Statıstıcs Iı Final 9. Deneme Sınavı
Toplam 20 Soru1.Soru
What measures the relative change in price, quantity, value, or some other characteristics of interest compared to a base period?
|
Value |
|
Reference value |
|
Index number |
|
Price Index |
|
Quantity Index |
An index number measures the relative change in price, quantity, value, or some other characteristics of interest compared to a base period. It is a statistical value that measures the change in a variable with respect to the reference value of a variable for a specific period specific period such as a starting year, a specific factory or a specific location. The correct answer is C.
2.Soru
In a binomial test, what is the sample size to decide whether the sample size is small or large?
|
10 |
|
25 |
|
30 |
|
40 |
|
55 |
If the sample size is n ? 25, we accept the sample size is small, otherwise the sample size is accepted as large.
3.Soru
In two population hypothesis testing which of the following is true?
|
µ1 >5 |
|
µ2 < 0 |
|
µ1 > ( µ2 - 5) |
|
µ1 – µ2 = -5 |
|
µ1 – µ2 = 0 |
The null hypothesis can be µ1 – µ2 = 0
4.Soru
In _______, every Kth element after a random starting point is taken.
|
Snowball sampling |
|
Quota sampling |
|
Convenience sampling |
|
Systematic sampling |
|
Simple random sampling |
Systematic sampling method is applied easily by taking every kth element after a random starting point. The correct answer is D.
5.Soru
Which of the following is an example of a basic index number?
|
-1 |
|
120.3 |
|
50 / 432 |
|
60% |
|
x |
Depending on the number of variables included in the comparison, index numbers can be different. If an index number is used to measure the relative change in just one variable, this indicates a simple index. In the simple index calculation, the ratio of the two variables is converted to a percentage. In other words, index numbers are the percentage of a comparison with a reference value written without the percent symbol. It is important to determine what to write in the reference value field since the simple index calculations can be examined as a fixed based method and chain-based method. In applications, two types of indexes dominate, which are price and quantity indexes. The correct answer is B.
6.Soru
For Ahmet going work by either bus or his own car are examples of .......
|
State of natüre |
|
Nature of state |
|
Payoff |
|
Decision alternative |
|
Payroll |
Since vehicles are substitute to each other, they are different decison alternatives.
7.Soru
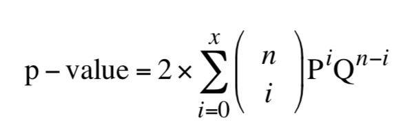
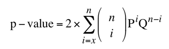
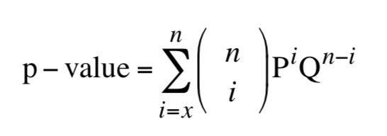
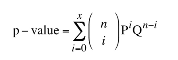
If the alternative hypothesis is written as H1:P < Q in small sample Binomial test, how do we find the p-value?
If the alternative hypothesis is written as H1:P < Q in small sample Binomial test, how do we find the p-value?
|
|
|
|
|
|
|
|
|
|
8.Soru
Which of the following statements about Pearson's Correlation Coefficient is true?
|
A relationship shown by Pearson’s correlation coefficient means that one variable’s existence is the cause of the second variable’s existence. |
|
Pearson’s correlation coefficient isn't easily affected by the outliers. |
|
In order to show the degree of the relationship between three or more continuous variables, The Pearson’s correlation coefficient is used. |
|
Pearson’s correlation coefficient gets values between -1 and +1. |
|
The positive sign of the correlation coefficint indicates that the change in the variables is in the different directions. |
In order to show the degree of the relationship between two continuous variables, The Pearson’s correlation coefficient or Pearson’s product moment correlation coefficient is widely used. There are two symbols used for Pearson’s correlation coefficient, population correlation is represented by ? (rho) and sample correlation is represented by r. Pearson’s correlation coefficient gets values between -1 and +1. If the result is exactly -1 or +1 then there is a perfect relationship between the variables. The sign of the Pearson’s correlation coefficient indicates the direction of the relationship. The positive sign indicates that the change in the variables is in the same direction.The Pearson’s correlation coefficient is a very useful tool to show the degree of the linear relationship between two variables. The Pearson’s correlation coefficient is not a perfect tool, and we should be careful while using it. First of all, Pearson’s correlation coefficient does not show the causal relationship. A relationship shown by Pearson’s correlation coefficient does not necessarily mean that one variable’s existence is the cause of the second variable’s existence. There may always many known or un-known effects on the existence of a variable. Pearson’s correlation coefficient is easily affected by the outliers. In order to control this problem, careful examination inspection of the relationship with a scatterplot will be very helpful. If a data pair is identified as an outlier or as unusual observations, the researcher may investigate the reasons of the existence of these values in such a problem and may or may not include these data points in his/her investigation. The study of outliers a very detailed subject and unfortunately will not be explained in this chapter. At the moment it is enough for you to know that if there are outliers, then the Pearson’s correlation coefficient value may not be correct, and the results should be studied in caution. The correct answer is therefore D.
9.Soru
The price of a certain electronic product at a chain store is 180 TL. The same electronic product is also available through various online stores and five of the store prices are as follows: 155, 179, 175, 175, 161 TL.
What is the null hypothesis for the problem given above?
|
H0 : µ = 180 |
|
H0 : µ > 180 |
|
H0 : µ < 180 |
|
H0 : µ < = 180 |
|
H0 : µ > = 180 |
The statement in the question is the online stores mean price µ is less than the chain store, so the hypotheses are:
Null Hypothesis : H0 : µ = 180
Alternative Hypothesis : H1 : µ < = 180
10.Soru
A teacher has created a simple linear regression model for a problem with two variables. The total variation in the model is partitioned as follows:
SST = SSR+SSE = 450+ 50
What is the value of the coefficient of determination in this problem?
|
60% |
|
70% |
|
80% |
|
90% |
|
100% |
Since the components of the total variation is already given then the coefficient of determination for this problem is as follows:
r2 = explained variation / total variation = SSR / SST
SST = SSR+SSE = 450+ 50
SSR / SST = 450 / (450+50) = 450 / 500 = 0.90
Therefore, we can say that the 90% of the variability in the dependent variable can be accounted to the
independent variable.
11.Soru
If the quantity in the base period is 120 and the quantity in the current period is 100, what is the value of the simple index for quantity for current period?
|
83.33 |
|
75.25 |
|
85.1 |
|
98.23 |
|
90 |
(100 /120)*100 = 83.33
12.Soru
Price of X is 3, 4, and 2 units on March, April, and May, respectively. What is the chain-based simple price index for April?
|
75 |
|
400 / 3 |
|
50 |
|
80 |
|
200 |
x = (4 / 3) . 100. pg. 140. Correct answer is B.
13.Soru
Total price and quantity for products group A is 14 and 5, and 25 and 4, as unit a and unit b, for months X and Y, respectively. What is the Laspeyres' price index for A for month X when month Y is the base?
|
19.5 |
|
125 / 7 |
|
56.0 |
|
70.0 |
|
95.0 |
x = ((14. 5) / (25 . 4)) . 100 = (70 / 100) . 100 = 70 . pg. 145. Correct answer is D.
14.Soru
In a simple linear regression model, what do ? and ß refer to?
|
the population parameters to be estimated by sample data |
|
independent variables |
|
dependent variables |
|
random errors |
|
regression line |
In a simple linear regression model, ? and ß refer to the population parameters to be estimated by sample data.? parameter is the intercept of the regression line and ß is the slope of the regression line. ? parameter is usually called as the constant of the model. The correct answer is A.
15.Soru
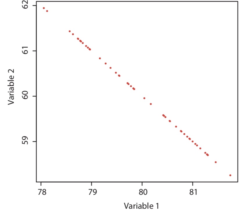
Using the graph, what is the Pearsons correlation between these two variables?
|
-1 |
|
-0.2 |
|
0 |
|
0.5 |
|
1 |
If Pearson’s correlation coefficient is equal to -1 , it means that the data points in the scatterplot will lie on a descending straight line. This situation is shown in Figure.
16.Soru
In an index, base value is 50 and today's value is 200, what is the simple index number for today's value?
|
300 |
|
400 |
|
500 |
|
600 |
|
700 |
Index number = (200 / 50) * 100=400
17.Soru
_______________ tests are used to determine whether a data set comes from a particular distribution
_______________ tests are used to determine whether a data set comes from a particular distribution
|
t |
|
z |
|
Sign |
|
Goodness of fit |
|
Wilcoxon Rank Sum |
Goodness of fit tests are used to determine whether a data set comes from a particular distribution.
18.Soru
_______is a family of indexes that measures the average change over time in selling prices received by domestic producers of goods and services.
Which of the following completes the definition best?
|
Consumer Price Index |
|
Producer Price Index |
|
Weighted Composite Indexes |
|
Simple Aggregate Index |
|
Chain-Based Index for Quantity |
The producer price index (PPI) is a family of indexes that measures the average change over time in selling prices received by domestic producers of goods and services. It is an output index and designed for domestic goods’ price changes; imports are not included. This index is based on the first commercial transaction of each product in non-retail markets. The correct answer is B.
19.Soru
X is 51, Y is 170. What is the simple index number of X compared to Y?
|
3.33 |
|
30 |
|
119 |
|
221 |
|
442 |
x = (51 / 170) . 100 = 30
20.Soru
The payoff values for decision alternatives : there are 5 states of nature and the cost values for the first decision alternative are -0.8, -0.9, -0.2, -0.7, -0.6. The decision maker is pessimistic. Which payoff value is taken from the first decision alternative?
|
-0.2 |
|
-0.6 |
|
-0.7 |
|
-0.8 |
|
-0.9 |
x = max = -0.2 . If the payoff table is based on costs, first for each decision alternative, the maximum payoff value of each decision alternative is listed then among these payoff values the decision alternative producing the minimum is chosen as the best decision alternative. pg. 190. Correct answer is A.
-
- 1.SORU ÇÖZÜLMEDİ
- 2.SORU ÇÖZÜLMEDİ
- 3.SORU ÇÖZÜLMEDİ
- 4.SORU ÇÖZÜLMEDİ
- 5.SORU ÇÖZÜLMEDİ
- 6.SORU ÇÖZÜLMEDİ
- 7.SORU ÇÖZÜLMEDİ
- 8.SORU ÇÖZÜLMEDİ
- 9.SORU ÇÖZÜLMEDİ
- 10.SORU ÇÖZÜLMEDİ
- 11.SORU ÇÖZÜLMEDİ
- 12.SORU ÇÖZÜLMEDİ
- 13.SORU ÇÖZÜLMEDİ
- 14.SORU ÇÖZÜLMEDİ
- 15.SORU ÇÖZÜLMEDİ
- 16.SORU ÇÖZÜLMEDİ
- 17.SORU ÇÖZÜLMEDİ
- 18.SORU ÇÖZÜLMEDİ
- 19.SORU ÇÖZÜLMEDİ
- 20.SORU ÇÖZÜLMEDİ