Yöneylem Araştırması Final 15. Deneme Sınavı
Toplam 20 Soru1.Soru
Verilen bir doğrusal karar modelinin ikil modelini yazma işlemine ne ad verilir?
|
İkil |
|
İkillik |
|
İkil değişken |
|
İkilini alma |
|
İkil gözükme |
Verilen bir doğrusal karar modelinin ikil modelini yazma işlemi “ikilini alma” olarak ifade edilir.
2.Soru
Doğrusal programlamada; karar değişkenlerine verilecek değerlere göre, her birinin sağladığı katkılar toplanıp, toplam katkıyı oluşturması varsayımına ne ad verilir?
|
Doğrusallık |
|
Toplanabilirlik |
|
Bölünebilirlik |
|
Tam sayımlık |
|
Negatif olmama |
Doğrusal programlamada, Karar değişkenlerine verilecek değerlere göre, her birinin sağladığı katkılar toplanıp, toplam
katkıyı, yani amaç fonksiyonunu oluşturuyorsa, toplanabilirlik varsayımı geçerlidir.
3.Soru
"Complementary slackness" teriminin Türkçe karşıtı aşağıdakilerden hangisidir?
|
Aylaklığın bütünleyeni |
|
Aylaklığın niteleyeni |
|
Aylaklığın belirleyeni |
|
Aylaklığın tanımlayanı |
|
Aylaklığın tamamlayanı |
Aylaklığın tamamlayanı (complementary slackness), ikillik üzerine geliştirilen kavram ve teknikleri bütünleştirerek, asıl ve ikil problemlerin eniyi çözümlerini ilişkilendiren önemli bir özelliktir.
4.Soru
Doğrusal hedef programlama modelinin kuruluşunda kaç adımın sırasıyla izlenmesi gerekmektedir?
|
5 |
|
6 |
|
3 |
|
7 |
|
4 |
Doğrusal hedef programlama modelinin kuruluşunda izleyen adımlar sırasıyla uygulanır:
1. Karar değişkenlerinin belirlenmesi.
2. Sistem kısıtlarının belirlenmesi.
3. Belirlenen hedefler doğrultusunda hedef kısıtlarının belirlenmesi.
4. Modelde yer alan tüm değişkenler için negatif olmama kısıtının oluşturulması.
5. Karar vericilere bağlı olarak gerekli durumlarda hedeflerin önceliklerinin belirlenmesi.
6. Karar vericilere bağlı olarak gerekli durumlarda hedeflerin ağırlıklarının belirlenmesi.
7. Amaç fonksiyonunun oluşturulması.
5.Soru
Ulaştırma modelinin eniyilik sınamasında kullanılan yöntemlerden daha hızlı ve pratik olan aşağıdakilerden hangisidir?
|
Kuzeybatı köşe yöntemi |
|
Enküçük maliyet yöntemi |
|
VAM yöntemi |
|
Atlama taşı yöntemi |
|
MODI yöntemi |
Mevcut çözümün eniyi olup olmadığını belirlemek için atlama taşı veya MODI yöntemlerinden herhangi biri kullanılabilir. Atlama taşı yönteminin bir dezavantajı, tüm boş hücreler için döngü bulma ve değişim değeri hesaplama zorunluluğudur. MODI yöntemi, iyileşme yapılacak hücreyi tek tek denemeden bulduğu için atlama taşına göre daha hızlı olan bir yöntemdir. Doğru yanıt E'dir.
6.Soru
Simpleks algoritmasında “Bir problemde, sağ taraf sabitleri vektörü, b, değişebilir. Bu durumda Simpleks Tablo’da karar değişkenlerinin değerlerini gösteren B-1b vektörü etkilenir. Simpleks Algoritması bir temel uygun çözümle (temel değişkenler ? 0 değerinde) başlayıp başka bir temel uygun çözüme geçtiğinden, bu değişikliğin uygunluk koşulu olan B-1b ? 0’ ı sağlaması gerekmektedir. Bir başka deyişle, sağ taraf sabitleri de denen kaynak vektöründe bir değişim, eniyilik değil uygunluk koşullarına yansır.” Şeklinde açıklanan duyarlılık analizi aşağıdakilerden hangisidir?
|
Sağ Taraf Sabitindeki Değişime Göre Duyarlılık Analizi |
|
Katkı Parametresindeki Değişime Göre Duyarlılık Analizi |
|
Teknik Katsayılardaki Değişime Göre Duyarlılık Analizi |
|
Yeni Bir Kısıtın Eklenmesi Yapısal Değişikliğine Göre Duyarlılık Analizi |
|
Yeni Bir Değişkenin Eklenmesi Yapısal Değişikliğine Göre Duyarlılık Analizi |
“Bir problemde, sağ taraf sabitleri vektörü, b, değişebilir. Bu durumda Simpleks Tablo’da karar değişkenlerinin değerlerini gösteren B-1b vektörü etkilenir. Simpleks Algoritması bir temel uygun çözümle (temel değişkenler ? 0 değerinde) başlayıp başka bir temel uygun çözüme geçtiğinden, bu değişikliğin uygunluk koşulu olan B-1b ? 0’ ı sağlaması gerekmektedir. Bir başka deyişle, sağ taraf sabitleri de denen kaynak vektöründe bir değişim, eniyilik değil uygunluk koşullarına yansır.” açıklaması sağ taraf sabitindeki değişime göre yapılan duyarlılık analizini tanımlamaktadır.
Bu nedenle doğru yanıt a) seçeneğidir.
7.Soru
Doğrusal karar problemlerinin çözümü elde edildikten sonra, modelde meydana gelebilecek, parametrelere bağlı veya yapısal değişiklikler karşısında, eldeki eniyi çözümün bundan nasıl etkileneceğini veya eldeki çözümün koruması için parametrelerin hangi aralıklarda değer almaları gerektiğini bulmak amacıyla yapılan sürece ne ad verilir?
|
Simpleks algoritma |
|
Duyarlılık analizi |
|
Markov analizi |
|
Pert analizi |
|
Karar Analizi |
Soruda tanımı verilen analiz duyarlılık analizidir. Doğru cevap B'dir.
8.Soru
Araştırmalara göre dengelenmiş ulaştırma modeline bir başlangıç çözümü bulmada daha az ardıştırma ile eniyi çözüme ulaştıran yöntem aşağıdakilerden hangisidir?
|
Kuzeybatı köşe yöntemi |
|
Enküçük maliyet yöntemi |
|
VAM yöntemi |
|
Atlama Taşı Yöntemi |
|
MODI yöntemi |
VAM yöntemi, en düşük maliyet yönteminin geliştirilmiş hali olarak düşünülebilir. Tablo genelinde, birinci öncelikli hücre yerine ikinci öncelikli hücreye dağıtım yapılması halinde birim başına kaçırılacak fırsatları bulup, en büyük fırsatın kaçırılmaması esasına dayanır. Araştırma sonuçları, VAM ile bulunan bir başlangıç temel uygun çözümün, diğer yöntemlere göre daha az ardıştırma ile eniyi çözüme ulaştığını ileri sürmektedir. Doğru yanıt C’dİr.
9.Soru
Aşağıdakilerden hangileri geliştirilen amaç fonksiyonunun yapısına göre hedef programlama türleri arasında yer alır?
I. Tek hedefli programlama
II. Eşit ağırlıklı çok hedefli programlama
III. Ağırlıklı çok hedefli programlama
IV. Öncelikli çok hedefli programlama
V. Önceliksiz-ağırlıksız çok hedefli programlama
|
Yalnız II ve IV |
|
Yalnız I.III.V |
|
I.II.III.IV |
|
I.II.IV.V |
|
I.III.IV.V |
Geliştirilen amaç fonksiyonunun yapısına göre hedef programlama türleri beş başlıkta sınıflandırılabilir: Tek hedefli programlama, Eşit ağırlıklı çok hedefli programlama, Ağırlıklı çok hedefli programlama, Öncelikli çok hedefli programlama ve Öncelikli-ağırlıklı çok hedefli programlama. V. seçenekte yer alan ‘’Önceliksiz-ağırlıksız çok hedefli programlama.’’ Bu hedefler arasında yer almaz ve yanlıştır. Buna göre doğru cevap C’dir.
10.Soru

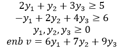
Yukarıda görülen doğrusal karar modelinin ikili aşağıdakilerden hangisidir?
|
|
|
|
|
|
|
|
|
|
11.Soru
Herhangi bir üretim kaynağının miktarının bir birim arttırılması veya azaltılması durumunda amaç fonksiyonu değerinde meydana gelecek artış veya azalış olarak tanımlanan ve fayda - maliyet analizi yapmakta kullanılan değerler aşağıdakilerden hangisidir?
|
Gölge fiyatlar |
|
Sağ taraf sabitleri |
|
Teknik katsayılar |
|
İkil modelin amaç fonksiyonu |
|
Katkı parametreleri |
Doğrusal programlama modellerinde, kaynaklardaki değişimlerin problemin eniyi değerinde ne kadar bir farklılığa sebep olacağının belirlenmesi, yöneticiler için önemlidir. Fayda - maliyet analizi yapmakta kullanılan gölge fiyatlar, herhangi bir üretim kaynağının miktarının bir birim arttırılması veya azaltılması durumunda amaç fonksiyonu değerinde meydana gelecek artış veya azalış olarak tanımlanır.
Bu nedenle doğru yanıt a) seçeneğidir.
12.Soru
Doğrusal hedef programlama ile ilgili aşağıda yer alan ifadelerden hangileri doğrudur?
I. Doğrusal hedef programlamada belirlenen amaç ve hedefler doğrultusunda hedef kısıtları oluşturulur.
II. Doğrusal hedef programlama modelinde amaç fonksiyonu hedef ve sapma değişkenlerinden oluşmaktadır.
III. Doğrusal hedef programlama modelinde amaç fonksiyonunda karar değişkenleri yer almaz.
IV. Doğrusal hedef programlama problemlerinin çözümünde kullanılan Grafik yöntemi ve Simpleks yöntemi adlı iki tür yaklaşım bulunmaktadır.
|
Yalnız II ve IV |
|
I.III.IV |
|
II.III.IV |
|
I.II.IV |
|
I.II.III |
Doğrusal hedef programlama modelinde amaç fonksiyonu sadece sapma değişkenlerinden oluşmaktadır. Dolayısıyla II. seçenek yanlıştır. Buna göre doğru cevap B’dir.
13.Soru
Aşağıdakilerden hangisi ulaştırma problemlerinin taşıdığı genel özelliklerden biridir?
|
Üretim merkezlerinin kapasiteleri bilinmemektedir. |
|
Dağıtımı yapılacak mal veya hizmet, bütün üretim ve tüketim merkezleri için farklı türde tanımlıdır. |
|
Tüketim merkezlerinin talep ettikleri miktarlar net değildir. |
|
Toplam taşıma maliyeti taşınan miktarla ters orantılıdır. |
|
Dağıtımı yapılacak ürün, bütün üretim ve tüketim merkezleri için aynı birimde tanımlıdır. |
Ulaştırma problemlerinin taşıdığı genel özellikler aşağıdaki gibi sıralanabilir:
- Bir mal veya hizmet şeklinde ürün gönderen, m adet üretim merkezi vardır. Üretim merkezlerinin kapasiteleri bilinmektedir.
- Ürünün gönderildiği n adet tüketim merkezi vardır. Tüketim merkezlerinin talep ettikleri miktarlar bilinmektedir.
- Bir üretim merkezinden bir tüketim merkezine gönderilen her 1 birim ürün için ortaya çıkan birim taşıma (gönderme) maliyeti bilinmekte olup, toplam taşıma maliyeti taşınan miktarla doğru orantılı olarak değişmektedir.
- Dağıtımı yapılacak mal veya hizmet olarak tanımlanmış ürün, bütün üretim ve tüketim merkezleri için aynı birim ve türde tanımlıdır.
14.Soru
Aşağıdakilerden hangisi duyarlılık analizi için söylenebilir?
|
Doğrusal karar problemlerinden çözüm elde etmez. |
|
Modelde meydana gelebilecek parametrelere bağlı yapısal değişiklikleri dikkate almaz. |
|
Eldeki çözümün parametrelerden nasıl etkileneceğini düşünmez. |
|
Eldeki çözümün koruması için parametrelerin hangi aralıklarda değer almaları gerektiğini bulmak amacıyla yapılır. |
|
Yapısal değişiklikler karşısında eldeki en iyi çözümün bundan nasıl etkileneceğini düşünmez. |
Duyarlılık analizleri, doğrusal karar problemlerinin çözümü elde edildikten sonra, modelde meydana gelebilecek, parametrelere bağlı veya yapısal değişiklikler karşısında, eldeki en iyi çözümün bundan nasıl etkileneceğini veya eldeki çözümün koruması için parametrelerin hangi aralıklarda değer almaları gerektiğini bulmak amacıyla yapılan analizlerdir.
16.Soru
"Teknik katsayılardaki değişime göre duyarlılık analizinde değişim, bir kısıttaki teknik katsayısı değişen bir değişkenin, _______________________ göre farklı şekilde analiz edilmelidir." Verilen boşluğu doğru şekilde tamamlayan seçenek aşağıdakilerden hangisidir?
|
temelde veya temelde olmamasına |
|
negatif veya pozitif olmasına |
|
büyük veya küçük olmasına |
|
altta veya üstte olmasına |
|
duyarlı veya duyarsız olmasına |
"Teknik katsayılardaki değişime göre duyarlılık analizinde değişim, bir kısıttaki teknik katsayısı değişen bir değişkenin, temelde veya temelde olmamasına göre farklı şekilde analiz edilmelidir."
17.Soru
Aşağıdakilerden hangisi geliştirilen amaç fonksiyonunun yapısına göre hedef programlama türleri arasında yoktur?
|
Tek hedefli programlama |
|
Negatif olmama varsayımlı |
|
Eşit ağırlıklı çok hedefli programlama |
|
Ağırlıklı çok hedefli programlama |
|
Öncelikli çok hedefli programlama |
Geliştirilen amaç fonksiyonunun yapısına göre hedef programlama türleri beş
başlıkta sınıflandırılabilir:
1. Tek hedefli programlama
2. Eşit ağırlıklı çok hedefli programlama
3. Ağırlıklı çok hedefli programlama
4. Öncelikli çok hedefli programlama
5. Öncelikli-ağırlıklı çok hedefli programlama.
18.Soru
Aşağıdakilerden hangisi ele alınan problemin tek bir hedefi olması durumunda ortaya çıkan programlama türüdür?
|
Eşit ağırlıklı çok hedefli programlama |
|
Ağırlıklı çok hedefli programlama |
|
Tek hedefli programlama |
|
Öncelikli çok hedefli programlama |
|
Öncelikli-ağırlıklı çok hedefli programlama |
Ele alınan problemin tek bir hedefi olması durumunda ortaya çıkan programlama türü Tek hedefli programlamadır.
19.Soru
Doğrusal karar problemlerinde hangi varsayım bulunmaktadır?
|
Belirlilik |
|
Zıtlık |
|
Açıklık |
|
Olasılık |
|
Sabitlik |
Doğrusal karar problemlerinde belirlilik varsayımı bulunmaktadır, buna göre modele esas teşkil eden parametrelerin değerlerinin bilindiği kabul edilmektedir.
20.Soru
Verilen bir doğrusal karar modelinin ikil modelini yazma işlemi aşağıdakilerden hangisi olarak ifade edilir?
|
"değerini çarpma" |
|
"değerini alma" |
|
“ikilini alma” |
|
"ikilini çarpma" |
|
"ikilini sabitleme" |
Verilen bir doğrusal karar modelinin ikil modelini yazma işlemi “ikilini alma” olarak ifade edilir.
-
- 1.SORU ÇÖZÜLMEDİ
- 2.SORU ÇÖZÜLMEDİ
- 3.SORU ÇÖZÜLMEDİ
- 4.SORU ÇÖZÜLMEDİ
- 5.SORU ÇÖZÜLMEDİ
- 6.SORU ÇÖZÜLMEDİ
- 7.SORU ÇÖZÜLMEDİ
- 8.SORU ÇÖZÜLMEDİ
- 9.SORU ÇÖZÜLMEDİ
- 10.SORU ÇÖZÜLMEDİ
- 11.SORU ÇÖZÜLMEDİ
- 12.SORU ÇÖZÜLMEDİ
- 13.SORU ÇÖZÜLMEDİ
- 14.SORU ÇÖZÜLMEDİ
- 15.SORU ÇÖZÜLMEDİ
- 16.SORU ÇÖZÜLMEDİ
- 17.SORU ÇÖZÜLMEDİ
- 18.SORU ÇÖZÜLMEDİ
- 19.SORU ÇÖZÜLMEDİ
- 20.SORU ÇÖZÜLMEDİ