Tıbbi İstatistik Final 14. Deneme Sınavı
Toplam 20 Soru1.Soru
- Gözlem-Sistematik veri toplama
- Görüşme-Özel veri toplama
- Anket-Özel veri toplama
- Kayıtlar-Sistematik veri toplama
- Sayım-Özel veri toplama
Yukarıda verilen eşleşmelerden hangileri doğrudur?
|
II-III ve IV |
|
I ve V |
|
I-II ve III |
|
III-IV-V |
|
IV-V |
Sistematik veri kaynakları: kayıtlar, sayımlar ve özel bildirimlerdir. Özel veri kaynakları ise gözlem, görüşme, anket, taramalar ve muayenelerdir. Doğru cevap A'dır.
2.Soru
Tanımlanan ana kütleden onu ilgilenilen değişkenler bakımından temsil eden sınırlı sayıda birimin belirli yöntemler kullanılarak seçilmesi ile ana kütle için tahmine dayalı bilgi edinme işlemine ne ad verilir?
|
Örneklem
|
|
Tam sayım
|
|
Örnekleme
|
|
Ana kütle
|
|
İstatistik
|
3.Soru
Aşağıdakilerden hangisi olasılıklı örnekleme yöntemlerinden biridir?
|
Kolayda Örnekleme
|
|
Yargısal Örnekleme
|
|
Kota Örneklemesi
|
|
Tabakalı Örnekleme
|
|
Kartopu Örneklemesi
|
4.Soru
Aşağıdakilerden hangisi anakütlenin hem zaman bakımından hem de mekan bakımından sınırlanmasına örnek teşkil eder?
|
2011 yılı Mart ayında trafik kazalarında ölenlerin sayısı |
|
2014-2015 eğitim-öğretim yılı liselerde çalışan öğretmen sayısı |
|
2014-2015 eğitim-öğretim yılı ilkokullarda okuyan öğrenci sayısı |
|
2018 yılında Eskişehir ilinde istatistik dersinden kalanların sayısı |
|
Eskişehir ili Alpu ilçesinde doğan bebeklerin sayısı |
2018 yılında Eskişehir ilinde istatistik dersinden kalanların sayısı anakütlenin hem zaman bakımından hem de mekan bakımından sınırlanmasına bir örnektir.
5.Soru
Aşağıdakilerden hangisi örnekleme sürecinin aşamaları arasında yer almaz?
|
Ana kütlenin tanımlanması
|
|
Çerçevenin belirlenmesi
|
|
Örnekleme yönteminin seçilmesi
|
|
İlave değişkenlerin eklenmesi
|
|
Örneklem hacminin belirlenmesi
|
6.Soru
Z, standart normal dağılıma sahip bir değişken olduğuna göre, P(0 < Z < 2.58) olasılığı kaçtır?
|
0.4772
|
|
0.4951
|
|
0.5000
|
|
0.1915
|
|
0.2857
|
7.Soru
Bir tesadüfi deneyin sonuçlarından her birine ne ad verilir?
|
Örneklem uzayı
|
|
Örnek nokta
|
|
Olay
|
|
Deney
|
|
Olasılık
|
8.Soru
Tanımlanan sonlu ana kütle heterojen özelliklere sahip birimlerden oluşuyorsa ve bu ana kütleden örneklem seçimi yapılacaksa hangi örnekleme yöntemi tercih edilmelidir?
|
Kota örneklemesi |
|
Tabakalı örnekleme |
|
Tek ve çok aşamalı örnekleme |
|
Kartopu örneklemesi |
|
Yargısal örnekleme |
Örneklem için birim seçiminin keyfi olarak yapıldığı yöntemlerden biri de kota örneklemesidir. Tanımlanan sonlu ana kütle heterojen özelliklere sahip birimlerden oluşuyorsa olasılıklı olmayan örnekleme yöntemleri grubundan kota örneklemesi temsili örneklem oluşturma amacıyla tercih edilmelidir.
9.Soru
Aşağıdaki hangi durumda örneklem istatistiğinden yararlanarak µ hakkında daha az hatalı, daha güvenilir bilgi üretmek mümkün olur.
|
Örneklem hacmi arttıkça |
|
Örneklem hacmi azaldıkça |
|
Örneklem standart sapması küçükse |
|
Örneklem standart sapması büyükse |
|
Örneklem aritmatik ortalaması küçükse |
Örneklem hacmi arttıkça, örneklem istatistiğinden yararlanarak µ hakkında daha az hatalı, daha güvenilir bilgi üretmek mümkün olur.
10.Soru
Aşağıdakilerden hangisi olasılıklı olmayan örnekleme yöntemlerinden biridir?
|
Basit Tesadüfi Örnekleme
|
|
Tabakalı Örnekleme
|
|
Yargısal Örnekleme
|
|
Sistematik Örnekleme
|
|
Tek ve Çok Aşamalı Örnekleme
|
11.Soru
Belirlilik katsayısı (r2) ile ilgili olarak aşağıdakilerden hangisi doğrudur?
|
0 < (r2) <1 arasında değer alır. |
|
Korelasyon katsayısının karesidir. |
|
Bağımsız değişkenin anlamlı olduğunu kesin olarak belirtir. |
|
Bağımlı değişkenin bağımsız değişkeni açıklama oranını ifade eder. |
|
Bağımlı değişkenin anlamlı olduğunu kesin olarak belirtir. |
Regresyon doğrusu belirlendikten sonra bağımsız değişkenin, bağımlı değişkeni hangi oranda açıkladığının da bilinmesi gerekir. Eğer bağımsız değişkenin, bağımlı değişkeni açıklama oranı yüksek ise, bağımsız değişken önemli bir değişken demektir ve denklemde yer almalıdır. Bağımsız değişkenin, bağımlı değişkeni açıklama oranı ise, korelasyon katsayısının karesi olan ve “Belirlilik Katsayısı” olarak isimlendirilen (r2) değeridir. Belirlilik katsayısının sınırları 0 ? (r2) ?1 şeklindedir.
Doğru cevap seçeneği B'dir.
12.Soru
Bağımsız değişkendeki bir birimlik değişimin, bağımlı değişken
üzerindeki artış veya azalış olarak yaptığı etkiyi gösteren katsayıya ne ad verilir?
|
Korelasyon katsayısı |
|
Sıra korelasyon katsayısı |
|
Belirlilik katsayısı |
|
En küçük kareler katsayısı |
|
Eğim katsayısı |
Bağımsız değişkendeki bir birimlik değişimin, bağımlı değişken
üzerindeki artış veya azalış olarak yaptığı etkiyi gösteren katsayıya eğim katsayısı aynı zamanda regresyon katsayısı” olarak da isimlendirilir
13.Soru
Aşağıdakilerden hangisi doğal olmayan birimdir?
|
Hasta |
|
Doktor |
|
Hemşire |
|
Enjektör |
|
Saf ipek kumaş |
Doğal olmayan birim, bir bütün olma niteliğinde olmayan, dolayısıyla parçalandığında ya da birleştirildiğinde birim olma niteliğini koruyan birimlerdir. Buna göre "saf ipek kumaş" doğal olmayan birimdir.
14.Soru
“Neden” niteliğindeki değişkene ne ad verilir?
|
Bağımlı değişken |
|
Açıklanan değişken |
|
Bağımsız değişken |
|
Serbest değişken |
|
Soru değişkeni |
Sonuç niteliğindeki değişkene “bağımlı (açıklanan) değişken”, “neden” niteliğindeki değişkene ise “bağımsız (açıklayan) değişken” adı verilir. Örneğin, özel bir hastaneye gelen hasta sayısı arttıkça, hastanenin geliri de artacaktır. O halde hasta sayısı “neden” durumunda olduğu için “bağımsız değişken”, hastane geliri de “sonuç” niteliğinde olduğu için “bağımlı değişken” konumunda olacaktır.
15.Soru
Merkezi limit teoremine göre, ana kütlenin dağılım şekli ne olursa olsun, ortalamanın örnekleme dağılımının normal dağılıma yaklaşabilmesi için yeterli örneklem hacmi uygulamada en az kaç birim olarak kabul edilir?
|
10
|
|
20
|
|
30
|
|
40
|
|
50
|
16.Soru
Korelasyon katsayısı r=0,75 olan iki değişken arasındaki ilişki ile ilgili olarak verilen ifadelerden hangisi doğrudur?
I-Değişkenler arasında hiçbir ilişki yoktur.
II-Değişkenler arasında aynı yönlü ilişki vardır.
III-Değişkenler arasında ters yönlü güçlü ilişki vardır.
IV-Değişkenler arasında aynı yönlü güçlü ilişki vardır.
V-Değişkenler arasında ters yönlü zayıf ilişki vardır.
VI-Değişkenler arasında aynı yönlü zayıf ilişki vardır.
|
Hepsi |
|
II-IV |
|
II-V |
|
IV-V-VI |
|
Yanlız I |
Korelasyon katsayısı x ve y değişkenlerinin ne derece birlikte değiştiklerinin bir ölçüsüdür ve alabileceği değerler –1 ve 1 arasında değişir. Korelasyon katsayısı pozitif ise, x ve y birlikte artar ya da azalırlar. Korelasyon katsayısının negatif olması ise x ve y arasında ters yönlü bir ilişki olduğunu ifade eder. Korelasyon katsayısının +1 ya da –1 değerlerine yakın olması değişkenler arasında çok kuvvetli bir ilişki olduğunu, sıfıra yakın olması ise değişkenler arasında hiç bir ilişki olmadığını ifade eder.Doğru cevap B'dir.
17.Soru
Meydana gelme olasılığının sayısal değeri 1 olan olaya ne denir?
|
Kesin
|
|
Ayrık
|
|
Olanaksız
|
|
Basit
|
|
Bileşik
|
18.Soru
Örneklem seçimi yaparken tesadüfi olarak evrenden seçilen herhangi bir birimin ikinci çekilişte de seçilme şansı verme aşağıdakilerde hangisinde yapılır?
|
Keyfi seçim |
|
iadeli seçim |
|
İadesiz seçim |
|
Sistematik seçim |
|
Aşamalı seçim |
Eğer basit tesadüfi örnekleme planlarında önceki çekilişte seçilen birim incelendikten sonra ana kütleye iade ediliyorsa, başka bir ifadeyle birimler
tekrar tekrar seçilme şansına sahipse bu seçim sürecine iadeli tesadüfi seçim süreci adı verilir. Bu seçim sürecinde ana kütle hacmi çekilişten çekilişe değişmez. Sonlu bir ana kütleden iadeli seçimle bir tesadüfi örneklem seçilirse sonsuz ana kütleden basit tesadüfi örnekleme yapılıyormuş gibi bir anlam ifade eder.Bu çekiliş sürecinde ana kütledeki her birimin yapılacak çekilişlerin her birinde birbirine eşittir.1/N olan seçilme olasılığına sahiptir ve birbirini izleyen çekilişler bağımsızdır.
19.Soru
Tek-Yönlü Varyans Analizi'nde hangi test kullanılır?
|
Student-t Testi
|
|
Ki-kare Bağımsızlık Testi
|
|
F-Testi
|
|
z-Testi
|
|
Ki-kare Homojenlik Testi
|
20.Soru
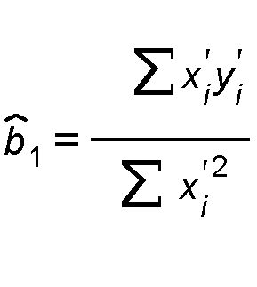
x bağımsız ve y bağımlı değişkenlerine ilişkin yukarıda verilen hesaplamalara göre regresyon doğrusu denkleminin eğim katsayısı değeri kaçtır?
|
0,06 |
|
0,24 |
|
4,05 |
|
11,70 |
|
34,56 |
Regresyon doğrusu denkleminin eğim katsayısı,
formülü ile hesaplanmaktadır. Buna göre;
olarak hesaplanır. Doğru cevap C'dir.
-
- 1.SORU ÇÖZÜLMEDİ
- 2.SORU ÇÖZÜLMEDİ
- 3.SORU ÇÖZÜLMEDİ
- 4.SORU ÇÖZÜLMEDİ
- 5.SORU ÇÖZÜLMEDİ
- 6.SORU ÇÖZÜLMEDİ
- 7.SORU ÇÖZÜLMEDİ
- 8.SORU ÇÖZÜLMEDİ
- 9.SORU ÇÖZÜLMEDİ
- 10.SORU ÇÖZÜLMEDİ
- 11.SORU ÇÖZÜLMEDİ
- 12.SORU ÇÖZÜLMEDİ
- 13.SORU ÇÖZÜLMEDİ
- 14.SORU ÇÖZÜLMEDİ
- 15.SORU ÇÖZÜLMEDİ
- 16.SORU ÇÖZÜLMEDİ
- 17.SORU ÇÖZÜLMEDİ
- 18.SORU ÇÖZÜLMEDİ
- 19.SORU ÇÖZÜLMEDİ
- 20.SORU ÇÖZÜLMEDİ