aof.sorular.net
Coğrafi Bilgi Sistemleri İçin Temel Matematik
Coğrafi Bilgi Sistemleri İçin Temel Matematik Deneme Sınavı
Coğrafi Bilgi Sistemleri İçin Temel Matematik Deneme Sınavı Sorusu #617713
Coğrafi Bilgi Sistemleri İçin Temel Matematik Deneme Sınavı Sorusu #617713
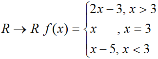
olarak tanımlanıyor. f(-1)+f(3)+f(6) toplamının sonucu kaçtır?
|
-3 |
|
6 |
|
9 |
|
3 |
|
12 |
Yanıt Açıklaması:
x=-1 için f(x)=x-5 ise f(-1)=-1-5=-6
x=3 için f(x)=x ise f(3)=3
x=6 için f(x)=2x-3 ise f(6)=9
-6+3+9=6
Yorumlar
- 0 Yorum