Statıstıcs Iı Ara 3. Deneme Sınavı
Toplam 20 Soru1.Soru
Which of the following are among the reasons for sampling?
- Cost
- Time
- Accuracy
- Destructive tests
- Esthetics
|
II, III, IV and V |
|
I, III, IV and V |
|
I, II, IV and V |
|
I, II, III and IV |
|
I, II, III and V |
Esthetics is not a reason for sampling.
2.Soru
I. The mean, median and mode of the t distribution are all equal to zero.
II. The t distribution is bell-shaped and symmetrical. The total area under a t-curve is 1 or 100%
III. As the degrees of freedom decreases, the shape of the t-distribution approaches to the standard normal distribution.
Which of the given statements about properties of the t-distribution are true?
|
Only I |
|
Only II |
|
I and II |
|
I and III |
|
II and III |
Certain properties of the t distribution are as follows:
• The t distribution is bell-shaped and symmetrical. The total area under a t-curve is 1 or 100%
• The mean, median and mode of the t distribution are all equal to zero.
• As the degrees of freedom increases, the shape of the t distribution approaches to the standard normal distribution.
The answer is C.
3.Soru
Which sign we are not going to use in one sample hypothesis problems for alternate hypothesis?
|
≠ |
|
> |
|
> |
|
= |
|
>= |
0 sign is only used for the null hypothesis
4.Soru
In a university, a surveyor calculated the proportion of girls as 30 % and 34 % at ages 20 and 21, and proportion of boys are 26 % and 10 % of the boys at ages 20 and 21, respectively. What is the sampling method she used ?
|
convenience |
|
simple random |
|
snow ball |
|
quota |
|
multi stage |
In quota sampling, the population is divided into subgroups being studied, such as male and female, younger and older, engineer, doctor and lawyer. Then, the proportion of the members who fall into each subgroup is estimated. Finally, the sample reflecting the estimated proportions is drawn from the population. It is a non-probabilistic version of stratified sampling method. pg. 13. Correct answer is D.
5.Soru
A linguist interviews with speakers of a rare languge A. She selects a few speakerss to start with and at the end of interview he asks if the participant knows any other speakers that might want to participate. Which type of sampling method does the manager use?
|
convenience |
|
quota |
|
snow ball |
|
multi stage |
|
cluster |
In snowball sampling, the members, who are identified previously, are asked to identify other members of the population. pg. 13. Correct answer is C.
6.Soru
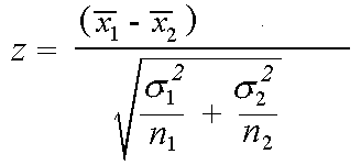
Which of the following statements is false regarding the test statistic formula below, which is for two sample tests of means when their population variances are known?
|
x1-x2 is the difference of the sample mean |
|
The sampling distribution is standard normal distribution. |
|
σ21, σ22 are known population variances |
|
When any of the sample size is larger than 30, then sample variances could be used instead of population variances. |
|
n1, n2 are the sizes of the sample of the two independent populations |
In order to use sample variances instead of population variances, both of the sample sizes must be larger than 30. Thus statement in D is false.
7.Soru
A researcher wants to collect data about drug users and knows a few of them. The researcher asks identified subjects to recruit other members and this process is repeated until the determined sample size is achieved. This researcher uses _______.
|
Snowball sampling |
|
Systematic sampling |
|
Quota sampling |
|
Convenience sampling |
|
Cluster sampling |
Two main steps are applied in snowball sampling method. The potential members in the population are identified. Then, some of the members are selected initially. The identified subjects are asked to recruit other members and then those people are asked to recruit, and so on. However, the selected participants should be made aware that they do not have to provide any other members. The above steps are repeated until the determined sample size is achieved. Ethically, the identified members should not be forced to give other members. Rather, the previously identified members should be asked to encourage others to participate. The correct answer is A.
8.Soru
Sample values for a continuous variable (noise level in a classroom ; as decibel) : 32, 38, 46, 48, 54, and 64. What is the point estimate of the population arithmetic mean?
|
46 |
|
47 |
|
48 |
|
49 |
|
50 |
x = (32 + 38 + 46 + 48 + 54 + 64) / 6 = 47. pg. 24. Correct answer is B.
9.Soru
Interval estimation : the limits of the confidence interval are (205, 245), the significance level is 0.05. What is the sample arithmetic mean?
|
210 |
|
215 |
|
225 |
|
235 |
|
240 |
x = (205 + 245) / 2 = 225. pg. 33. Correct answer is C.
10.Soru
Sample values for a continuous variable (weather temperature in a day ; as oC) : 10, 16, 20, and 28. What is the point estimate of the population arithmetic mean?
|
18.0 |
|
18.5 |
|
19.0 |
|
19.5 |
|
20.0 |
x = (10 + 16 + 20 + 28) / 4 . pg. 24. Correct answer is B.
11.Soru
Which of the following problems requires a two-sided test?
|
Chinese men are taller than the Japanese man. |
|
Meditterian region olives contain more fat than Aegean region olives. |
|
There is no difference between the durations of batteries brand A and brand B. |
|
Mercedes cars are consume produce less carbon monoxit than BMW cars do. |
|
Cancer risk of men is more than that of women. |
Two sided tests are used for deciding the indifference (equality) of two populations Thus answer is C.
12.Soru
Which one of the following is not a reason of sampling?
|
Cost |
|
Time |
|
Accuracy |
|
Inequality |
|
Physical impossibility |
Reasons of sampling are cost, time, accuracy, physical impossibility, and destructive tests. The correct answer is D.
13.Soru
In an investigation, if the significance level is 0.47, what is the confidence level in this study?
|
0.47 |
|
0.53 |
|
0.05 |
|
-1 |
|
0.1 |
In an investigation, if the significance level is 0.47, the confidence level must be 0.53 as their sum must be equal to 1.
14.Soru
I. If the alternative hypothesis is in the form of H1: p1<p2 then rejection region is z<–z?
II. If the alternative hypothesis is in the form of H1: p1>p2 then rejection region is z>z?
II. If the alternative hypothesis is in the form of H1: p1?p2 then rejection region is z=z?/2
For the given statements about the hypothesis test of the difference between two population proportions which ones can be said to be true?
|
Only I |
|
Only II |
|
I and II |
|
I and III |
|
II and III |
Critical regions for the hypothesis test are summarized below;
If the alternative hypothesis is in the form of H1: p1?p2 then rejection region is z>z?/2 or z <–z?/2
If the alternative hypothesis is in the form of H1: p1<p2 then rejection region is z<–z?
If the alternative hypothesis is in the form of H1: p1>p2 then rejection region is z>z?
The answer is C.
15.Soru
Systematic sampling : sample size is 1024, number of members in the population is 16, random starting point is 257. Which one is the 3rd sample?
|
225th |
|
289th |
|
514th |
|
771th |
|
787th |
x = 257 + 2 . 16 = 289. pg. 12. Correct answer is B.
16.Soru
In which reason of sampling we consider "Some populations are uncountable or infinite to conduct a census"?
|
Cost |
|
Accuracy |
|
Destructive tests |
|
Physical Impossibility |
|
Mean |
Physical Impossibility
Some populations are uncountable or infinite to conduct a census. In this situation, it is impossible to consider all the elements of a population. Thus, a sample is necessary to obtain information from a population. For example, an environment engineer wants to determine the Ph level of a lake. It would be impossible to take all the water in the lake. Another example is the geographical size of the area that would be covered in the survey. Think about New York City, the population density is over 27,000 people square miles. Population density of Turkmenistan is 10.5 people per square km. Whereas the population density of Turkey is 104 people per square km. Now in your spare time, look at the maps of these countries and make a comparison of the sizes of these countries then you may see that how difficult it could be if you want to conduct a census in Turkmenistan.
17.Soru
Which method's most important feature is efficiency?
|
Stratified sampling |
|
Snowball sampling |
|
Convenience sampling |
|
Quota sampling |
|
Cluster sampling |
Stratified sampling has some advantages. The most important feature is efficiency. Stratified sample is much more efficient than a simple random sample. The correct answer is A.
18.Soru
For age variable the following sample data is gathered: 45, 47, 42, 40, and 51. What is the point estimate of the population arithmetic mean for variable age?
|
45 |
|
42 |
|
40 |
|
49 |
|
57 |
We need to calculate the sample arithmetic mean, it is equal to 45.
19.Soru
How many different subgroups of 5 members can be obtained from a population of 8 members?
|
15 |
|
35 |
|
42 |
|
56 |
|
336 |
C(8,5)=8!/(5!*3!)=56 different groups can be selected.
20.Soru
If for 5 population groups their sum of squares between is equal to 48 and the sum of squares within is equal to 19. The total sample size of the groups is equal to 100, then what is the F test statistics?
|
30 |
|
40 |
|
50 |
|
60 |
|
70 |
MSB=SSB /d.f.N and MSW=SSW /d.f.D. First we must find the degrees of freedom. d.f.N=5 -1=4 and d.f.D=100 - 5 =95. So this would yield to MSB=48 /4=12 and MSW=19/95 = 0.2. The F statistic is equal to MSB/MSW=12/0.2=60
The answer is D
-
- 1.SORU ÇÖZÜLMEDİ
- 2.SORU ÇÖZÜLMEDİ
- 3.SORU ÇÖZÜLMEDİ
- 4.SORU ÇÖZÜLMEDİ
- 5.SORU ÇÖZÜLMEDİ
- 6.SORU ÇÖZÜLMEDİ
- 7.SORU ÇÖZÜLMEDİ
- 8.SORU ÇÖZÜLMEDİ
- 9.SORU ÇÖZÜLMEDİ
- 10.SORU ÇÖZÜLMEDİ
- 11.SORU ÇÖZÜLMEDİ
- 12.SORU ÇÖZÜLMEDİ
- 13.SORU ÇÖZÜLMEDİ
- 14.SORU ÇÖZÜLMEDİ
- 15.SORU ÇÖZÜLMEDİ
- 16.SORU ÇÖZÜLMEDİ
- 17.SORU ÇÖZÜLMEDİ
- 18.SORU ÇÖZÜLMEDİ
- 19.SORU ÇÖZÜLMEDİ
- 20.SORU ÇÖZÜLMEDİ