Statıstıcs Iı Ara 2. Deneme Sınavı
Toplam 20 Soru1.Soru
Interval estimation : the population standard deviation is not known, the sample standard deviation is 50, there are 25 observations in the sample. What is the value of the standard error to calculate the confidence interval?
|
2 |
|
4 |
|
6 |
|
10 |
|
25 |
st err = st dev / (n)1/2 = 50 / (25)1/2 = 10. pg. 38. Correct answer is D.
2.Soru
Which one of the following is also called availability sampling method?
|
Snowball sampling |
|
Convenience sampling |
|
Quota sampling |
|
Systematic sampling |
|
Stratified sampling |
A convenience sample involves a group of individuals that is ready and available. It is also called availability sampling method. The correct answer is B.
3.Soru
Sample values for a continuous variable (water flow rate ; as liter / hour) : 6, 12, 17, 36, 26, 15, 34, and 2. What is the point estimate of the population arithmetic mean?
|
20.0 |
|
19.5 |
|
19.0 |
|
18.5 |
|
18.0 |
x = (6 + 12 + 17 + 36 + 26 + 15 + 34 + 2) / 8 = 148 / 8 = . pg. 24. Correct answer is D.
4.Soru
1. Formulate a decision rule
2. Identify the test statistic
3. State null and alternate hypotheses
4. Select a level of significance
5. Take a sample and make the decision
What is the correct order of the hypothesis testing steps given above?
|
4-3-2-1-5 |
|
3-4-2-5-1 |
|
3-4-2-1-5 |
|
2-3-4-1-5 |
|
2-3-4-5-1 |
To test the claims made about the population parameters or in other words to test the statistical expressions the following steps can be followed: Step 1: State null and alternate hypotheses Step 2: Select a level of significance Step 3: Identify the test statistic Step 4: Formulate a decision rule Step 5: Take a sample and make the decision. The correct answer is C.
5.Soru
Population of statistics students is 500, population of statistics 201 course is 150 (40 are repeating only this), population of statistics 203 course is 160 (55 are repeating only this), population of statistics 305 course is 140 (35 are repeating only this). How many people are there in the target population for a survey about repeating 2nd year courses?
|
40 |
|
55 |
|
75 |
|
95 |
|
310 |
x = 40 + 55 = 95. pg. 3. Correct answer is D.
6.Soru
___________________________, denoted by ?, is the proportion of the members/objects/individuals of a population that have a specific characteristic of interest?
___________________________, denoted by ?, is the proportion of the members/objects/individuals of a population that have a specific characteristic of interest?
|
A population arithmetic mean |
|
Sample arithmetic mean |
|
Sample standard deviation |
|
Population Variance |
|
A population proportion |
A population proportion, denoted by ?, is the proportion of the members/objects/individuals of a population that have a specific characteristic of interest.
7.Soru
In a production line, the mean weight of the products should be 450 grams and the standard deviation of the weight variable is ? = 25. It is known that the distribution of the weights of the packages follow a normal distribution. A sample of 32 observations is randomly selected from the production line in the afternoon and the sample average is found as of 448 grams.The significance level ? = 0.05 for this problem.
If you follow the five step hypothesis testing procedure, what is the alternative hypothesis for the situation given above ?
|
The mean weight of the packages is 450 grams. |
|
The mean weight of the packages is 448 grams. |
|
the mean weight of the packages is not 450 grams. |
|
The mean weight of the packages is less than 450 grams. |
|
The mean weight of the packages is more than 450 grams. |
The null hypothesis (H0 ) is “the mean weight of the packages is 450 grams” and the alternative hypothesis (H1 ) is “the mean weight of the packages is less than 450 grams”. Here the alternative hypothesis is formed as a left tailed test because the given problem considers the weight of the packages than 450 grams.
8.Soru
For ? = 0.24 significance level what is the acceptance area under the standard normal curve for two-sided tests?
|
0.04 |
|
0.16 |
|
0.24 |
|
0.76 |
|
0.86 |
For a two-sided test the acceptance area under the standard normal curve is calculated by 1-? which is equal to 1 - 0.24 = 0.76
The answer is D
9.Soru
Sample values for a continuous variable (rain drop rate ; as kg / hour) : 110, 125, 155, 130, 180, and 80. What is the point estimate of the population arithmetic mean?
|
120.0 |
|
127.5 |
|
130.0 |
|
137.5 |
|
140.0 |
x = (110 + 125 + 155 + 130 + 180 + 80) / 6 = 780 / 6 = 130. pg. 24. Correct answer is D.
10.Soru
In a two population hypothesis testing problem, population standard deviations are 40 and 30, sample sizes are 125 and 225 respectively. If the z value is calculated, what is the value of denominator for z?
|
2.7 |
|
6.597 |
|
1.879 |
|
4.099 |
|
2.658 |
sqrt(40^2/125 + 30^2 / 225) = 4.099
11.Soru
There are 24 female ducks, 21 male ducks, 15 baby ducks, 27 female gooses, 18 male gooses, and 12 baby gooses in a farm. What is the population proportion estimate of babies in this farm?
|
3/13 |
|
13/3 |
|
27/100 |
|
100/27 |
|
13/160 |
x = (15 + 12) / (24 + 21 + 15 + 27 + 18 + 12) = 27 / 117 = 3 / 13. pg. 25 . Correct answer is A.
12.Soru
In a classroom there are 25 students. Out of these 25 students 10 of them are male. If a hypothesis testing procedure for the population proportion of female students is to be created, what is the value of the sample proportion of the female students?
|
0.10 |
|
0.15 |
|
0.20 |
|
0.40 |
|
0.60 |
Total = 25 ==> 100 % = 1
Males = 10 ==> 40 % = 0.40
Females = 15 ==> 60 % = 0.60
13.Soru
Interval estimation : the sample arithmetic mean is 14 and the lower limit of the confidence interval is 6, then what is the upper limit of the confidence interval?
|
10 |
|
11 |
|
17 |
|
20 |
|
22 |
14 = (6 + x) / 2 ; x = 22. pg. 33. Correct answer is E.
14.Soru
A reseacher wants to analyse the consumption behaviors of people in a city. He divides the population into 4 groups: male/female and young/old. Then he estimates the proportion of each group in population and constructs the samples accordingly. So, which sampling method does he uses?
|
Quota sampling |
|
Simple random sampling |
|
Systematic sampling |
|
Cluster sampling |
|
Stratified sampling |
The researcher is dividing the population to groups, so he is uing the quota method.
15.Soru
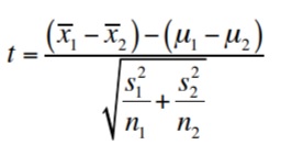
For sample one the sample size is 10, mean is 4.5, and standard deviation is 1. For sample two the sample size is 12, mean is 3.4, and standard deviation is 1.2 and (µ1 -µ2 ) is considered to be equal to 0. What is the test statistics for the given values?
|
1 |
|
5 |
|
9 |
|
13 |
|
17 |
Since the sample sizes are smaller than 30 we will use this formula. The numerator is equal to (4.5 - 3.4) - 0 = 1.1. The denominator is equal to [(1)2/10] +[(1.2)2/12] = 0.1+0.12 = 0.22. these results would yield to a test statistic of z=1.1/0.22 = 5
The answer is B.
16.Soru
For ? = 0.567 significance level what is the rejection area under the standard normal curve for one-sided tests?
|
0.500 |
|
0.567 |
|
0.673 |
|
0.753 |
|
0.900 |
For a one-sided test, the rejection area under the standard normal curve is equal to ?, which is equal to 0.567
The answer is B
17.Soru
If there are 120 objects in a population and the investigator wants to use simple random sampling to choose objects in to a sample from this population, what is the probability of a object to be selected in to a sample?
|
120/4 |
|
120/10 |
|
1/100 |
|
1/120 |
|
1/100 |
any types of probability samples are available for sampling from a population. The most basic sampling method is the simple random sampling. The simple random sample from a population is a sample that is selected so that each possible sample combination of the specified size has equal probability of being chosen. In practice, a simple random sample is usually called random sample.
-
Select the first sample element by giving each of the N population elements an equal probability (1/N) of being chosen.
Therefore the answer is 1/120
18.Soru
If someone wants to carry out a research to find out the smoking rate in females over the age of 50 living in Eskişehir, what is the target population for this research?
|
Instructors at Anadolu University |
|
Females in Eskişehir |
|
People over 50 in Eskişehir |
|
Females over 50 in Turkey |
|
Females over 50 in Eskişehir |
If the researcher wants find the rate of smoking in females over 50 years of age in Eskişehir, the target population should be females over the age of 50 in Eskişehir. The correct answer is E.
19.Soru
In an investigation, if the significance level is 0,01 ; what is the confidence level of this study ?
|
0,01 |
|
0,05 |
|
0,50 |
|
0,95 |
|
0,99 |
In an investigation, if the significance level is 0,01 ; the confidence level is 0,99. The correct answer is E.
20.Soru
Which is the first step to test the claims made about the population parameters?
|
Take a sample and make the decision |
|
Formulate a decision rule |
|
Identify the test statistic |
|
Select a level of significance |
|
State null and alternate hypotheses |
To test the claims made about the population parameters or in other words to test the statistical expressions the following steps can be followed:
Step 1: State null and alternate hypotheses
Step 2: Select a level of significance
Step 3: Identify the test statistic
Step 4: Formulate a decision rule
Step 5: Take a sample and make the decision
The answer is E.
-
- 1.SORU ÇÖZÜLMEDİ
- 2.SORU ÇÖZÜLMEDİ
- 3.SORU ÇÖZÜLMEDİ
- 4.SORU ÇÖZÜLMEDİ
- 5.SORU ÇÖZÜLMEDİ
- 6.SORU ÇÖZÜLMEDİ
- 7.SORU ÇÖZÜLMEDİ
- 8.SORU ÇÖZÜLMEDİ
- 9.SORU ÇÖZÜLMEDİ
- 10.SORU ÇÖZÜLMEDİ
- 11.SORU ÇÖZÜLMEDİ
- 12.SORU ÇÖZÜLMEDİ
- 13.SORU ÇÖZÜLMEDİ
- 14.SORU ÇÖZÜLMEDİ
- 15.SORU ÇÖZÜLMEDİ
- 16.SORU ÇÖZÜLMEDİ
- 17.SORU ÇÖZÜLMEDİ
- 18.SORU ÇÖZÜLMEDİ
- 19.SORU ÇÖZÜLMEDİ
- 20.SORU ÇÖZÜLMEDİ