aof.sorular.net
Coğrafi Bilgi Sistemleri İçin Temel Matematik
Coğrafi Bilgi Sistemleri İçin Temel Matematik Deneme Sınavı
Coğrafi Bilgi Sistemleri İçin Temel Matematik Deneme Sınavı Sorusu #629291
Coğrafi Bilgi Sistemleri İçin Temel Matematik Deneme Sınavı Sorusu #629291
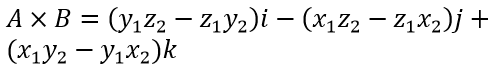
olmak üzere bu iki vektörün dış çarpımının determinantı aşağıdakilerden hangisidir?
|
|
|
|
|
|
|
|
|
|
Yanıt Açıklaması:
vektörlerinin dış çarpımları
şeklinde hesaplanır. Bu durumda
elde edilir. Böylece A×B dış çarpımının determinantı bulunur.
Yorumlar
- 0 Yorum