Coğrafi Bilgi Sistemleri İçin Temel Matematik Ara 11. Deneme Sınavı
Toplam 19 Soru1.Soru
Aşağıda tipleri verilen matrislerden hangisinin determinantı hesaplanabilir?
|
|
|
|
|
|
|
|
|
|
Bir matrisin determinantının hesaplanabilmesi için karesel matris olması yani satır ve sütun sayısının eşit olması gerekir. Şıklardan bunu sağlar.
2.Soru
3 renge ait 4’er bilyenin bulunduğu bir torbadan geri atılmamak sureti ile rastgele seçilen üç bilyeden her birinin farklı bir renkte olması olasılığı kaçtır?
|
|
|
|
|
|
|
|
|
|
İstenilen durumların sayısının toplam durumların sayısına bölümü ile olasılık hesaplanabilir:
3.Soru
5, 6, 4, 3, 5, 7, 4, 2, 8, 6, 3, 7
Yukarıdaki veri grubunun medyanı kaçtır?
|
4 |
|
5 |
|
6 |
|
7 |
|
8 |
Veri grubunu küçükten büyüğe sıralayalım: 2, 3, 3, 4, 4, 5, 5, 6, 6, 7, 7.
Veri grubunda 11 değer olduğuna göre (11 + 1)/2. değer yani 6. değer olan 5 değeri bu veri grubunun medyanı olur.
4.Soru
Bir okulda iki tane zil bulunmaktadır. Bunlardan birinin çalmama olasılığı 3/1000 ise her iki zilin çalmama olasılığı nedir?
|
|
|
|
|
|
|
|
|
|
Bağımsız olaylar için çarpma kuralı: ’ dır. Bu zillerin çalmama olasılığı birbirinden bağımsız olup her iki zilin çalmama olasılığı
olur.
5.Soru
Aşağıdakilerden hangisi tek fonksiyondur?
|
x4-x2 |
|
cos(x) |
|
|
|
x.lxl |
|
x.sin(x) |
6.Soru
x ve y sayılarının aritmetik ortalaması 14, y ve z sayılarının aritmetik ortalaması 13, x ve z sayılarının aritmetik ortalaması 9 olduğuna göre x+y+z kaçtır?
|
28 |
|
32 |
|
64 |
|
42 |
|
36 |
(X+Y)/2= 14 X+Y = 28
(Y+Z)/2= 13 Y+Z= 26
(X+Z)/2= 9 X+Z= 18
2(X+Y+Z)= 72 X+Y+Z= 36
7.Soru
f(x)=x2+3x+2 ve g(x)=x+2 olsun. Buna göre aşağıdaki eşitliklerden hangisi yanlıştır?
|
(f+g)(x)=x2+4x+4 |
|
(f-g)(x)=x2+2x |
|
(f.g)(x)=x^3+5x2+8x+4 |
|
(f/g)(x)=x+2 |
|
(gof)(x)=x2+3x+4 |
8.Soru
olarak tanımlanıyor. f(-1)+f(3)+f(6) toplamının sonucu kaçtır?
|
-3 |
|
6 |
|
9 |
|
3 |
|
12 |
x=-1 için f(x)=x-5 ise f(-1)=-1-5=-6
x=3 için f(x)=x ise f(3)=3
x=6 için f(x)=2x-3 ise f(6)=9
-6+3+9=6
9.Soru
Fonksiyonunun ters fonksiyonu aşağıdakilerden hangisidir?
|
f-1(x)=x3-1 |
|
f-1 (x)=x1/3 |
|
f-1 (x)=x3+1 |
|
f-1(x)=3x+1 |
|
f-1(x)=3x-1 |
fonksiyonunun ters fonksiyonunu bulabilmek için x yerine y, y yerine x yazarsak
Buradan
bulunur.
10.Soru
Anadolu üniversitesi İktisat Bölümü öğrencilerine İstatistik dersini anlatan bir Öğretim elemanından bir öğrenci, izin alarak kardeşini derse misafir olarak getirmiştir. Bu Öğretim elemanı ders sırasında sınıftaki öğrencilerin yaşlarını sormuş ve 18,21,20,24,22,19 ve 21 yaşlarında olduğunu öğrenmiştir. Misafir öğrenci ile sınıfın yaş ortalaması 19 un altına düştüğüne göre misafir öğrencinin yaşının en fazla kaç olması gerekir ?
|
5 |
|
6 |
|
7 |
|
8 |
|
9 |
¯x = ∑_(i=1)^n▒xi / n şeklinde ifade edilir. Misafir öğrenci ile birlikte n= 8 olduğuna göre
Yaş ortalaması 19 un altına düşüyor ise 19 > ∑_(i=1)^n▒x /8 işleminin sonucunun en fazla
(8.19= 152 > ∑_(i=1)^n▒x olması gerekir.
∑_(i=1)^n▒x = 18+21+20+24+22+19+21+Misafir= 145+Misafir
152 > 145+Misafir
152-145> Misafir
7 > Misafir .Bu durumda misafir olarak gelen kişinin yaşı en fazla 6 olabilir.
11.Soru
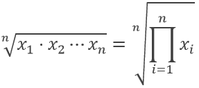
2. 1, 3, 9, 27 ve 81 sayılarının geometrik ortalaması nedir?
|
6 |
|
7 |
|
8 |
|
9 |
|
10 |
x1,x2,....,xn sayılarının geometrik ortalaması
formülüyle verildiğinden cevap
olur.
12.Soru
f(x)=tanx ve g(x)=cosx fonksiyonları veriliyor. Buna göre, değeri aşağıdakilerden hangisidir?
|
|
|
|
|
|
|
|
|
|
13.Soru
Aşağıdakilerden hangisi simetriktir ?
|
|■(3&5&4@4&5&4@4&6&3)| |
|
|■(2&-3&5@5&-2&3)| |
|
|■(3&5&4@5&7&6@4&6&3)| |
|
|■(1&2@3&4@5&6)| |
|
|■(1&3@3&0)| |
Eğer A= AT , yani A matrisi devriğine(transpozuna) eşit oluyorsa A’ya simetrik matris denir. Simetrik matrisler aynı zamanda kare matris olmak zorundadırlar.
14.Soru
matrisi veriliyor. Buna göre A matrisinin determinantı aşağıdakilerden hangisidir?
|
18 |
|
32 |
|
50 |
|
88 |
|
92 |
Verilen A matrisinin determinantını 1. satıra göre hesapladığımızda;
sonucuna ulaşırız. A matrisinin determinantını Sarrus kuralını kullanarak da hesapladığımızda sonuç yine 18 olarak elde edilecektir. Dolayısıyla Doğru Cevap A seçeneği olur.
15.Soru
3,4,4,5,5,5,6,6,6,6,7,7,7,7,7 sayılarının medyanı aşağıdakilerden hangisidir?
|
3 |
|
4 |
|
5 |
|
6 |
|
7 |
Bir popülasyondaki veri serisi sayısal büyüklük olarak sıralandığında ortadaki sayıya medyan denir. Buna göre verilen sayı popülasyonundaki verilerin ortancası 6’dır.
16.Soru
P1=(-2,6) ve P2=(6,-2) noktalarından geçen doğrunun eğimi kaçtır ?
|
-2 |
|
-1 |
|
2 |
|
3 |
|
5 |
Eğim= m = (y2-y1)/(x2-x1) = (-2-6)/(6-(-2)) = (-8)/8 = -1
17.Soru
denkleminin gerçel sayılardaki çözüm kümesi aşağıdakilerden hangisidir?
|
8 |
|
9 |
|
10 |
|
11 |
|
12 |
8 basamaklıdır.
18.Soru
olarak veriliyor.
|
-29 |
|
-27 |
|
-19 |
|
19 |
|
29 |
vektörünü
eşitliğinde, eşitliğin diğer tarafına atarsak,
elde edilir.
Böylece,
19.Soru
A={1,3,7,8,9} B={3,6,8,10,12,14} kümeleri veriliyor. B∖A kümesi aşağıdakilerden hangisidir?
|
{1,3,14} |
|
{6,10,12,14} |
|
{6,12,14} |
|
{7,8,12} |
|
{8,9,12} |
B∖A kümesi B kümesinde olup A kümesinde olmayan elemanların kümesidir.
Buna göre B∖A={6,10,12,14} dür.
-
- 1.SORU ÇÖZÜLMEDİ
- 2.SORU ÇÖZÜLMEDİ
- 3.SORU ÇÖZÜLMEDİ
- 4.SORU ÇÖZÜLMEDİ
- 5.SORU ÇÖZÜLMEDİ
- 6.SORU ÇÖZÜLMEDİ
- 7.SORU ÇÖZÜLMEDİ
- 8.SORU ÇÖZÜLMEDİ
- 9.SORU ÇÖZÜLMEDİ
- 10.SORU ÇÖZÜLMEDİ
- 11.SORU ÇÖZÜLMEDİ
- 12.SORU ÇÖZÜLMEDİ
- 13.SORU ÇÖZÜLMEDİ
- 14.SORU ÇÖZÜLMEDİ
- 15.SORU ÇÖZÜLMEDİ
- 16.SORU ÇÖZÜLMEDİ
- 17.SORU ÇÖZÜLMEDİ
- 18.SORU ÇÖZÜLMEDİ
- 19.SORU ÇÖZÜLMEDİ