Tıbbi İstatistik Final 8. Deneme Sınavı
Toplam 20 Soru1.Soru
Sayısal iki değişken arasındaki ilişkinin matematiksel bir fonksiyonla ifade edilmesini sağlayacak olan yöntem aşağıdakilerden hangisidir?
|
Basit korelasyon analizi |
|
Sıra korelasyon analizi |
|
Belirlilik katsayısı analizi |
|
Basit regresyon analizi |
|
En küçük kareler yöntemi |
Korelasyon katsayısı, değişkenlerin birlikte değişiminin bir ölçüsü olmakla birlikte, ilgili değişkenler arasında fonksiyonel bir ilişki kurmaz. Yani hangi değişkenin bağımlı, hangi değişkenin bağımsız değişken olduğunu göstermez. Sadece değişkenler arasındaki ilişkinin yönünü ve derecesini vermektedir.
Ayrıca korelasyon analizi ilişkinin katsayıları hakkında sayısal değerler vermez. Yani fonksiyonun eğimi ve sabit terimi için tahminler yapmaz. Bundan dolayı, sayısal iki değişken arasındaki ilişkinin matematiksel bir fonksiyonla ifade edilmesini sağlayacak olan, regresyon analiziyle çözümleme yapılır.
2.Soru
r2 = 0,76 değerinin yorumu için aşağıdaki ifadelerden hangisi doğrudur?
|
İki değişken arasında aynı yönlü¨ kuvvetli bir ilişki vardır.
|
|
İki değişken arasında ters yönlü¨ kuvvetli bir ilişki vardır.
|
|
İki değişken arasında aynı yönlü¨ zayıf bir ilişki vardır.
|
|
İki değişken arasında ters yönlü¨ zayıf bir ilişki vardır.
|
|
İki değişken arasında hiç ilişki yoktur.
|
3.Soru
file:///C:/Users/pc/Desktop/korelasyon%20regresyon/6.soru.htm
|
7 birim artar |
|
14 birim azalır |
|
14 birim artar |
|
7 birim azalır |
|
4 birim artar |
4.Soru
Aşağıdakilerden hangisi maddi birim değildir?
|
İnsan |
|
Otomobil |
|
Hayvan |
|
Bitki |
|
Hastalık |
Maddi birim, elle tutulur ve gözle görülür, yani uzunluk, genişlik ve yükseklik boyutlarına sahip olan birimlerdir. Maddi olmayan birim ise boyutları olmayan birimlerdir. Örneğin, insan, bitki, bina v.b. birimler maddi; doğum, ölüm, hastalık, bir ilaç denemesi gibi birimler maddi olmayan birimlerdir.
5.Soru
Ana kütle hacmi küçük olduğunda, örnekleme seçilen bir birimin diğerlerinin seçilme şansını etkilememesi için aşağıdaki seçim yöntemlerinden hangisi kullanılır?
|
Kolayda
|
|
Kartopu ve sistematik birlikte
|
|
Tesadüfi
|
|
Keyfi
|
|
Keyfi ve sistematik birlikte
|
6.Soru
Aşağıdakilerden hangisi istatistik birimi değildir?
|
Hastane
|
|
Doktor
|
|
İntihar
|
|
Kabus
|
|
Yangın
|
7.Soru
4 çocuğu bulunan ailelerde hiç erkek çocuk olmama olasılığı kaçtır?
|
1/2
|
|
1/4
|
|
1/8
|
|
1/16
|
|
1/32
|
8.Soru
Aşağıdakilerden hangisi ani birim değildir?
|
Doğum
|
|
Grev
|
|
Ölüm
|
|
Ameliyat
|
|
Doktor
|
9.Soru
İki değişken arasındaki korelasyon -0,85 olduğuna göre aşağıdaki ifadelerden hangisi doğrudur?
|
İki değişken arasında aynı yönlü kuvvetli bir ilişki vardır.
|
|
İki değişken arasında ters yönlü kuvvetli bir ilişki vardır.
|
|
İki değişken arasında aynı yönlü zayıf bir ilişki vardır.
|
|
İki değişken arasında ters yönlü zayıf bir ilişki vardır.
|
|
İki değişken arasında hiç ilişki yoktur.
|
10.Soru
İki tavla zarının üste gelen sayılarının çarpımının 12 olması olasılığı nedir?
|
1/9 |
|
4/9 |
|
8/9 |
|
1/6 |
|
4/6 |
11.Soru
Aşağıdakilerden hangisi sağlık istatistiğinin kullanım alanlarından biri değildir?
|
Sağlık hizmetlerinin planlanması |
|
Koruyucu sağlık hizmetleri |
|
Tedavi edici sağlık hizmetleri |
|
Toplumun sağlık düzeyinin belirlenmesi |
|
İlgilenilen bölgenin coğrafi göstergelerinin belirlenmesi |
Sağlık istatistiği; sağlık hizmetlerinde, sağlık hizmetlerinin planlanmasında, sağlıkla
ilgili bilimsel araştırmaların yürütülmesinde, hizmet göstergesi olarak, koruyucu sağlık hizmetlerinde,
tedavi edici sağlık hizmetlerinde, toplumun sağlık düzeyinin belirlenmesinde, yükseltilmesinde ve
toplumda sağlık alanındaki değişimlerin incelenmesinde kullanılmaktadır. Doğru cevap E'dir.
12.Soru
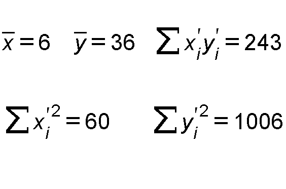
x bağımsız ve y bağımlı değişkenlerine ilişkin yukarıda verilen hesaplamalara göre regresyon doğrusu denkleminin sabit terim değeri kaçtır?
|
0,06 |
|
0,24 |
|
4,05 |
|
11,70 |
|
34,56 |
Regresyon doğrusu denkleminin sabit terim değeri,
olmak üzere,
formülü ile hesaplanmaktadır. Buna göre;
olarak hesaplanır. Doğru cevap D'dir.
13.Soru
Belirlilik katsayısı 0,81 olan bir regresyon denkleminde korelasyon katsayısı aşağıdakilerden hangisidir?
|
0,3 |
|
0,09 |
|
0,9 |
|
0,6561 |
|
0,03 |
Belirlilik katsayısı korelasyon katsayısının karesidir. Bu sebeple 0,81'in karekökü hesaplanmalıdır.
Doğru cevap seçeneği C'dir.
14.Soru
S harfi ile gösterilen, bir deneyin tüm olası sonuçlarının oluşturduğu kümeye ne ad verilir?
|
Tesadüfi deney
|
|
Örnek nokta
|
|
Olay
|
|
Örneklem uzayı
|
|
Kesin olay
|
15.Soru
Varyansı 0,91 olan bir poisson dağılımının ortalaması nedir
|
0,91 |
|
0,95 |
|
0,85 |
|
0,81 |
|
0,65 |
0,91
16.Soru
Aşağıdakilerden hangisi parametrik olmayan testtir?
|
z testi |
|
t testi |
|
varyans analizi testi |
|
Ki kare testi |
|
Pearson Korelasyon testi |
İstatistiksel tahmin gibi örneklem istatistiklerinden yararlanarak ana kütle parametrelerine ilişkin hipotezlerin test edilmesi çıkarsama işlevinin bir başka konusudur. Hipotez testlerinde araştırmanın amacına göre kullanılacak uygun testin seçimi oldukça önemli bir konudur. Kullanılacak testin koşullarının sağlanıp sağlanmamasına göre testin seçimi önem kazanır. Buna göre testler parametrik ve parametrik olmayan biçiminde iki gruba ayrılır. Parametrik testler, bazı varsayımları gerektiren testlerdir ve incelenen değişkenin en az aralıklı ölçme düzeyinde ölçülmüş olmasını gerektirirler. Parametrik olmayan testler, iddialı varsayım ileri sürmezler ve genellikle sınıflayıcı ve sıralayıcı ölçme düzeyindeki verilere uygulanırlar. Bu ünitede açıklanan t-testi, z-testi ve varyans analizi parametrik testlerdir. Ki-Kare testi ise parametrik olmayan testlerdendir.
17.Soru
Bir bölgede 200 yataklı bir devlet hastanesi ve 50 ve 45 yataklı iki özel hastane bulunmaktadır. 2011 yılı içerisinde bölge nüfusu 480.000 olduğuna göre bölgede onbin nüfusa düşen yatak sayısı kaçtır?
|
4.17
|
|
1.04
|
|
6.15
|
|
7.12
|
|
61.5
|
18.Soru
D.K neyin simgesidir
|
Değişim katsayısı |
|
Değişim aralığıdır |
|
Standart sapmadır |
|
varyanstır |
|
medyandır |
D.K değişim katsayısının simgesidir
19.Soru
Üste gelen rakamların çarpımlarının 6 olduğu A olayı ile toplamlarının 6 olduğu B olaylarının birleşiminin olasılığı kaçtır?
|
0,11 |
|
0,19 |
|
0,28 |
|
0,45 |
|
0,62 |
A={(2,3),(3,2),(6,1),(1,6)} na=4
B={(3,3),(5,1),(1,5)} nb=3
20.Soru
Aşağıdaki durumların hangisinde örnekleme yapmak kaçınılmazdır?
|
Ana kütlenin homojen olması
|
|
Örnekleme birimi ile gözlem biriminin aynı olması
|
|
Ana kütlenin sonlu olması
|
|
Örnekleme birimi ile gözlem biriminin farklı olması
|
|
Ana kütlenin sonsuz olması
|
-
- 1.SORU ÇÖZÜLMEDİ
- 2.SORU ÇÖZÜLMEDİ
- 3.SORU ÇÖZÜLMEDİ
- 4.SORU ÇÖZÜLMEDİ
- 5.SORU ÇÖZÜLMEDİ
- 6.SORU ÇÖZÜLMEDİ
- 7.SORU ÇÖZÜLMEDİ
- 8.SORU ÇÖZÜLMEDİ
- 9.SORU ÇÖZÜLMEDİ
- 10.SORU ÇÖZÜLMEDİ
- 11.SORU ÇÖZÜLMEDİ
- 12.SORU ÇÖZÜLMEDİ
- 13.SORU ÇÖZÜLMEDİ
- 14.SORU ÇÖZÜLMEDİ
- 15.SORU ÇÖZÜLMEDİ
- 16.SORU ÇÖZÜLMEDİ
- 17.SORU ÇÖZÜLMEDİ
- 18.SORU ÇÖZÜLMEDİ
- 19.SORU ÇÖZÜLMEDİ
- 20.SORU ÇÖZÜLMEDİ