Teknolojinin Bilimsel İlkeleri 2 Final 8. Deneme Sınavı
Toplam 20 Soru1.Soru
Işığın kırılması ile ilgili olarak verilen bilgilerden hangisi yanlıştır?
|
Kırılma indisi büyük ise optikçe yoğun ortamdır
|
|
Normal doğrultusunda gelen ışınlar kırılmaz
|
|
Az yoğun ortamdan çok yoğun ortama geçen ışık normalden uzaklaşarak kırılır
|
|
Işık farklı ortamlarda farklı hızla ilerler |
|
Gelen ışının doğrultusu ile kırılan ışın arasındaki açı sapma açısıdır |
Az yoğun ortamdan çok yoğun ortama geçen ışık ışınları normale yaklaşarak kırılır.
2.Soru
Işığın ortam değiştirirken doğrultu değiştirmesi olayı aşağıdakilerden hangisinde doğru olarak ifade edilmiştir?
|
Işığın yansıması
|
|
Işığın geçişi
|
|
Işığın kırılması
|
|
Işığın yayılması |
|
Işığın dalga boyu |
Işığın ortam değiştirirken doğrultu değiştirmesi olayı ışığın kırılması olarak adlandırılır.
3.Soru
Kütle numarası 238 olan uranyum atomunun nötron sayısı 146 ise atom numarası aşağıdakilerden hangisidir?
|
73
|
|
146
|
|
92
|
|
119 |
|
238 |
A=Z+N olduğundan
Z=A-N=238-146=92 proton sayısıdır.
Atom numarası da proton sayısına eşittir.
4.Soru
Esneklik katsayısı (k) 300 N/m olan bir cisme, 30 N’luk bir germe kuvveti (F) uygulanırsa, cismin boyundaki artış (ΔL) ne kadar olur?
|
0,1m
|
|
0,01m
|
|
0,3 m
|
|
0,03 m |
|
1m |
ΔL = F/k formülünden 30/300=0,1m olarak hesaplanır.
5.Soru
Havanın içerisinde en çok bulunan gaz ve yaklaşık yüzdesi hangi seçenekte doğru verilmiştir?
|
Oksijen, %21
|
|
Azot, %78
|
|
Oksijen, %78
|
|
Azot, %21 |
|
Argon, %1 |
Yaşam kaynağımız olan hava aslında bize sağladığı oksijenin yanında azot (N2), argon (Ar) ve karbondioksit gazlarını da içermektedir. Yaklaşık yüzdeleri Azot % 78, Oksijen %21, Argon %1 ve CO2 % 0.03 tür.
6.Soru
Maddelerin sıcaklıkla genleşip farklı uzama göstermelerine bağı olarak aşağıdaki sıcaklık ölçerlerden hangisi üretilmiştir?
|
Termostat
|
|
Termoelektrik çift
|
|
Optik pirometre
|
|
Gazlı termometre |
|
Sıvılı termometreler |
Maddelerin sıcaklıkla genleşip farklı uzama göstermelerine bağlı olarak termostatlar üretilmiştir.
7.Soru
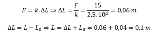
Esneklik katsayısı 2,5.102 olan bir cismin başlangıçtaki boyu 4 cm ise 15 N’luk bir germe kuvveti sonucunda boyu ne kadar olur?
|
0,6 m
|
|
0,04 m
|
|
0,06 m
|
|
0,1 m |
|
0,01 m |
8.Soru
Aşağıda verilen ifadelerden hangisi doğrudur?
|
Fahrenheit derecesi 0-212 arasında ölçüm içindir
|
|
Moleküllerin hareketi yavaşlarsa sıcaklık değişmez
|
|
Sıcaklık ölçülendirmesi için buharlaşan suya atanan değer belirleyicidir
|
|
Kelvin derecesi için mutlak sıfır -273 santigrat derecedir |
|
Reamur ölçeği erimiş buza karşılık 32 sayısını kullanır |
Bir maddenin sıcaklığını belirlemek için kullanılan ölçeklendirmede, uygun iki sıcaklık değeri arasındaki bölümlendirme oluşturmak için erimiş buza ve normal basınç altında kaynamakta olan suya atanan sayı değerleri değiştirilirse çeşitli ölçeklendirmeler ortaya çıkar. Yani:
- Erimiş buza 0 ve kaynayan suya 100 sayıları karşılık getirilerek santigrat-Celsius,
- Erimiş buza yine 0, fakat kaynayan suya 80 sayısı denk getirilerek Reamur,
- Erimiş buza 32, kaynayan suya 212 sayıları eşit alınarak Fahrenheit dereceleri elde edilir,
- Mutlak sıcaklık veya Kelvin ölçeğinde, erimiş buzun sıcaklığı için 273, kaynayan suyun sıcaklığı için ise 373 sayıları alınır.
9.Soru
Demirden yapılmış bir malzemenin 25°C’deki uzunluğu 70 cm ve boyca uzama katsayısı 0,000012 1/°C olarak verilmiştir. Bu malzemenin 75°C’deki uzunluğu nedir?
|
70,0200 m |
|
70,0378 m
|
|
70,0640 m
|
|
70,1378 m |
|
70,1640 m |
L=Lo(1+αΔt)
L=70.10-2(1+0,000012.(45))
L=70,0378 m
10.Soru
Oluşturulan bir sarsıntının veya titreşim hareketinin esnek bir ortam aracılığı ile bir noktadan başka bir noktaya iletilmesi aşağıdakilerden hangisi ile ifade edilir?
|
Taşıma hareketi
|
|
Dalga hareketi
|
|
Titreşim hareketi
|
|
Dağılma hareketi |
|
Serbest düşme |
Oluşturulan bir sarsıntının veya titreşim hareketinin esnek bir ortam aracılığı ile bir noktadan başka bir noktaya iletilmesine dalga hareketi denir.
11.Soru
Birbirlerine paralel olarak bağlanmış C1 = 5µF, C2 = 4µF ve C3 = 8µF sığa değerlerine sahip olan üç kondansatör ile 10 voltluk bir batarya devresinin eşdeğer sığası (Ceş) aşağıdakilerden hangisidir?
|
8 µF |
|
12 µF |
|
17 µF |
|
22 µF |
|
25 µF |
Paralel bağlı kondansatörlerde eşdeğer sığa Ceş=C1+C2+C3 formülünden Ceş=5+4+8=17 µF hesaplanır.
12.Soru
Frekansı en küçük (dalga boyu en büyük) elektromanyetik dalgalar aşağıdakilerden hangisidir?
|
Mikro dalgalar
|
|
X Işınları
|
|
Kızıl ötesi ışınlar
|
|
Gamma ışınları |
|
Radyo dalgaları |
Frekansı en küçük (dalga boyu en büyük) elektromanyetik dalgalar radyo dalgaları olarak adlandırılır.
13.Soru
Aşağıdakilerden hangisi düşük basınçtaki bir gaz ile doldurulmuş silindirik bir metal tüp ve tüp ekseni boyunca uzun bir tel içeren dedektördür.
|
İyonlaşma odası
|
|
Orantılı sayaç
|
|
Sintilasyon sayacı
|
|
Geiger-Müller sayacı |
|
Sis odası |
Geiger-Müller Sayacı: Geiger-Müller sayacı, düşük basınçtaki bir gaz ile doldurulmuş silindirik bir metal tüp ve tüp ekseni boyunca uzun bir tel içerir.
14.Soru
Frekansı en küçük (dalgaboyu en büyük) ve frekansı en büyük (dalgaboyu en küçük) elektromanyetik dalgalar sırasıyla aşağıdakilerden hangisinde sırasıyla doğru verilmiştir?
|
Radyo-gamma
|
|
Radyo-beta
|
|
Gamma-radyo
|
|
Gamma-beta |
|
Gamma-X |
Frekansı en küçük (dalgaboyu en büyük) elektromanyetik dalgalar radyo dalgaları olarak adlandırılır. Frekansı en büyük (dalgaboyu en küçük) elektromanyetik dalgalar ise gamma ışınları olarak adlandırılır.
15.Soru
Aşağıdakilerden hangisi bir devredeki küçük elektrik akımlarını ölçmeye yarayan bir elektriksel alettir?
|
Solenoid |
|
Jeneratör |
|
Transformatör |
|
Galvanometre |
|
Elektrik motoru |
Solenoid, helis biçiminde sıkıca sarılmış uzun bir teldir. Jeneratör mekanik enerjiyi, elektrik enerjisine çeviren bir cihazdır. Transformatörler, bir devrede potansiyel farkını veya akımı indirmek ya da yükseltmek için kullanılır. Elektrik motoru ise elektrik enerjisini, mekanik enerjiye çeviren makinedir.
16.Soru
Yenilenebilir enerji kaynaklarından güneş pillerinin temel malzemesi nedir?
|
Süper iletken |
|
Yarı yalıtkan |
|
İletken |
|
Yarı iletken |
|
Yalıtkan |
Yenilenebilir enerji kaynaklarından güneş pillerinin temel malzemesi yarı iletkendir.
17.Soru
Üç tane birbirine eşit paralel bağlı direncin eşdeğeri 12 Ω ise direncin değeri kaç Ω’ dur?
|
4 |
|
1/4 |
|
6 |
|
12 |
|
36 |
18.Soru
Aşağıdaki ifadelerden hangisi doğrudur?
|
Paslanma bütün metallerde gerçekleşmez.
|
|
Paslanma metallerin hidrojenle reaksiyona girmesidir.
|
|
Paslanan maddelerin kütlesi azalır.
|
|
Paslanma bir anlamda metalin kendini korumasıdır. |
|
Pas, özellikle karbondioksit için kullanılan terimdir. |
Paslanma bütün metallerde gerçekleşir. Paslanma metallerin oksijenle reaksiyona girmesidir. Paslanan maddelerin kütlesi artar. Paslanma bir anlamda metalin kendini korumasıdır. Pas, özellikle demir oksit için kullanılan terimdir.
19.Soru
Radyo ve televizyon dalgaları, mikrodalgalar, kızılötesi ışınlar, görünür bölgedeki ışınların ortak özelliği aşağıdakilerden hangisidir?
|
Dalga boyları aynıdır.
|
|
İyonlaştırıcı Radyasyon özelliği vardır.
|
|
Düşük enerjiye sahiptir.
|
|
Gözle görünürler. |
|
Ses hızı ile yayılırlar. |
Madde içinde elektronları çekirdekten kopararak iyonlaştırmayan radyasyona iyonlaştırıcı olmayan radyasyon denir. Radyo ve televizyon dalgaları, mikrodalgalar, kızılötesi ışınlar, görünür bölgedeki ışınlar düşük enerjiye sahip oldukları için iyonlaştırıcı özellik taşımamaktadır.
20.Soru
Şekilde verilen X açısının ölçüsü 40° ise yansıyan ışınla yüzey arasındaki açının değeri nedir?
|
100°
|
|
80°
|
|
50°
|
|
40° |
|
20° |
Gelen ışınla yansıyan ışın arasındaki açı 2x40 = 80° olacağından, yansıyan ışının yüzeyle yaptığı açı (180-80)/2=100/2=50° dir.
-
- 1.SORU ÇÖZÜLMEDİ
- 2.SORU ÇÖZÜLMEDİ
- 3.SORU ÇÖZÜLMEDİ
- 4.SORU ÇÖZÜLMEDİ
- 5.SORU ÇÖZÜLMEDİ
- 6.SORU ÇÖZÜLMEDİ
- 7.SORU ÇÖZÜLMEDİ
- 8.SORU ÇÖZÜLMEDİ
- 9.SORU ÇÖZÜLMEDİ
- 10.SORU ÇÖZÜLMEDİ
- 11.SORU ÇÖZÜLMEDİ
- 12.SORU ÇÖZÜLMEDİ
- 13.SORU ÇÖZÜLMEDİ
- 14.SORU ÇÖZÜLMEDİ
- 15.SORU ÇÖZÜLMEDİ
- 16.SORU ÇÖZÜLMEDİ
- 17.SORU ÇÖZÜLMEDİ
- 18.SORU ÇÖZÜLMEDİ
- 19.SORU ÇÖZÜLMEDİ
- 20.SORU ÇÖZÜLMEDİ