Sanayide Enerji Ekonomisi Final 8. Deneme Sınavı
Toplam 20 Soru1.Soru
Aşağıdakilerden hangisi, doğal gaz içinde bulunan yanıcı moleküllerden birisi değildir?
|
Metan |
|
Etan |
|
Oktan |
|
Bütan |
|
Propan |
Metan, Etan, Propan ve Bütan, ilk 4 C-H zincirini oluşturur ve gaz formunda bulunurlar. Daha uzun C-H zincirleri uçucu değildir ve sıvı formunda bulunurlar. Örneğin Oktan C8H18’dir ve doğal gaz içinde bulunmaz.
2.Soru
Sankey diyagramının kullanım amacı nedir?
|
Sistemde depolanan enerjiyi gösterir.
|
|
Bir sistemin enerji dengesini ifade eder.
|
|
Bir sisteme enerji giriş çıkışı ileenerji miktarlarını gösterir.
|
|
Sistemin ekolojik analizini yapar.
|
|
Sistemin maliyet analizini yapar.
|
3.Soru
Yukarıda kombine çevrim sisteminin akış şeması verilmiştir. Bu akış şemasında soru işareti ile gösterilen yere aşağıdakilerden hangisi gelmelidir?
|
JENERATÖR |
|
KAZAN |
|
BUHAR TÜBİNİ |
|
POMPA |
|
SU |
4.Soru
Bir ısı pompasının verimliliği aşağıdakilerden hangisiyle belirlenir?
|
Kompresöre verilen ısı miktarı/Odaya verilen ısı miktarı |
|
Odaya verilen ısı miktarı/Kompresöre verilen enerji miktarı |
|
Odaya verilen ısı miktarı-Kompresöre verilen enerji miktarı |
|
Kompresöre verilen enerji miktarı-Odaya verilen ısı miktarı |
|
Odaya verilen ısı miktarı*Kompresöre verilen ısı miktarı |
Bir ısı pompasının verimliliği veya performans katsayısı, odaya verilen ısı miktarı / kompresöre verilen enerji miktarı ile belirlenir. Doğru cevap B'dir.
5.Soru
Birleşik ısı ve güç tesisinde kullanılan gaz türbinli motorun verimi aşağıdakilerden hangisine bağlı değildir?
|
Basınç oranı
|
|
Atık ısı kazanına
|
|
Çevre havanın sıcaklığına
|
|
Türbin verimine
|
|
Kompresör verimine
|
6.Soru
Aşağıdakilerden hangisi, kojenerasyona olan ilginin günümüzde artmasına neden olan faktörlerden birisi değildir?
|
Enerji fiyatlarının düşmesi |
|
Hızlı işletme kurulumu |
|
Elektrik ihtiyacının hızla artması |
|
Ek üretim kapasitesinin uluslararası otoritelerce finanse edilmesi |
|
Çevre kirliliğinde sınırlandırmalar. |
Seçenekler arasından "Hızlı işletme kurulumu" ile "Çevre kirliliğinde sınırlandırmalar." arasındaki tüm ifadeler, enerjinin tüm formları ile verimli üretimini zorlayan etkilerdir, ve kojenerasyona ilgi duyulmasına neden olur. Enerji fiyatlarının düşmesi ise, tam tersine, bu ilgiyi azaltıcı bir faktör olur.
7.Soru
Aşağıdaki seçeneklerden hangisinde basınçlı havanın kullanılma amacı ve işlevi doğru verilmiştir?
|
Temizleme – Tezgâh temizliği, talaş, toz vs. temizliği |
|
Ayırma – Basınçlı hava ile madde aktarımı |
|
Transfer – Konveyörler üzerindeki hatalı ürünlerin üfleme ile atılması |
|
Kurutma – Plastik, çelik ve birçok üretimde sıcak malzemenin basınçlı hava ile ısısının düşürülmesi |
|
Soğutma – Nem giderme vb. işlevler için ürünlerin kurutulması |
Temizleme – Tezgâh temizliği, talaş, toz vs. temizliği
Ayırma – Konveyörler üzerindeki hatalı ürünlerin üfleme ile atılması
Transfer – Basınçlı hava ile madde transferi
Kurutma – Nem giderme vb. işlemler için ürünlerin kurutulması
Soğutma – Plastik, çelik ve birçok üretimde sıcak malzemenin basınçlı hava ile soğutulması
8.Soru
DIN2403’e göre buhar hatlarındaki boruların rengi ne olmalıdır?
|
Gri
|
|
Yeşil
|
|
Kırmızı
|
|
Sarı
|
|
Kahverengi
|
9.Soru
Yüksüz güç tüketimleri sırasıyla 40 kW ve 60 kW olan kompresörlerin her ikisinin de tam yükteki güç tüketimleri 180 kW’dır. Bu kompresörler yıllık çalışma sürelerinin %60’ını tam yükte, %40’ını ise boşta çalışarak geçirmektedir. Kompresörlerin ikisi de yılda 6000 saat çalışmaktadır. Her iki kompresörün de yıllık enerji tüketimlerini hesaplayarak, bu kompresörlerden hangisinin tercih edilmesi gerekmektedir ?
|
744000 kWh, İkinci Kompresör
|
|
792000 kWh, Birinci Kompresör
|
|
792000 kWh, İkinci Kompresör
|
|
744000 kWh, Birinci Kompresör
|
|
794000 kWh, İkinci Kompresör
|
10.Soru
Aşağıdakilerden hangisi küçük ölçekli bir kojenrasyon tesisinden yararlanılabilecek alanlardan değildir?
|
Atık su iyileştirme tesislerinde, biyogaz veya doğalgaz karışımı yakılarak elektrik ve sıcak su üretimi sağlamak |
|
Eğlence merkezlerinde, absorbsiyonlu soğutma ile soğutma havası sağlamak ve elektrik üretmek |
|
Hastanelerde ameliyat aletlerinin strelizasyonu ile genel sıcak su ihtiyacının ve elektrik ihtiyacının büyük bir kısmını karşılamak |
|
Rafineri, gübre tesisi, demir, çimento, seramik ve cam gibi yüksek sıcaklıkta ısı gerektiren tesislerde gerekli enerjiyi sağlamak |
|
Çok amaçlı tesislerde spor merkezleri ve yüzme havuzunu ısıtmak, havalandırma sistemi için soğuk hava elde etmek |
Küçük ölçekli kojenerasyon tesisinden;
- Atık su iyileştirme tesislerinde, biyogaz veya doğal gaz karışımı yakılarak elektrik ve sıcak su üretimi sağlamak,
- Çok amaçlı tesislerde spor merkezleri ve yüzme havuzunu ısıtmak, havalandırma sistemi için soğuk hava elde etmek,
- Yemek hazırlama sürecinde, dahili tüketim için elektrik üretmek, gıdaları sterilize etmek ve pişirmek,
- Eğlence merkezlerinde, absorbsiyonlu soğutma ile soğutma havası sağlamak ve elektrik üretmek,
- Otellerde odalara, çamaşırhaneye, mutfağa sıcak su sağlamak, havuzu ısıtmak ve elektrik ihtiyacının bir kısmını üretmek,
- Hastanelerde terapi havuzlarındaki suyu 90 °C ve üzerindeki bir sıcaklığa ısıtmak, ameliyat aletlerinin sterilizasyonu ile genel sıcak su ihtiyacının ve elektrik ihtiyacının büyük bir kısmını karşılamak,
amaçları ile yararlanılır. Fakat rafineri, gübre tesisi, demir, çimento, seramik ve cam gibi yüksek sıcaklıkta ısı gerektiren tesislerde, yüksek miktarda elektrik ve ısı (buhar olarak) enerjisi gereksinimi olan endüstrilerde yaygın olarak kullanılan endüstriyel amaçlı kojenerasyon tesisinden faydalanılır.
11.Soru
Sıvı yakıtı yanması için pulvarize ederek buhar haline getiren cihaz aşağıdakilerden hangisidir?
|
Sıvı yakıt kazanı
|
|
Sıvı yakıt deposu
|
|
Panel radyatör
|
|
Sıvı yakıt brülörü
|
|
Yakıt hattı
|
12.Soru
I. İstenilen basınç ve buhar miktarının daha ekonomik ve çevre dostu yolla üretilebilmesi
II. Bu su hacimli olması.
III. Yüksek depolama kapasitesine ulaşılabilmesi
IV. Kısa süreli büyük buhar ihtiyaçlarında da kararlı buhar üretimi yapabilmesi
Hangileri alev duman borulu kazanlarının özelliklerindendir?
|
I, II ve III |
|
II, III ve IV |
|
I, II, III ve IV |
|
I, III ve IV |
|
I, II ve III |
Uygulamada en çok karşılaşılan kazan tipleri alev duman borulu silindirik tip buhar kazanlar› ve su borulu buhar kazanlarıdır. Uygulamada buhar üretimi için genellikle alev duman borulu kazanlar tercih edilmektedir. İstenilen basınç ve buhar miktarının daha ekonomik ve çevre dostu bir yolla üretilebiliyor olması bu tür kazanların tercih edilmesinin başlıca nedenlerdir. Bu tür kazanlarda boruların içerisinden duman gaz›, boruların dışında ise su bulunmaktadır. Alev duman borulu kazanlar büyük su hacimli kazanlar olarak da bilinmektedir. Bu tür kazanlarda büyük su hacimlerine ve yüksek depolama kapasitelerine ulaşmak mümkündür. Böylece kazan kısa süreli büyük buhar ihtiyaçlarında bile kararlı bir buhar üretimi yapabilmektedir.
13.Soru
Aşağıdakilerden hangisi yenilenebilir bir enerji kaynağı değildir ?
|
Biyoyakıt
|
|
Rüzgar
|
|
Kömür
|
|
Güneş
|
|
Jeotermal
|
14.Soru
Aşağıdakilerden hangisi yakıt olarak kullanılan bir malzeme değildir?
|
Kömür |
|
Oksijen |
|
LPG |
|
Fuel oil |
|
Motorin |
Her türlü yanıcının yanma esnasında kullandığı malzeme oksijen olmakla birlikte, oksijenin kendisi bir yanıcı malzeme değildir.
15.Soru
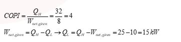
Bir haneyi ısıtmak için ısı pompası kullanılmaktadı. Dış sıcaklık -5 ºC olduğunda ısı kaybı 25 kW’tır. Pompanın harcadığı güç 10 kW olarak verilmektedir. Isıpompasının ısıtma şartlarındaki COPI değeri 2.5 olarak hesaplanmıştır. Buna göre çevreden yararlanılan enerji miktarı ne kadardır?
|
5 kW. |
|
10 kW |
|
15 kW |
|
20 kW |
|
25 KW |
16.Soru
I-Hava
II-Toprak
III- Su
Yukarıda verilenlerden hangisi veya hangileri ısı pompası sistemlerinin yararlandığı kaynaklardandır?
|
Yalnız I |
|
Yalnız II |
|
I ve III |
|
I, II |
|
I, II ve III |
Isı pompası sistemleri genelde çevre enerjisinden yararlanma prensibine dayanır. Isı pompasının yararlandığı çevre enerjileri üç grupta toplanabilir:
Hava: Havanın enerjisinden yararlanan ısı pompaları (Hava kaynaklı ısı pompası)
Toprak: Toprağın enerjisinden yararlanan ısı pompaları (Toprak kaynaklı ısıpompası)
Su: Suyun enerjisinden yararlanan ısı pompaları (Su kaynaklı ısı pompası)
17.Soru
Bir kompresör 8 bar basınçta hava üretmektedir. Bu tesis için serbest hava hacmi, SHH=180 dm3/sn olarak verilmektedir. Buna göre bu kompresörden çıkan basınçlı havanın hacmi kaç dm3/sn'dir?
|
21.10
|
|
20.22
|
|
19.25
|
|
22.35
|
|
25.18
|
18.Soru
Yakıtın üst ısıl değerinden yararlanan sistemler aşağıdakilerden hangisini kullanmaktadır?
|
Kimyasal reaksiyon |
|
Yoğuşma teknolojisi |
|
Endotermik ve ekzotermik reaksiyon |
|
Yanma |
|
Isı ve Sıcaklık |
Yakıtın üst ısıl değerinden yararlanılan sistemler yoğuşma teknolojisini kullanmaktadır.Yoğuşma teknolojisi, baca gazındaki su buharının yoğuşturulması, yoğuşurken de enerjisini kazana giren suya vermesi esasına dayanmaktadır.
19.Soru
DIN2403’e göre basınçlı hava hatları çeşitli renk ve kodlarla sınıflandırılmıştır. Bu kodlamaya göre basınçlı hava hatlarında hava hangi renkle gösterilir?
|
Gri
|
|
Kırmızı
|
|
Mor
|
|
Mavi
|
|
Yeşil
|
20.Soru
Aşağıdakilerden hangisi kesitli kompresörlerin özelliklerinden değildir?
|
Pozitif yer değiştirmeli kompresörlerdir. |
|
Bir çevrim içinde çalışırlar. |
|
Akışkan kompresörden yollanmadan önce yeni bir çevrim yapılmaz |
|
Akışkanın kompresöre alınıp sıkıştırılması ve dışarıya yollanması aynı anda gerçekleşir. |
|
Pistonlu ve döner kompresörler, kesitli kompresörlerdir. |
Kesitli kompresörler bir çevrim içinde çalışırlar. Bu tip kompresörlerde belli bir miktarda kompresöre alınan akışkan sıkıştırılır ve kompresörden sevk edilir. Akışkan kompresörden yollanmadan önce yeni bir çevrim yapılmaz. Kısaca yeni bir çevrime başlamadan önce akışkan kompresörden dışarı sevk edilir. Sürekli sıkıştırma yöntemine göre çalışan kompresörler bir çevrim içerisinde çalışmazlar. Diğer bir deyimle, akışkanın kompresöre alınıp sıkıştırılması ve dışarıya yollanması aynı zamanda gerçekleşir. Kesikli sıkıştırma yöntemini kullanan kompresörler pozitif yer değiştirmeli kompresörlerdir. Bu yönteme göre çalışan kompresörler pistonlu ve dönel kompresörlerdir.
-
- 1.SORU ÇÖZÜLMEDİ
- 2.SORU ÇÖZÜLMEDİ
- 3.SORU ÇÖZÜLMEDİ
- 4.SORU ÇÖZÜLMEDİ
- 5.SORU ÇÖZÜLMEDİ
- 6.SORU ÇÖZÜLMEDİ
- 7.SORU ÇÖZÜLMEDİ
- 8.SORU ÇÖZÜLMEDİ
- 9.SORU ÇÖZÜLMEDİ
- 10.SORU ÇÖZÜLMEDİ
- 11.SORU ÇÖZÜLMEDİ
- 12.SORU ÇÖZÜLMEDİ
- 13.SORU ÇÖZÜLMEDİ
- 14.SORU ÇÖZÜLMEDİ
- 15.SORU ÇÖZÜLMEDİ
- 16.SORU ÇÖZÜLMEDİ
- 17.SORU ÇÖZÜLMEDİ
- 18.SORU ÇÖZÜLMEDİ
- 19.SORU ÇÖZÜLMEDİ
- 20.SORU ÇÖZÜLMEDİ