Tıbbi İstatistik Final 15. Deneme Sınavı
Toplam 20 Soru1.Soru
Bir huzurevindeki yaşlıların %40'ı yüksek tansiyon, %35'i diyabet rahatsızlığı nedeniyle tadavi görmektedir. Ayrıca %20'si hem yüksek tansiyon hem de diyabet rahatsızlığı nedeniyle tadavi görmektedir. Tesadüfi olarak seçilen bir kişi yüksek tansiyon tedavisi gördüğü bilindiğine göre, bu kişinin diyabet tedavisi görme olasılığı aşağıdakilerden hangisidir?
|
0,57
|
|
0,55
|
|
0,40
|
|
0,75
|
|
0,50
|
2.Soru
İki ya da daha fazla grubun sınıflayıcı veya sıralayıcı ölçme düzeyinde ölçülmüş değişken bakımından farklılığını araştıran test aşağıdakilerden hangisidir?
|
t-testi
|
|
z-testi
|
|
Ki-Kare testi
|
|
F testi
|
|
Ortalama testi
|
3.Soru
Sınıflayıcı ve sıralayıcı ölçekle ölçülmüş değişkenlere ilişkin test aşağıdakilerden hangisidir?
|
t - Testi
|
|
z - Testi
|
|
F - Testi
|
|
Ki – Kare Testi
|
|
Oran Testi
|
4.Soru
İkiden çok ana kütle ortalamasına ilişkin test aşağıdakilerden hangisidir?
|
t-testi
|
|
z-testi
|
|
F-testi
|
|
Ki-Kare testi
|
|
Oran testi
|
5.Soru
Ki kare testinin serbestlik derecesi aşağıdakilerden hangisidir?
|
Değişken sayısı |
|
satır sayısı |
|
sütun sayısı |
|
Ki kare testinin serbestlik derecesi 1 dir |
|
Satır sayısının bir eksiği ile sütun sayısının bir eksiği çarpımıdır |
Ki kare testinde serbestlik derecesi, R satır sayısı, C sütun sayısı olmak üzere (R-1)(C-1) çarpımıdır.
6.Soru
Tam sayım sonucu elde edilen veriler kullanılarak hesaplanan sayısal değerlere ne ad verilir?
|
Parametre
|
|
Ana kütle
|
|
Örneklem
|
|
İstatistik
|
|
Örnekleme
|
7.Soru
Üzerinde herhangi bir düzenleme ya da işlem yapılmaksızın, toplanan ilk verilere ne ad verilir?
|
Gözlem
|
|
Bilgi
|
|
Ham veri
|
|
Güncel veri
|
|
Derlenmiş veri
|
8.Soru
Ortalamalar örnekleme dağılımının normal olabilmesi için, örneklem hacminin en az kaç olması gerekir?
|
20 |
|
25 |
|
30 |
|
35 |
|
50 |
Ortalamalar örnekleme dağılımının normal olabilmesi için, ana kütlenin normal dağılması ya da örneklem hacminin en az 30 olması gerekir
9.Soru
Tanımlanan ana kütlenin birimleri araştırmaya konu olan değişkenler bakımından heterojen olduğu durumda aşağıdaki örnekleme yöntemlerinden hangisi uygulanabilir?
|
Tabakalı örnekleme
|
|
Basit tesadüfi örnekleme
|
|
Tek aşamalı örnekleme
|
|
İki aşamalı örnekleme
|
|
Çok aşamalı örnekleme
|
10.Soru
Aşağıdakilerden hangisi yanlıştır?
|
Örneklem uzayındaki temel sonuçların bir alt kümesine olay denir. |
|
İki bağımlı olaydan birincisinin gerçekleştiği bilindiğinde ikincisinin ona bağlı olarak gerçekleşme olasılığına koşullu olasılık denir. |
|
Olasılık belirsizliğin bir ölçüsüdür. |
|
Bir tesadüfi deneyin tüm olası sonuçlarını içeren kümeye örneklem uzayı denir. |
|
Hileli bir paranın atılması deneyi tesdadüfi olaydır. |
Para hileli ise olay tesadüfi olmaz
11.Soru
Aralıklı ölçekle elde edilen verilerle hangi işlem sonucu anlamlı olmaz?
|
Sınıflama
|
|
Sıralama
|
|
Toplama
|
|
İki değer arası fark
|
|
İki değer arası oran
|
12.Soru
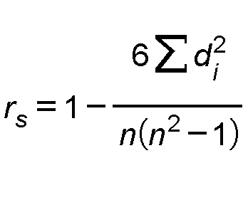
9 adet gözlem birimi içeren bir çalışmada gözlem sıralamalarının arasındaki farkların karelerinin toplamı 12 ise, sıra korelasyon katsayısı kaçtır?
|
0,1 |
|
0,2 |
|
0,5 |
|
0,8 |
|
0,9 |
n: gözlem sayısı ve di: sıralamalar arasındaki farklar olmak üzere sıra korelasyon katsayısı (rs),
formülü ile hesaplanmaktadır. Buna göre,
olarak hesaplanır. Doğru cevap E'dir.
13.Soru
İki sözel değişken arasındaki ilişkinin derecesini gösteren katsayıya ne ad verilir?
|
Basit korelasyon katsayısı |
|
Sıra Korelasyon Katsayısı |
|
Regresyon katsayısı |
|
En küçük kareler katsayısı |
|
Belirlilik katsayısı |
Birçok durumda değişkenler sayısal olarak ölçülemez. Örneğin meslek, hastanın sosyal güvence durumu, çeşitli marka tercihleri v.b değişkenler sözel değişkenlerdir. Diğer taraftan, bazı durumlarda gözlem değerlerine “sıra numarası“ verilmesi daha uygun olabilir veya gözlem değerleri herhangi bir ölçüte göre zaten sıralanmış olabilir. Değişkenlerin değerleri yerine sıralarının önem kazandığı böyle durumlarda doğrusal korelasyon katsayısı yerine, “sıra korelasyon katsayısı“ (Spearman korelasyon katsayısı) kullanılır.
14.Soru
Aşağıdakilerden hangisi derleme türü değildir?
|
Genel Derleme
|
|
Devamlı Derleme
|
|
Kısmi Derleme
|
|
Olay Derleme
|
|
Ani Derleme
|
15.Soru
İki değişken arasında negatif basit korelasyon varsa aşağıdakilerden hangisi söylenebilir?
|
Değişkenler arasında ilişki yoktur |
|
İki sözel değişkenin biri artarken diğerinin azalması durumu |
|
İki sözel değişkenin biri artarken diğerininde artması durumu |
|
İki sayısal değişkenin biri azalırken diğerininde artması durumu |
|
İki sayısal değişkenin biri azalırken diğerininde azalması durumu |
İki değişken ters yönlerde değişme eğilimi gösteriyorlarsa, negatif korelasyonlu oldukları ifade edilir.Örneğin özel bir hastanenin hastalara sunduğu hizmet bedeli arttığında hasta sayısında bir azalma oluyorsa, bu durumda bu değişkenler arasında negatif yönlü bir ilişkiden söz edilir Sayısal değişkenler arasındaki ilişkinin analizi iki şekilde yapılabilir. Bunlar korelasyon ve regresyon analizidir.
16.Soru
13, 7, 2, 21, 6, 13, 6, 6, 21, 13, 2, 13, 25, 25
Yukarıdaki sayı dizisinin tepe değeri nedir?
|
2 |
|
6 |
|
13 |
|
25 |
|
26 |
En sık tekrarlanan değer 13'tür.
17.Soru
Yaşlıların daha sıklıkla hastaneye gittiği öne sürülmüştür. Bu amaçla yapılan araştırma sonucunda bulunan korelasyon katsayısı r =0.03 tür. Bu durumda aşağıdakilerden hangisi söylenebilir.
|
Hastaneye gitme ile yaşlılık arasında ilişki yoktur. |
|
Hastaneye gitme ile yaşlılık arasında arasında ters yönlü zayıf bir ilişki |
|
Hastaneye gitme ile yaşlılık arasında arasında aynı yönlü zayıf bir ilişki |
|
Hastaneye gitme ile yaşlılık arasında arasında ters yönlü negatif kuvvetli bir |
|
Hastaneye gitme ile yaşlılık arasında arasında pozitif kuvvetli bir |
Korelasyon katsayısının +1 ya da –1 değerlerine yakın olması değişkenler arasında çok kuvvetli bir ilişki olduğunu, sıfıra yakın olması ise değişkenler arasında hiç bir ilişki olmadığını ifade eder. Doğru cevap A şıkkıdır
18.Soru
Bir toplumun 0.20’si X hastalığı taşıyıcısıdır. Bu toplumdan tesadüfi olarak seçilen 10 kişiden yarısının bu hastalığın taşıyıcısı olma olasılığını bulunuz.
|
0.026
|
|
0.015
|
|
0.032
|
|
0.075
|
|
0.044
|
19.Soru
İki değişken arasındaki ilişkinin yönünü ve derecesini veren analize ne ad verilir?
|
Korelasyon analizi |
|
Regresyon analizi |
|
Varyans |
|
Belirlilik Katsayısı |
|
Standart Hata |
Korelasyon analizi x ve y gibi herhangi iki değişken arasındaki ilişkinin yönünü ve derecesini verir. Doğru cevap A'dır.
20.Soru
X rassal değişkenin olasılık dağılımı aşağıdaki tabloda verildiği gibidir.
X rassal değişkeninin ortalaması kaçtır ?
| X=x | 0 | 1 | 2 | 3 |
| P(X=x) | 0,10 | 0,20 | 0,30 | 0,40 |
|
0,90 |
|
1,00 |
|
1,30 |
|
2,00 |
|
2,30 |
0.(0,10)+1.(0,20)+2.(0,30)+3.(0,40)=2
-
- 1.SORU ÇÖZÜLMEDİ
- 2.SORU ÇÖZÜLMEDİ
- 3.SORU ÇÖZÜLMEDİ
- 4.SORU ÇÖZÜLMEDİ
- 5.SORU ÇÖZÜLMEDİ
- 6.SORU ÇÖZÜLMEDİ
- 7.SORU ÇÖZÜLMEDİ
- 8.SORU ÇÖZÜLMEDİ
- 9.SORU ÇÖZÜLMEDİ
- 10.SORU ÇÖZÜLMEDİ
- 11.SORU ÇÖZÜLMEDİ
- 12.SORU ÇÖZÜLMEDİ
- 13.SORU ÇÖZÜLMEDİ
- 14.SORU ÇÖZÜLMEDİ
- 15.SORU ÇÖZÜLMEDİ
- 16.SORU ÇÖZÜLMEDİ
- 17.SORU ÇÖZÜLMEDİ
- 18.SORU ÇÖZÜLMEDİ
- 19.SORU ÇÖZÜLMEDİ
- 20.SORU ÇÖZÜLMEDİ