Yöneylem Araştırması Final 1. Deneme Sınavı
Toplam 15 Soru1.Soru
Genel bir doğrusal karar modelinin ikilinin yazılmasında gözönüne alınacak ilişkiler ile ilgili olarak aşağıdakilerden hangisi yanlıştır?
|
Asıl ve ikil modellerin amaçları karşıt yöndedir. |
|
Bir modeldeki i. kısıt, diğer modeldeki i. karar değişkenine karşı gelir. |
|
Eğer bir modelde i. kısıt eşitlik olarak ifade edilmişse, diğer modelin i. karar değişkeni sıfıra eşit olur. |
|
Bir modeldeki i. kısıtın yönü, diğer modelde bu kısıta karşı gelen i. karar değişkeninin işaretini belirler. |
|
Bir modeldeki kısıtın yönü eğer kanonik biçimde öngörülenin tersi yönündeyse, diğer modelde buna karşı gelen karar değişkeni “ ≤ 0” olarak tanımlanır. |
Eğer bir modelde i. kısıt eşitlik olarak ifade edilmişse, diğer modelin i. karar değişkeni serbest işaretli olur.
2.Soru
Dengelenmiş ulaştırma modeline bir başlangıç çözümü belirlemede kullanılan yöntemlerden hangisi daha fazla işlem yapılmasını gerektirmektedir?
|
Kuzeybatı köşe yöntemi |
|
Enküçük maliyet yöntemi |
|
VAM yöntemi |
|
Atlama taşı yöntemi |
|
MODI yöntemi |
Başlangıç çözümü belirlemekte kullanılan üç çözüm yöntemi arasında, oluşturdukları temel uygun çözümün kalitesi açısından farklılık vardır. Daha iyi çözüm, amaç fonksiyonu değerinin daha küçük değerli olması ve daha az ardıştırma ile sonuca ulaşılması anlamına gelmektedir. Genelde en iyi başlangıç temel uygun çözümünü VAM yöntemi, en kötüsünü ise kuzeybatı köşe yöntemi vermektedir. Buna karşın, en kolay uygulanan kuzeybatı köşe yöntemi iken, en işlem yoğun VAM yöntemidir. İşlem yoğunluğu ve daha az ardıştırma yapma arasındaki bu ödünleşme dikkate alınarak, herhangi bir yöntemle çözüme başlanabilir. Doğru yanıt C’dir.
3.Soru
Aşağıdakilerden hangisi geliştirilen amaç fonksiyonunun yapısına göre hedef programlama türleri arasında değildir?
|
Tek hedefli programlama |
|
Eşit ağırlıklı çok hedefli programlama |
|
Ağırlıklı çok hedefli programlama |
|
Öncelikli çok hedefli programlama |
|
Çok hedefli programlama |
Geliştirilen amaç fonksiyonunun yapısına göre hedef programlama türleri beş başlıkta sınıflandırılabilir: 1. Tek hedefli programlama 2. Eşit ağırlıklı çok hedefli programlama 3. Ağırlıklı çok hedefli programlama 4. Öncelikli çok hedefli programlama 5. Öncelikli-ağırlıklı çok hedefli programlama.
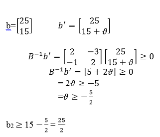
4.Soru
|
1 |
|
2 |
|
3 |
|
40 |
|
60 |
2
Doğru yanıt B seçeneğidir.
5.Soru
Parametrelerin değerlerinin bilinmediği ama tahmin edilebildiği durumlarda ne altında karar vermeden bahsedilir?
|
risk |
|
belirsizlik |
|
belirlilik |
|
sabitlik |
|
aynılık |
Parametrelerin değerlerinin bilinmediği ama tahmin edilebildiği durumlarda risk altında karar vermeden bahsedilir.
6.Soru
Aşağıdakilerden hangisi Kanonik biçimli ve enbüyükleme amaçlı bir problemin ikilini yazarken ortaya çıkan durumlardan birisi değildir?
|
Asıl modelde amaç fonksiyonunun enbüyük değeri aranıyor iken, ikil modelde bunun karşıtı olan enküçük değer araştırılmaktadır. |
|
Asıl modelde n adet karar değişkeni bulunurken, ikilinde n adet kısıt yer almaktadır. Bir diğer deyişle asılın her değişkeni ikilin bir kısıtına karşı gelmektedir. |
|
Asıl modelin amaç fonksiyonu katsayıları (cj), ikil model kısıtlarının sol taraf sabitleridir. |
|
Hem asıl hem de ikil modelin değişkenleri sıfırdan büyük eşit olarak tanımlanmıştır. |
|
Asıl model kısıtlarının sağ taraf sabitleri (bi), ikilin amaç fonksiyonu katsayılarıdır. |
Asıl modelin amaç fonksiyonu katsayıları (cj), ikil model kısıtlarının sağ taraf sabitleridir.
7.Soru
Aşağıdakilerden hangisi ulaştırma modellerinin uygulama alanlarından değildir?
|
stok kontrolü |
|
işgücü planlaması |
|
kuruluş yeri seçimi |
|
işlerin makinelere dağıtımı |
|
çalıştırılacak kişilerin belirlenmesi |
Ulaştırma modellerinin uygulamaları sadece ürünlerin coğrafi bir merkezden coğrafi bir başka noktaya taşınması ile sınırlı değildir. Stok kontrolü, işgücü planlaması, kuruluş yeri seçimi, işlerin makinelere dağıtımı gibi alanlarda da ulaştırma modelleri kullanılabilmektedir.
8.Soru
Aşağıdakilerden hangisi zaman esaslı faaliyetlerin programlanması amacının yer aldığı yöneylem araştırması problemlerindendir?
|
Personel planlama |
|
Stok kontrolü |
|
En büyük akış |
|
Proje yönetimi |
|
Ulaştırma |
Büyük ölçekli projeler zaman esaslı faaliyetlere dayanmaktadır. Örneğin bir inşaatın temeli atılmadan birinci katının inşa edilmesi mümkün değildir. Temel atma işlemi, ilk kata çıkma alt faaliyetinin bir öncülüdür veya bir sempozyum düzenleme etkinliğinde, sempozyum tarihlerini belirlemeden, ilk duyuruları yapmak, duyuruları yapmadan katılımcıların kayıtlarını almaya başlamak mümkün değildir. Faaliyet sürelerinin ve maliyetlerinin tahmin edildiği, faaliyetler arasındaki öncüllük-ardıllık ilişkilerinin belirlendiği bu türden yöneylem araştırması problemleri proje yönetiminin konusudur.
10.Soru
Aşağıdakilerden hangisi doğrusal hedef programlama modeli ile uygun bir çözüm elde edebilmek için, doğrusal karar modeli için geçerli olan varsayımlardan DEĞİLDİR?
|
oransallık |
|
toplanabilirlik |
|
bölünebilirlik |
|
belirlilik |
|
kısıtlanabilirlik |
Bir problemin doğrusal karar modelinin bazı varsayımlar altında kurulduğunu önceki bölümlerde görmüştük. Doğrusal hedef programlama modeli ile uygun bir çözüm elde edebilmek için, doğrusal karar modeli için geçerli olan oransallık, toplanabilirlik, bölünebilirlik ve belirlilik varsayımlarının sağlanması gerekmektedir.
12.Soru
İkillik ilkesini anlatan iki renk aşağıdakilerden hangileridir?
|
Siyah - beyaz |
|
Siyah - gri |
|
Mavi - beyaz |
|
Mavi - gri |
|
Siyah - kırmızı |
Siyah-beyaz bir daireyle gösterilen, Uzakdoğu ve özellikle bir Çin felsefesi olarak
tanınan Yin ve Yang, ikillik ilkesini çok iyi anlatır.
13.Soru
Aşağıdaki tanımda boşluğa gelmesi gereken ifade seçeneklerin hangisinde doğru olarak verilmiştir?
Bir hedefe ulaşmak diğer hedeflere ulaşmaktan daha önemli olabilir. Dolayısıyla, ……………………………………. karar verici hedeflere bir öncelik belirler ve bu önceliklere göre hedefleri sıralandırır.
|
Tek hedefli programlama |
|
Eşit ağırlıklı çok hedefli programlama |
|
Ağırlıklı çok hedefli programlama |
|
Öncelikli çok hedefli programlama |
|
Öncelikli-ağırlıklı çok hedefli programlama |
Bir hedefe ulaşmak diğer hedeflere ulaşmaktan daha önemli olabilir. Dolayısıyla, öncelikli çok hedefli programlamada karar verici hedeflere bir öncelik belirler ve bu önceliklere göre hedefleri sıralandırır. Doğru cevap D’dir.
14.Soru
Atlas elektronik şirketi üç tip bilgisayar hafıza kartı üretmektedir. Şirket aylık üretim çizelgesi yapmayı planlamaktadır:
- A tipi hafıza kartının birim üretim maliyeti 6 TL, satış fiyatı 9 TL'dir.
- B tipi hafıza kartının birim üretim maliyeti 5 TL, satış fiyatı 7 TL'dir.
- C tipi hafıza kartının birim üretim maliyeti 8 TL, satış fiyatı 9 TL'dir.
Bu bilgilere göre şirketin karını en çoklayacak doğrusal amaç fonksiyonu nedir?
|
|
|
|
|
|
|
|
|
|
Net karlar:
15.Soru
Hangi katsayıların değerlerindeki değişim ikil (dual) değişkenler ile de analiz edilebilmektedir?
|
Asal |
|
Doğrusal |
|
Teknik |
|
Yapısal |
|
Bileşik |
Teknik katsayıların değerlerindeki değişim, aslında ikil (dual) değişkenler ile de analiz edilebilir. Doğru cevap C'dir.