Sağlık Alanında İstatistik Final 4. Deneme Sınavı
Toplam 20 Soru1.Soru
Bir bağımlı ve birden daha fazla bağımsız değişkenin bulunduğu durumlarda hangi tip regresyon analizi yapılır?
|
Örneklem regresyon doğrusunun anlamlılık testi |
|
Tahminin standart hatası |
|
Pearson korelasyon katsayısının anlamlılık testi |
|
Basit doğrusal regresyon analizi |
|
Çoklu doğrusal regresyon analizi |
Bağımlı değişkenin daha iyi tahmin edilmesi ya da açıklanabilmesi için birden daha fazla bağımsız değişken tanımlanabilir. Bir bağımlı ve birden daha fazla bağımsız değişkenin bulunduğu regresyon analizi problemlerine çoklu regresyon analizi adı verilir. n adet gözleme sahip bir veri setinde y bağımlı değişken ve k adet bağımsız değişken olmak üzere gözlem birimleri için ölçüm sonuçları yer alabilir.
2.Soru
Bir araştırma grubu dört farklı çalışma yürüterek her bir çalışma için değişkenler arasındaki pearson korelasyon katsayısını hesaplamışlardır. Buna göre hesaplanan korelasyon katsayıları A çalışması için -0,27; B çalışması için -0, 48; C çalışması için 0,39 ve D çalışması için 0,53 olarak bulunmuştur. Aşağıdakilerden hangisi Bağımsız değişkenin bağımlı değişkendeki değişimi sırasıyla en az ve en çok açıklayan çalışmalardır?
|
A çalışması ve B çalışması |
|
B çalışması ve D çalışması |
|
C çalışması ve A çalışması |
|
A çalışması ve D çalışması |
|
D çalışması ve C çalışması |
Bağımlı değişken y’de ortaya çıkan toplam değişkenliğin, x bağımsız
değişkenin değişkenliği tarafından açıklanan kısmını oransal olarak
tespit etmek için belirlilik katsayısı hesaplanır. Buna göre belirlilik katsayısı Pearson korelasyon katsayısının karesi olarak hesaplanmaktadır. çıkan sonuçlar 1'e yaklaştıkça Bağımsız değişkenin bağımlı değişkendeki değişimi açıklama değeri de yükselecektir.
3.Soru
Bir bağımlı ve birden daha fazla bağımsız değişkenin bulunduğu regresyon analizi problemlerine ne ad verilir?
|
Çapraz regresyon analizi |
|
Doğrusal analiz |
|
Piramid endeksi |
|
Regresyon analizi |
|
Çoklu doğrusal regresyon analizi |
Bağımlı değişkenin daha iyi tahmin edilmesi ya da açıklanabilmesi için birden daha fazla
bağımsız değişken tanımlanabilir. Bir bağımlı ve birden daha fazla bağımsız değişkenin
bulunduğu regresyon analizi problemlerine çoklu regresyon analizi adı verilir. Bu ünite de çoklu doğrusal regresyon analizi detaya inilmeden genel hatları ile incelenecektir
4.Soru
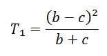
Aşağıda yer alan eşitlik hangi testin yürütülmesi için hesaplanacak olan test istatistiğinde kullanılır?
|
McNEMAR TESTİ |
|
WILCOXON TESTİ |
|
KRUSKALL-WALLIS H TESTİ |
|
MANN-WHITNEY U TESTİ |
|
n>25 İçin BİNOM TESTİ |
Verilen formül McNemar testinin yürütülmesi için hesaplanacak olan test istatistiğidir. Doğru cevap A'dır.
5.Soru
Değişkenler arasındaki ilişkinin incelenmesine ne ad verilir?
|
Regresyon analizi |
|
Değişken analizi |
|
Değişkenleri saptama |
|
Korelasyon analizi |
|
Pearson |
Korelasyon analizi en genel tanımı ile değişkenler arasındaki ilişkinin incelenmesidir. Değişkenler arasında var olabilecek ilişkinin derecesinin tespit edilebilmesi amacı ile çeşitli teknikler kullanılabilir.
6.Soru
Elde edilen birbirinden bağımsız iki rassal örneklemin aynı ana kütleden çekilmiş örneklemler olup olmadıklarının testinde aşağıdakilerden hangisi kullanılır?
|
Ki-Kare |
|
Kolmogorov-Smirnov |
|
Mann-Whitney U |
|
İşaret |
|
Binom |
Elde edilen birbirinden bağımsız iki rassal örneklemin aynı ana kütleden çekilmiş örneklemler olup olmadıklarının testinde Mann-Whitney U testi kullanılır. Test için oluşturulacak sıfır hipotezi “iki ana kütlenin birbiri ile aynı olduğu”, yani elde edilen iki örneklemin ayrı ayrı ana kütlelerden değil tek bir ana kütleden elde edildiği yönündedir. Doğru cevap C'dir.
7.Soru
Aşağıdakilerden hangisi kalkınmakta olan ülkelerin nüfus yapısını göstermektedir?
|
Yaşlı nüfus |
|
Genç nüfus |
|
Orta yaşlı nüfus |
|
Çok yaşlı nüfus |
|
Çok genç Nüfus |
0-14 yaş nüfusu tüm topluma oranlandığında %30-40, 15-64 yaş nüfusu %50-60, 65+ yaş nüfusu ise %5-9 oranlarında yoğunluğa sahip olan bölgelere orta yaşlı nüfus adı verilir. Kalkınmakta olan ülkelerin nüfus yapıları bu formdadır. Doğru cevap C'dir.
8.Soru
Bir araştırmacı kanser tedavisinde nelerin daha faydalı olduğunu tahmin edebilmek için bir çalışma yapmaktadır. Bu çalışmada kanser tedavisinde ilaç kullanımı, ışın tedavisi, psikolojik sağlık gibi değişkenlerin etkilerini ortaya koymayı amaçlamaktadır. Bu durumda araştırmacının kanser tedavisi üzerinde etkileri olabilecek değişkenleri daha iyi tahmin edebilmesi için hangi analizi kullanması gerekmektedir?
|
Basit doğrusal regresyon analizi |
|
Korelasyon analizi |
|
T-testi |
|
Wilcoxon testi |
|
Çoklu doğrusal regresyon analizi |
Bağımlı değişkenin daha iyi tahmin edilmesi ya da açıklanabilmesi için birden daha fazla bağımsız değişken tanımlanabilir. Bir bağımlı ve birden daha fazla bağımsız değişkeni bulunduğu regresyon analizi problemlerine çoklu regresyon analizi adı verilir. Soru kalıbı incelendiğinde kanser tedavisi bağımlı değişken iken ilaç tedavisi, ışın tedavisi ve psikolojik durum ise bağımsız değişkenlerdir. Bu durumda bağımsız değişkenlerin birden fazla olduğu görülmektedir.
9.Soru
Bir yıl içinde bir bölgede içe olan göç sayısı ile dışa olan göç sayısının toplamının o bölge yıl ortası nüfusuna bölünmesiyle ortaya çıkan oran aşağıdakilerden hangisidir?
|
Genel göç hızı |
|
İç göç hızı |
|
İçe göç hızı |
|
Dışa göç hızı |
|
Net göç hızı |
Genel göç hızı: Bir yıl içinde bir bölgede içe olan göç sayısı ile dışa olan göç sayısının toplamının o bölge yıl ortası nüfusuna bölünmesiyle bulunur. Her 1.000 kişide, kaç kişinin bölge içine geldiğini ve bölge dışına gittiğini gösterir.
10.Soru
Bir araştırmada bağımlı değişkenin aldığı değerler 3,4,2,5,2 ve bağımsız değişkenin aldığı değerler 1,4,3,2,5 biçimindedir. Bu iki değişken arasındaki korelasyon katsayısı aşağıdakilerden hangisidir?
|
0,36 |
|
-0,25 |
|
0,42 |
|
-0,36 |
|
-0,42 |
Verilen değerlere göre bağımlı ve bağımsız değişkenler arasındaki korelasyon katsayısı -0,36'dır.
11.Soru
Evli kadınlara özel doğurganlık hızı hesaplanırken hangi yaş grubu ele alınır?
|
18-50 |
|
15-49 |
|
18-35 |
|
15-40 |
|
18-55 |
Belirli bir yıl içinde olan canlı doğum sayısının 15-49 yaş grubu evli kadın yıl ortası nüfusuna bölünmesiyle evli kadınlara özel doğurganlık hızı bulunur.
12.Soru
Spearman Sıra Korelasyon Katsayısı hangi aralıktadır?
|
-2,+2 |
|
-1,+2 |
|
-3,+3 |
|
-2,+3 |
|
-1,+1 |
Spearman Sıra Korelasyon Katsayısı -1,+1 aralığındadır. Doğru cevap E'dir.
13.Soru
- Belirli aralıklarla, doktor, yardımcı sağlık personeli, hasta ve hasta yakınlarının bilgi, tutum ve davranışlarını araştırarak sağlık hizmetlerinin en iyi şekilde yürütülmesini sağlamak
- Yapılacak olan bilimsel çalışmalara en doğru bilgiyi sağlamak, bu çalışmalara yol göstermek
- Sürekli eğitim kapsamında sağlık çalışanlarının bilgilerini güncellemelerini sağlamak
- Sağlık çalışanlarının kendi alanlarında yayınlanan güncel bilimsel çalışmaları değerlendirebilmesini sağlamak
Yukarıda verilenlerden hangisi ya da hangileri sağlık alanında kullanılan istatistiksel yöntemlerin temel amaçları arasında yer almaktadır?
|
I-II-III |
|
I-II-III-IV |
|
II-III-IV |
|
I-II-IV |
|
I-III-IV |
Sağlık alanında kullanılan istatistiksel yöntemlerin temel amaçları aşağıdaki şekilde sıralanabilir.
• Belirli bir bölgenin kısa, orta ve uzun vadede sağlıkla ilgili hizmet planlamasını yapmak,
• Sağlık hizmeti verilen kurumlardaki tedavi hizmetlerinin aksamamasını sağlamak, doktor ve personel sayısını düzenlemek,
• Sağlık sunumunda kullanılan makine, teçhizat talebini karşılamak, etkin biçimde kullanımını ve sürekliliğini sağlamak (personel, sarf malzemeler, kitler, bakım anlaşmaları, teknik destek vd.),
• Sağlık kurumlarındaki hastaların bakım ve tedavi hizmetlerinin sürekliliğini sağlamak, toplum dinamiklerine göre yeniden düzenlemek ve değerlendirmek,
• Sağlık kurumlarında verilen hizmetin kalitesini arttırmak, tedavi hizmeti sunum mekanlarını günün koşullarına uygun hâle getirmek,
• Belirli aralıklarla, doktor, yardımcı sağlık personeli, hasta ve hasta yakınlarının bilgi, tutum ve davranışlarını araştırarak sağlık hizmetlerinin en iyi şekilde yürütülmesini sağlamak,
• Yapılacak olan bilimsel çalışmalara en doğru bilgiyi sağlamak, bu çalışmalara yol göstermek,
• Sürekli eğitim kapsamında sağlık çalışanlarının bilgilerini güncellemelerini sağlamak,
• Sağlık çalışanlarının kendi alanlarında yayınlanan güncel bilimsel çalışmaları değerlendirebilmesini sağlamaktır.
Doğru cevap B'dir.
14.Soru
Sayım anında bireylerin bulundukları bölge içerisinde sayılmasına ne ad verilir?
|
De facto |
|
De juro |
|
De monte |
|
De cero |
|
De marke |
De facto, sayım anında bireylerin bulundukları bölge içerisinde sayılmasıdır.
15.Soru
Bazı problemlerde üzerinde çalışılan sistem üzerinde değişiklikler gerçekleştirilebilir. Test için derlenen veriler 2x2’lik kontenjans tablolarında sunulur. Birimlerin değişim öncesi ve sonrasında nasıl etkilendiklerini göstermek amacıyla aşağıda yer alan hangi test kullanılmaktadır?
|
T-testi |
|
kruskall-Wallis H tesi |
|
McNemar testi |
|
Mann-Whitney U testi |
|
Tek yönlü varyans analizi |
Bazı problemlerde üzerinde çalışılan sistem üzerinde değişiklikler gerçekleştirilebilir. Birimlerin değişim öncesi ve sonrasında nasıl etkilendiklerini göstermek amacı ile McNemar testi uygulanır. Önce (+ veya olumlu) olguya sahip iken sonra (- veya olumsuz) olguya sahip olan birimlerin ya da bunun tersi durumda meydana gelen değişimin istatistiksel olarak anlamlı bir farklılık olup olmadığını göstermek amacı ile bu test kullanılır. Test için derlenen veriler 2x2’lik kontenjans tablolarında sunulur. Araştırmada yer alan 2 adet değişken vardır.
16.Soru
Olası gözlemlerden yalnızca birinin gerçekleşmesi ile sonuçlanan sürece ne ad verilir?
|
Deney |
|
Sonuç |
|
Olay |
|
Olasılık |
|
Örneklem uzayı |
Olası gözlemlerden yalnızca birinin gerçekleşmesi ile sonuçlanan sürece deney adı verilir. Doğru cevap A'dır.
17.Soru
İnsidans hızının tanımı aşağıdakilerin hangisinde doğru olarak verilmiştir?
|
Belirli bir hastalıktan ölenlerin toplamıdır. |
|
İncelenen süreden önce başlayan (çalışmanın başladığı tarihten önce) ve incelenen süre içerisinde yeni ortaya çıkan hastaların toplamını kullanan bir istatistiktir. |
|
İncelenen zaman aralığı içerisinde yeni gözlenen hasta sayısının risk altındaki nüfusa bölünmesiyle elde edilen, yeni olgu gözlenme hızıdır. |
|
Belirli bir hastalıktan ölenlerin o hastalığa yakalananların sayısına oranlanması ile elde |
|
Belirli bir hastalıkla uzun yıllar yaşayan hastaların direncini ölçen formüldür. |
İnsidans hızı; incelenen zaman aralığı içerisinde yeni gözlenen hasta sayısının risk altındaki nüfusa bölünmesiyle elde edilen, yeni olgu gözlenme hızıdır. Daha çok akut, sosyal ve bulaşıcı hastalıkların değerlendirilmesinde kullanılmaktadır.
18.Soru
Doğurgan çağda olan kadın nüfusun yaş yapısını dikkate almadan, doğurganlık düzeyi hakkında bilgi veren istatistiğe ne ad verilir?
|
Toplam doğurganlık hızı |
|
Kaba doğum hızı |
|
Doğum hızı |
|
YÖDH |
|
EKÖDH |
Toplam doğurganlık hızı, doğurgan çağda olan kadın nüfusun yaş yapısını dikkate almadan, doğurganlık düzeyi hakkında bilgi veren bir istatistiktir. Doğurgan çağa giren bir kadının doğurganlık çağı sonuna kadar ortalama kaç canlı doğum yapacağını ifade eder.
19.Soru
Yaş ve kolestrol düzeyindeki ilişki ele alındığında;
I- Bağımlı değişken yaş değişkenidir.
II- Bağımsız değişken kolestrol değişkenidir.
III- Bağımsız değişken kişinin cinsiyetidir.
IV-Bağımlı değişken kolestrol değişkenidir.
verilen ifadelerden hangisi veya hangileri doğrudur?
|
Yanlız I |
|
II-II |
|
Yanlız IV |
|
Yanlız III |
|
III-IV |
Bağımlı değişken araştırmacının üzerinde çalıştığı değişken olup bu değişken üzerinde meydana gelen değişimler ya da bu değişkenin toplam değişkenliğinin açıklanılmasına çalışılan değişkendir. Kolestrol düzeyi yaşa bağlı olarak değişmektedir. Doğru cevap C'dir.
20.Soru
Kolmogorov-Smirnov hangi istatistik eşitliği yardımıyla hesaplanır?
|
A |
|
B |
|
C |
|
D |
|
E |
Kolmogorov-Smirnov D istatistik eşitliği yardımıyla hesaplanır. Doğru cevap D'dir.
-
- 1.SORU ÇÖZÜLMEDİ
- 2.SORU ÇÖZÜLMEDİ
- 3.SORU ÇÖZÜLMEDİ
- 4.SORU ÇÖZÜLMEDİ
- 5.SORU ÇÖZÜLMEDİ
- 6.SORU ÇÖZÜLMEDİ
- 7.SORU ÇÖZÜLMEDİ
- 8.SORU ÇÖZÜLMEDİ
- 9.SORU ÇÖZÜLMEDİ
- 10.SORU ÇÖZÜLMEDİ
- 11.SORU ÇÖZÜLMEDİ
- 12.SORU ÇÖZÜLMEDİ
- 13.SORU ÇÖZÜLMEDİ
- 14.SORU ÇÖZÜLMEDİ
- 15.SORU ÇÖZÜLMEDİ
- 16.SORU ÇÖZÜLMEDİ
- 17.SORU ÇÖZÜLMEDİ
- 18.SORU ÇÖZÜLMEDİ
- 19.SORU ÇÖZÜLMEDİ
- 20.SORU ÇÖZÜLMEDİ