Tarım Alet ve Makinaları Final 12. Deneme Sınavı
Toplam 20 Soru1.Soru
Biçme genişliği 5 metre olan bir biçerdöver 8 km/h hızla çalışmaktadır. Zamandan yararlanma katsayısı %75, günlük çalışma süresi 2 h/gün olduğuna göre biçerdöverin alan iş verimi nedir?
|
106,6 |
|
143,5 |
|
164,2 |
|
186,5 |
|
194,4 |
Biçerdöverin biçme genişliği (B) 5 metre ise biçme genişliği kaybı b= 0,1 . B = 0,5 metre olacaktır. Biçerdöverin hızı (V), zamandan yararlanma katsayısı (K) ve günlük çalışma süresi (T) bilgilerini de kullanarak biçerdöverin alan iş verimliliği(S) şu şekilde hesaplanır: S=3,6 . (B-b) . V . K . T = 3,6 . (5-0,5) . 8 . 0,75 . 2 bu durumda S = 194,4 da/h olacaktır.
2.Soru
I-Biyokütlenin zararlı salınımları azdır.
II-Biyokütlenin enerji içeriği yüksektir.
III-Biyokütle yenilenebilir bir enerji kaynağıdır.
IV-Biyokütle pahalıdır.
Biyokütle ile ilgili olarak, yukarıdaki ifadelerden hangisi / hangileri doğrudur?
|
II, III |
|
I, II, III |
|
I, III |
|
I, III, IV |
|
II, III, IV |
Biyokütle yenilenebilir bir enerji kaynağıdır. Kısmen ucuz ve zararlı salınımları azdır. Biyokütlenin dezavantajlarından birisi enerji içeriğinin düşük olmasıdır.
3.Soru
Başağından, koçanından, kabuğundan, kavuzundan, sapından, samanından veya üzerinde bulunduğu bitki aksamından ayırma ve temizleme işlemi aşağıdakilerden hangisi tanımlar?
|
Eksantrik düzen |
|
Silaj |
|
Hasat |
|
Koçan |
|
Malama |
Hasat; tarımsal ürünün tüketime hazır hale getirilmesi için başağından, koçanından, kabuğundan, kavuzundan, sapından, samanından veya üzerinde bulunduğu bitki aksamından ayırma ve temizleme işlemidir.
4.Soru
Aşağıdakilerden hangisi tarımda güneş enerjisinden yararlanılan alanlardan biri değildir?
|
Ürün kurutma |
|
Sera ısıtma |
|
Sulama |
|
Solarizasyon |
|
Toprak ıslahı |
Tarımda, toprak ıslahında, güneş enerjisinden değil, jeotermal enerjiden yararlanılır.
5.Soru
Meyve ve Sebzelerin temizlenmesi ve sınıflandırılmasında renk, boyut, yabancı maddelerin ayrılmasında makinalar hangi özellikleri kullanmaz?
|
Dielektrik özellikleri |
|
Ses titreşim özellikleri |
|
Kapasitans özellikleri |
|
Işık yansıtma ve geçirme özellikleri |
|
Elektro manyetik titreşim özellikleri |
Tarımsal ürünlerin hazırlanmasında; elektriksel kondüktans, kapasitans, dielektrik, elektromanyetik reaksiyonları, ışık yansıtma ve geçirme, elektromanyetik titreşim özelliklerinden makinalar yardımıyla yararlanılır. Ses titreşim özellikleri söz konusu değildir.
6.Soru
Aşağıdakilerden hangisi ya da hangileri toplayıcı pamuk hasat makinalarının temel bölümlerindendir?
I-Toplama ünitesi
II-İletim ünitesi
III-Depo
IV-Kabin
|
I ve II |
|
III ve IV |
|
I, II ve III |
|
I, II ve IV |
|
I, II, III ve IV |
Toplayıcı pamuk hasat makinalarında ayırıcılar ya da sap kaldırıcı, toplama ünitesi, iletim ünitesi ve depo olmak üzere 4 temel bölüm vardır. Kabin temel bölümlerden değildir.
7.Soru
Aşağıdakilerden hangisi 4 zamanlı motorun süreçleri doğru olarak sıralanmıştır?
|
Emme-Yanma -Sıkıştırma -Egzoz |
|
Emme-Sıkıştırma-Egzoz -Yanma |
|
Emme-Sıkıştırma-Yanma-Egzoz |
|
Emme-Egzoz -Sıkıştırma-Yanma |
|
Emme-Sıkıştırma-Yanma-Egzoz |
4 zamanlı motorun süreçleri sırasıyla Emme zamanı, Sıkıştırma zamanı, Yanma zamanı, Egzoz zamandır.
8.Soru
Aşağıdakilerden hangisi ilaç sürüklenmesidir?
|
Meş |
|
Strok |
|
Drift |
|
Bum |
|
Meme |
Drift, ilaç sürüklenmesidir.
9.Soru
Toplanmış bir tarımsal ürünün tüketime hazır hale getirilmesi için koçanından, kabuğundan, sapından vs. ayırma ve temizleme işlemine ne ad verilir?
|
Hasat |
|
Harman |
|
Silaj |
|
Bıçak kesme |
|
Makas kesme |
Hasat edilmiş tarımsal ürünün tüketime hazır hale getirilmesi için koçan ve benzeri fazlalıklarından ayrılması ve temizlenmesi işlemine harman denir.
10.Soru
Sıralar arası uzaklığı 2 metre olan bir tarlaya ekim yapmak için kullanılan 10 adet gömücü ayağı bulunan ekim makinasının hareket tekerleğinin çapı 0,4 metredir. Tekerleğin bir devrinde atılan tohum miktarı 30 gram ise uygulanacak ekim normu kaç kd/da olmalıdır? (π=3 alınız)
|
1 |
|
2 |
|
3 |
|
4 |
|
5 |
Öncelikle ekim makinasının iş genişliği hesaplanmalıdır. İş genişliği (B), sıralar arası uzaklık ile gömücü ayak sayısının çarpımıyla bulunur. O halde B=m.n = 0,4 x 10 = 4’dür. Tekerleğin bir devrinde atılan tohum miktarı (q1= 30g = 0,03 kg), ekim normu (Q), hareket tekerleği çapı (0,5m), iş genişliği (4m) ve π değerlerinin çarpımının 1000’e bölümüyle bulunur. O halde; q1 = 0,03 = (Q . π . 0,5 . 4) / 1000 olur. Buradan yola çıkarak 30 = 6Q olur. O halde ekim normu Q=5 kg/da olacaktır.
11.Soru
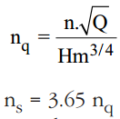
Santrifüj pompanın özgül hızı, bu santrifüj pompaya hidrolik ve geometrik olarak benzeyen ve optimum çalışma durumunda 1 m manometrik yüksekliğe 1 m3/s debi ile su ileten model pompanın dakikadaki devir sayısıdır. Özgül hız hesaplamasında
formülü kullanılmaktadır. Aşağıdakilerden hangisi bu formülde yer alan “Q” ifade etmektedir?
|
Yer çekimi ivmesi (m/s2) |
|
Özgül hız (-) |
|
Pompanın debisi (m3/s) |
|
Manometrik yükseklik (m) |
|
Pompanın dönme hızı (d/d) |
“Q” Pompanın debisi (m3/s) ifade etmektedir.
12.Soru
Ahır mekanizasyonunda büyükbaş hayvanların süt sağım sistemleri için ahır tipine göre hangisi yoktur?
|
Bağlamalı ahırda sağım sistemi |
|
Açık alanda serbest süt sağım sistemi |
|
Ahırda güğüme sağım yapan süt sağım makinaları |
|
Ahırda boru hattına sağım yapan merkezi sistemli süt sağım makinaları |
|
Döner sağım merkezli sağım sistemi |
Ahır tipine göre süt sağım sistemleri ; Bağlamalı ahırda, Ahırda güğüme, Ahırda boru hattına, Tandem , Balık kılçığı, Sağım merkezinde, Döner sağım merkezli sağım olmak üzere 7 çeşittir. Açık alanda serbest sağım mekanizasyon gereği yapılmaz.
13.Soru
Bitki zararlılarının yetiştiriciliği yapılan bitkiye ve çevreye zarar vermeyen canlılarla yok edilmesi biçiminde uygulanan tarımsal savaş yöntemi aşağıdakilerden hangisidir?
|
Kimyasal savaş |
|
Biyolojik savaş |
|
Kültürel savaş |
|
Fiziksel savaş |
|
Bitkisel savaş |
Biyolojik savaş; bitki zararlılarının yetiştiriciliği yapılan bitkiye ve çevreye zarar vermeyen canlılarla yok edilmesidir. Bu yöntemde predatörler, parazitoidler, mikrobiyal etmenler gibi doğal düşmanlar yardımıyla hastalık ve zararlı etmenleri kontrol edilir ya da yok edilir.
14.Soru
Tavukçulukta yemlikler projelenirken bir tavuğun yem tüketiminin bilinmesi gerekmektedir. Buna göre bir tavuk günlük ne kadar yem tüketir?
|
130 gr |
|
200 gr |
|
530 gr |
|
2 kg |
|
7 kg |
Bir tavuğun günlük yem tüketimi 130 gr olarak kabul edilmektedir. Civciv döneminde civciv başına 2kg yem, Piliç döneminde de 7 kg yem önerilmektedir.
15.Soru
Traktörde kavrama parçasının çevre hızını dişlilerin çevre hızıyla eşitleyerek sessiz ve kolay vites değiştirilmesini sağlayan elemana ne ad verilir?
|
Diferansiyel |
|
Dişli kutusu |
|
Senkromeç |
|
Dümenleme düzeni |
|
Kısa rot |
Traktörlerde bu işlevi senkromeç adı verilen yapılar gerçekleştirir.
16.Soru
I-Öğütme
II-Kırılma
III-Parçalama
IV-Karıştırma
Sıkıştırma – ovalama – vurma – kesme etkili ifadeleri yukarıdan hangi işlemleri yapan makineler için kullanılmaktadır?
|
Yalnız I |
|
I ve II |
|
III ve IV |
|
I ve III |
|
Yalnız IV |
Öğütme ve parçalama işlemini yapan makinalar etki biçimlerine göre; sıkıştırma ve ovalama etkili değirmenler, vurma etkili değirmenler ve kesme etkili değirmenler olarak üç gruba ayrılabilir.
17.Soru
Aşağıda bir pompaj tesisi’nin gösterimi bulunmaktadır. Şekil üzerinde verilen numaralar (1-4) sırasıyla aşağıdakilerden hangisini tanımlar?
|
Basma Borusu, Pomba, Motor, Süzgeç |
|
Basma Borusu, Süzgeç, Pomba, Motor |
|
Pomba, Süzgeç, Basma Borusu, Motor |
|
Pomba, Basma Borusu, Motor, Süzgeç |
|
Motor, Süzgeç, Pomba, Basma Borusu |
Şekil üzerinde; 1-Basma Borusu, 2- Pomba, 3- Motor, 4- Süzgeç ifade etmektedir.
18.Soru
Şeker pancarı hasatında 3 ayrı makine ve toplamda 4 araç kullanılan hasat türü hangisidir?
|
Kombine hasat |
|
İki kademeli hasat |
|
Üç kademeli hasat |
|
Dört kademeli hasat |
|
Tek kademeli hasat |
Üç kademeli hasatta baş kesme, sökme ve yükleme için üç ayrı makine kullanılır. Taşıma işlemi için de bir araç kullanılacağından toplam dört araç kullanılmış olur.
19.Soru
Kazıcı fırlatıcılar, patates yumruları ile yabancı maddeleri ne kadar yana fırlatır?
|
2 m |
|
1- 1.5 m |
|
2- 2.5 m |
|
1.5-2 m |
|
3 m |
Kazıcı fırlatıcılar, patates yumruları ile yabancı maddeleri 1.5-2 m yana fırlatır.
20.Soru
Gövde silkeleyiciler hakkında verilen bilgilerden hangisi doğrudur?
|
İş verimleri düşüktür |
|
Güç gereksinimleri azdır |
|
Bakım ve kullanımları kolaydır |
|
Maliyetleri düşük |
|
Kelepçelidir |
Gövde silkeleyiciler ağacın gövdesine bağlanarak tüm gövdeyi silkeler. Gövde silkeleyicilerin iş verimleri yüksek, bakım ve kullanımları kolay ancak maliyetleri yüksektir.
-
- 1.SORU ÇÖZÜLMEDİ
- 2.SORU ÇÖZÜLMEDİ
- 3.SORU ÇÖZÜLMEDİ
- 4.SORU ÇÖZÜLMEDİ
- 5.SORU ÇÖZÜLMEDİ
- 6.SORU ÇÖZÜLMEDİ
- 7.SORU ÇÖZÜLMEDİ
- 8.SORU ÇÖZÜLMEDİ
- 9.SORU ÇÖZÜLMEDİ
- 10.SORU ÇÖZÜLMEDİ
- 11.SORU ÇÖZÜLMEDİ
- 12.SORU ÇÖZÜLMEDİ
- 13.SORU ÇÖZÜLMEDİ
- 14.SORU ÇÖZÜLMEDİ
- 15.SORU ÇÖZÜLMEDİ
- 16.SORU ÇÖZÜLMEDİ
- 17.SORU ÇÖZÜLMEDİ
- 18.SORU ÇÖZÜLMEDİ
- 19.SORU ÇÖZÜLMEDİ
- 20.SORU ÇÖZÜLMEDİ