Teknolojinin Bilimsel İlkeleri Ara 1. Deneme Sınavı
Toplam 20 Soru1.Soru
Bir makinenin ........... , makineden alınan gücün makineye verilen güce oranı olarak tarif edilir. Boşluğa aşağıdakilerden hangisi gelmelidir?
Bir makinenin ........... , makineden alınan gücün makineye verilen güce oranı olarak tarif edilir. Boşluğa aşağıdakilerden hangisi gelmelidir?
|
gücü |
|
enerjisi |
|
potansiyeli |
|
işi |
|
verimi |
Bir makinenin verimi, makineden alınan gücün makineye verilen güce oranı olarak tarif edilir.
2.Soru
Hangi kuvvetin yıldızların galaksi içindeki hareketinden bir elmanın dalından düşmesine kadar birçok olayda etkisi vardır?
Hangi kuvvetin yıldızların galaksi içindeki hareketinden bir elmanın dalından düşmesine kadar birçok olayda etkisi vardır?
|
Güçlü çekirdek kuvvetleri |
|
Temas kuvvetleri |
|
Zayıf çekirdek (nükleer) kuvvetler |
|
Elektro-zayıf kuvvetler |
|
Kütle çekim kuvveti |
Kütle çekim kuvveti: Günlük yaşamın her aşamasında karşılaştığımız bu temel kuvvet aslında kütleler arasında karşılıklı olarak doğan çekme kuvvetidir. Yıldızların galaksi içindeki hareketinden bir elmanın dalından düşmesine kadar birçok olayda bu kuvvetin etkisi vardır.
3.Soru
Cismin hızından ötürü sahip olduğu enerji olan ve cismin sahip olduğu hızın doğrultusundan bağımsız her zaman pozitif değer alan enerji aşağıdakilerden hangisidir?
Cismin hızından ötürü sahip olduğu enerji olan ve cismin sahip olduğu hızın doğrultusundan bağımsız her zaman pozitif değer alan enerji aşağıdakilerden hangisidir?
|
Kinetik enerji |
|
Potansiyel enerji |
|
İş enerjisi |
|
Enerjinin korunumu |
|
Esneklik potansiyel enerjisi |
Kinetik enerji, cismin hızından ötürü sahip olduğu enerjidir. Kinetik enerji cismin sahip olduğu hızın doğrultusundan bağımsız her zaman pozitif değer alır.
4.Soru
Düzgün doğrusal hareket eden bir cismin konum-zaman grafiği çizildiğinde grafik x ekseni ile 60 derecelik bir açı yapmaktadır. Bu durumda bu aracın hız zaman grafiğinin y ekseni ile yaptığı açı kaç derece olur?
|
0 |
|
30 |
|
45 |
|
60 |
|
90 |
Düzgün doğrusal hareket eden bir cismin konum-zaman, hız-zaman veya ivme-zaman grafikleri şekildeki gibidir. Bu durumda konum zaman grafiğinin eğim açısı ne olursa olsun cisim sabit hızlı olacağından hız-zaman grafiği x eksenine paralel olacaktır.
5.Soru
Düz bir yolda giden araç aracın sabit hızı 200 km/h ve aynı yönde giden diğer aracın hızı ise 80 k/h dir. 200 km/h sabit hızla giden araç diğer aracı geçerken bu Newton’un hangi yasasını gösterir ve otomobillerin hızına etki eden kuvvet kaç olmalıdır?
|
Newton’un birinci yasasına göre her araca etki eden aracın net kuvveti sıfırdırdan fazladır. |
|
Newton’un birinci yasasına göre her araca etki eden aracın net kuvveti her iki araç için farklıdır. |
|
Newton’un ikinci yasasına göre her araca etki eden aracın net kuvveti bilieşke kuvvetleri ile açıklanır. |
|
Newton’un birinci yasasına göre her araca etki eden aracın net kuvveti sıfırdır. |
|
Newton’un ikinci yasasına göre, net kuvvet F sıfır olursa ivme a da sıfır olacaktır. |
İlk etapta daha yüksek hızla hareket eden yarış otomobiline etki eden net kuvvetin daha büyük olması gerektiği izlenimine kapılsak da buradaki anahtar kelime “sabit hız” dır. Her iki otomobil de sabit hız ile hareket ettiğinden, Newton’un birinci yasası gereğince otomobillerin her birine etki eden net kuvvet sıfırdır.
6.Soru
Aşağıdakilerden hangisinde sıvının özkütlesinin zaman içinde sabit kaldığı kabul edilir?
|
Vizkoz olmayan akışkan |
|
Kararlı akış |
|
Sıkıştırılmayan akışkan |
|
Girdapsız akış |
|
Kararsız akış |
Sıkıştırılamayan akışkada sıvının özkütlesinin zaman içinde sabit kaldığı kabul edilmektedir. Doğru yanıt C seçeneğidir.
7.Soru
3 kg kütleli bir cisme 6 m/s2’ lik ivme kazandıran bir kuvvet, diğer bir cisme uygulandığında ise 9 m/s2’ lik ivme kazandırıyor. (m2=F/a2) bu formüle göre, diğer cismin kütlesi nedir?
|
2 kg |
|
1 kg |
|
5 kg |
|
3 kg |
|
Sıfırdır. |
Newton’ un ikinci yasasından m1 = 3 kg’ lık kütleye etki eden kuvvetin büyüklüğü,
F = m1 a1 = (3 kg) (6m/s2) = 18N olmalıdır. Bu kuvvet m2 kütleli diğer bir cisme uygulandığında 9 m/s2 ivme kazandırdığına göre,
m2= F/a2=18N/(9m/s2)=2 kg
8.Soru
Kuvvet,gözle görülmeyen fakat etkileri gözlenen veya hissedilen herhangi bir itmeye veya çekmeye verilen isimdir. Bu tanımdan yararlanılarak doğada kaç çeşit temel kuvvet vardır?
|
Doğada, kütle-çekim kuvveti, elektro-zayıf kuvvetler ve güçlü çekirdek kuvvetleri olmak üzere üç temel kuvvet bulunur. |
|
Varlıklarının doğasında temel kuvvetler ve bunlardan türetilmiş kuvvetler olmak üzere iki çeşit temel kuvvet vardır. |
|
Temas ve alan kuvvetleri olarak iki temel kuvvet vardır. |
|
Zayıf ve şiddetli nükleer kuvvet olmak üzere doğada iki çeşit temel kuvvet vardır. |
|
Kütle çekim kuvveti ve elektromanyetik kuvvet olmak üzere iki temel kuvvet vardır. |
Doğadaki temel kuvvetler; kütle çekim kuvveti, elektro-zayıf kuvvetler ve güçlü çekirdek kuvvetleridir.
9.Soru
Hangisi birim alan başına uygulanan dik kuvvetin büyüklüğüdür?
Hangisi birim alan başına uygulanan dik kuvvetin büyüklüğüdür?
|
Basınç |
|
Özkütle |
|
Viskoz |
|
İvme |
|
Özgül ağırlık |
Basınç, birim alan başına uygulanan dik kuvvetin büyüklüğüdür. Bu durumda P basıncı, P = F/A ? olarak tanımlanır ve basınç için SI birimi, metrekare başına newton (N/m2) olup, bu birime pascal (Pa) adı verilmiştir:
10.Soru
Ölçü sayısı ve birimi verildiğinde basit aritmetik kurallara göre toplanabilen ve farkları alınabilen büyüklüklere ne ad verilir?
|
Rastgele |
|
Büyük |
|
Türetilmiş |
|
Skaler |
|
Temel |
Ölçü sayısı ve birimi verildiğinde tanımlanabilen büyüklüklere skaler büyüklük denir. Skaler büyüklükler basit aritmetik kurallara göre toplanabilir, farkları alınabilir.
11.Soru
4 kg kütleli bir cisme, 16 N'lık bir kuvvet uygulandığında oluşan ivmeyi, 8 kg kütleli bir cisimde ne kadarlık bir kuvvet uygulanarak kazandırılabilir? Bularak doğru şıkkı işaretleyiniz.
|
16 N |
|
24 N |
|
32 N |
|
36 N |
|
40 N |
Bir cismin ivmesi, o cisme etki eden net(bileşke) kuvvetle doğru orantılı, kütlesi ile ters orantılıdır. Bu ifade matematiksel olarak,
F = m a bağıntısı ile verilir. Buna göre,
a = F / m , a= 16 N / 4 kg = 4 m/s2 ivme ilk cisme uygulanır. 8 kg kütlelik cisim için bağıntıyı yazarsak;
F= m a ,
F=8kg x 4 m/s2
F=32 N olarak bulunur. Doğru cevap C'dir.
12.Soru
- Alınan yol skaler bir niceliktir.
- Yer değiştirme vektörel bir niceliktir.
- Hız skalerdir.
- Sürat vektöreldir.
- Ortalama hız ve ortalama sürat her zaman aynıdır.
Kinematiğin temel kavramları ile ilgili yukarıdaki bilgilerden hangisi ya da hangileri doğrudur?
|
I, II, III, IV |
|
I, II |
|
I, III |
|
II, IV |
|
Sadece V |
Alınan yol skaler, yer değiştirme ise vektörel bir niceliktir. Buna bağlı olarak hız yönlü yani vektörel bir nicelik olmasına karşın, sürat skalerdir. Ortalama hızın hesabı için yer değiştirme dikkate alınırken, ortalama sürat için önemli olan alınan toplam yoldur. Bu nedenle ortalama hız ve ortalama sürat her zaman aynı çıkmayabilir.
13.Soru
- Mekanik enerji, cismin kinetik ve potansiyel enerjisinin toplamıdır.
- İş yapabilme yeteneğine enerji denir.
- İş ve enerji birimleri aynıdır.
- Enerji vektörel bir büyüklüktür.
Enerji hakkında yukarıda verilenlerden hangisi ya da hangileri doğrudur?
|
I, II |
|
I, II, III |
|
II, III |
|
I, III, IV |
|
I, II, III, IV |
Enerji vektörel değil skaler bir büyüklüktür. Diğer ifadeler doğrudur.
14.Soru
1931 yılında çıkarılan Ölçü ve Tartılar Kanunu ile metrik ölçü ve tartıların kullanımı 1 Ocak 1933’de zorunlu kılınmıştır. Aşağıdaki tarihlerden hangisi metrik ölçünün tüm Türkiye’de uygulanmaya başlandığı tarihtir?
|
1 Ocak 1934 |
|
1 Ocak 1935 |
|
1 Ocak 1936 |
|
1 Ocak 1937 |
|
1 Ocak 1938 |
1931 yılında çıkarılan Ölçü ve Tartılar Kanunu ile metrik ölçü ve tartıların kullanımı 1 Ocak 1933’de zorunlu kılınmış ve 1 Ocak 1934 tarihinden itibaren tüm Türkiye’de uygulanmaya başlanmıştır.
15.Soru
90 km/h ifadesinin m/s cinsinden karşılığı nedir?
|
25
|
|
35
|
|
45
|
|
55
|
|
60 |
25
16.Soru
Daire şeklindeki (r=50 m ; pi=3) pistte aynı anda aynı noktadan ters yönde hareket eden abla (v=6 m/s) ve kız kardeş (v=4 m/s) bisikletliler, kaç saniye sonra karşılaşırlar?
|
10 |
|
12 |
|
15 |
|
18 |
|
30 |
v1 x t + v2 x t = 2 x pi x r ; 6 x t + 4 x t = 2 x 3 x 50 ; 10 x t = 300 ; t = 30 s.
17.Soru
Durgun halden harekete başlayan bir çocuk önce 20m güneye, daha sonra 50m kuzeye buradan da 40m doğuya düz bir hat üzerinde yol alıyor. Çocuk hareketi sonunda ne kadar yol almıştır ve çocuğun yer değiştirmesi nedir?
|
50 m; 40 m |
|
70 m; 30 m |
|
90 m; 50 m |
|
110 m; 50 m |
|
150 m: 20 m |
110 m; 50 m
18.Soru
Aşağıda verilen kinematiğin temel kavramlarından hangisi yanlıştır?
|
Aracın ya da hareketlinin ilk son konumları önemlidir.
|
|
İvme, birim zamanda hızda meydana gelen değişimin bir ölçüsüdür. |
|
Aracın hareket boyunca hangi yolu izlediği önemlidir. |
|
Sürat ve hız SI birim sisteminde m/s ile birimlendirilir.
|
|
Sürat hızın büyüklüğüdür. |
Aracın hareket boyunca hangi yolu izlediği önemlidir.
19.Soru
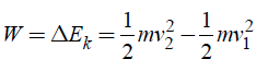
Belirli bir hızda hareket eden 4 kg kütleli bir cismin hızını 25 m/s'ye çıkarmak için 800 J'lük iş yapılmaktadır. Bu cismin ilk hızı nedir?
|
5 |
|
10 |
|
15 |
|
20 |
|
22 |
ifadesinde gerekli bilgiler yerine yazılırsa
800=(1/2).4.(625-V1^2) eşitliğinden V1=15 m/s bulunur.
20.Soru
Bir sıvının 20cm derinlikte yaptığı basınç, 80cm derinliğindeki suyun yaptığı basınca eşittir. Suyun yoğunluğu 1g/cm3 olduğuna göre sıvının yoğunluğu kaç g/cm3’tür?
|
1 |
|
2 |
|
3 |
|
4 |
|
5 |
Ps = dsghs = dgh,?ds g 20cm = (1g / cm3)g 80cm, ds = 80/20 =4g / cm3
-
- 1.SORU ÇÖZÜLMEDİ
- 2.SORU ÇÖZÜLMEDİ
- 3.SORU ÇÖZÜLMEDİ
- 4.SORU ÇÖZÜLMEDİ
- 5.SORU ÇÖZÜLMEDİ
- 6.SORU ÇÖZÜLMEDİ
- 7.SORU ÇÖZÜLMEDİ
- 8.SORU ÇÖZÜLMEDİ
- 9.SORU ÇÖZÜLMEDİ
- 10.SORU ÇÖZÜLMEDİ
- 11.SORU ÇÖZÜLMEDİ
- 12.SORU ÇÖZÜLMEDİ
- 13.SORU ÇÖZÜLMEDİ
- 14.SORU ÇÖZÜLMEDİ
- 15.SORU ÇÖZÜLMEDİ
- 16.SORU ÇÖZÜLMEDİ
- 17.SORU ÇÖZÜLMEDİ
- 18.SORU ÇÖZÜLMEDİ
- 19.SORU ÇÖZÜLMEDİ
- 20.SORU ÇÖZÜLMEDİ