten büyüğe doğru sıralandığında en ortada kalan iki değer 10 ve 12'dir. Bu iki değerin ortalamasını alırsak ((10+12)/2) serinin medyanı 11 olarak elde edilir.
Buna göre medyan sapma değeri aşağıdaki gibi hesaplanır:
Doğru cevap B'dir.
20.Soru
Aşağıdakilerden hangisi hipotez testinin adımlarından değildir?
|
Red Bölgesinin Belirlenmesi |
|
Anlam Düzeyinin Seçilmesi |
|
Hipotezlerin Kurulması |
|
Kritik Değerin Bulunması |
|
İstatiksel kararsızlığa düşülmesi |
Hipotez testinin 6. adımı "İstatistiksel Kararın Verilmesi"dir. Dolayısıyla kararsızlık söz konusu değildir.
-
- 1.SORU ÇÖZÜLMEDİ
- 2.SORU ÇÖZÜLMEDİ
- 3.SORU ÇÖZÜLMEDİ
- 4.SORU ÇÖZÜLMEDİ
- 5.SORU ÇÖZÜLMEDİ
- 6.SORU ÇÖZÜLMEDİ
- 7.SORU ÇÖZÜLMEDİ
- 8.SORU ÇÖZÜLMEDİ
- 9.SORU ÇÖZÜLMEDİ
- 10.SORU ÇÖZÜLMEDİ
- 11.SORU ÇÖZÜLMEDİ
- 12.SORU ÇÖZÜLMEDİ
- 13.SORU ÇÖZÜLMEDİ
- 14.SORU ÇÖZÜLMEDİ
- 15.SORU ÇÖZÜLMEDİ
- 16.SORU ÇÖZÜLMEDİ
- 17.SORU ÇÖZÜLMEDİ
- 18.SORU ÇÖZÜLMEDİ
- 19.SORU ÇÖZÜLMEDİ
- 20.SORU ÇÖZÜLMEDİ