Coğrafi Bilgi Sistemleri İçin Temel Matematik Final 7. Deneme Sınavı
Toplam 18 Soru1.Soru
Yukarıda verilen şekilde üyelik derecesinin belirlenmesinde hangi yöntem uygulanmıştır?
|
Ölçekleme |
|
Kural oluşturma |
|
Durulaştırma |
|
Ağırlıklandırma |
|
Kesme |
Kesme metodu kural işleme birimine göre gelen kurallardan, uygun çıktıları yamuk üyelik fonksiyonu şeklinde gösterir. Kurallar arasında ‘ve’ işlemi yapılıyorsa yamuk şeklindeki fonksiyonun plato düz kısmına küçük olan üyelik derecesi verilir. Verilen tanıma göre şekilde kesme metodu kullanılmıştır. Doğru cevap E'dir.
2.Soru
f(x)= 3x2-2x+11 ve g(x)= 4x-6 fonksiyonları için [ f(x)+3g(x)] işleminin sonucu nedir ?
|
3x2-2x+18 |
|
x2+2x+8 |
|
x2-2x+7 |
|
3x2-2x+1 |
|
3x2+10x-7 |
[ f(x)+3g(x)] = (3x2-2x+11)+3( 4x-6 ) = 3x2-2x+11+12x-18= 3x2+10x-7 olur.
3.Soru
1973 yılında , bulanık değişkenler ya da sözel ifadeler ile ilgili kavramlar ortaya koyan bilim insanı aşağıdakilerden hangisidir ?
|
Lukasiewicz |
|
Planck |
|
Aristo |
|
Zadeh |
|
Mamdani ve Asilyan |
Kural işleme Birimi başlığı altında, 1973 yılında Zadeh, bulanık değişkenler ya da sözel ifadeler ile ilgili kavramlar ortaya koymuş olduğu açıklaması vardır
4.Soru
Bulanık mantıkda “ve” işleminin karşılığı aşağıdakilerden hangisidir?
|
Kuralların ağırlık merkezlerinin bulunması |
|
Etkileşen kuralların alanlarının bulunması |
|
Durulaştırma işlemi |
|
Kuralların bulanıklaştırılması işlemdir. |
|
Kural çıktısının elde edilmesi |
Bu işlem kuralın çıktısının elde edilmesi işlemidir. Kuralların bulanıklaştırılması işlemi bu işlemden sonra yapılır. Durulaştırma işlemi ağırlık bulma işlemidir.
5.Soru
Değişkenlerin sonsuz bir aralıkta sonsuz değer almasına verilen ad aşağıdakilerden hangisidir?
|
Sürekli rassal değişken |
|
Kesikli rassal değişken |
|
Olasılık değişkeni |
|
Dağılım değişkeni |
|
Ayrık değişken |
Değişkenlerin sonsuz bir aralıkta sonsuz değer alıyor ise bu tür değişkenlere sürekli rassal değişkenler adı verilir.
6.Soru
olmak üzere bu iki vektörün dış çarpımının determinantı aşağıdakilerden hangisidir?
|
|
|
|
|
|
|
|
|
|
vektörlerinin dış çarpımları
şeklinde hesaplanır. Bu durumda
elde edilir. Böylece A×B dış çarpımının determinantı bulunur.
7.Soru
Kutupsal koordinatlarda ile gösterilen noktanın kartezyen koordinatlardaki karşılığı aşağıdakilerden hangisidir?
|
|
|
|
|
|
|
|
|
|
Kutupsal koordinatlarda verilen bir noktanın kartezyen koordinatlardaki karşılığını eşitlikleri ile bulabiliriz. Verilen değerleri yerlerine koyduğumuzda
olarak hesaplanır.
8.Soru
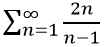
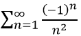
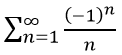
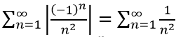
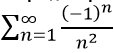
Aşağıdaki serilerden hangisi mutlak yakınsaktır?
|
|
|
|
|
|
|
|
|
|
serisi yakınsak olduğundan
serisi de mutlak yakınsaktır.
9.Soru
I. Yükseklik
II. Mertebeleme
III. Ağırlık merkezi
Yukarıdakilerden hangileri durulaştırma yöntemlerindendir?
|
Yalnız I |
|
Yalnız II |
|
I ve II |
|
II ve III |
|
I ve III |
Durulaştırma işleminde kullanılan yöntemlerden ikisi Yükseklik Yöntemi ve Ağırlık Merkezi Yöntemidir. Bu iki yöntemin dışında ayrıca üyelik derecesi en büyük olan elemanların aritmetik ortalamasına dayanan, en büyüklerin ortası yöntemi ve simetrik üyelik fonksiyonlarının bulunması hâlinde kullanılan ağırlıklı ortalama yöntemleri de mevcuttur.
10.Soru
Yukarıdaki grafikte orta yaşlı kavramını temsil eden üyelik fonksiyonu gösterilmiştir.
Hangi yaş için orta yaş kavramının üyelik fonksiyonu değeri en küçüktür?
|
38 |
|
42 |
|
45 |
|
35 |
|
32 |
32 yaş dışında seçeneklerde verilen tüm yaşlar için üyelik fonksiyonu değeri 1/2 den büyük veya 1/2 ye eşittir.
11.Soru
Aşağıdaki grafiğe göre f(-4)+f(0)+f-1(7) işleminin sonucu aşağıdakilerden hangisidir?
|
6 |
|
7 |
|
8 |
|
9 |
|
10 |
f(-4)=5 , f(0)=-1’dır.
f-1(7)=a ise f(a)=7 ve buradan a=4 olur.
O zaman f(-4)+f(0)+f-1(7)=5+(-1)+4=8 elde edilir.
12.Soru
f (x) = cos (5x) ise f '' (x) = ?
|
5 cos (x) |
|
5 sin (x) |
|
25 sin (5x) |
|
25 cos (5x) |
|
-25 cos (5x) |
f '' (x)= (cos (5x))''= (-5 sin (5x))' = -25 cos (5x) elde edilir.
13.Soru
y=(x2+3x)(5x-8) ifadesinin birinci türevinin x=1 deki değeri aşağıdakilerden hangisidir?
|
5 |
|
-8 |
|
2 |
|
12 |
|
-12 |
Çarpım kuralını uygularsak,
y'=(2x+3)(5x-8)+5(x2+3) olur. x=1 için ise y'|(x=1)=5.(-3)+5.4=5 olur.
14.Soru
Kutupsal koordinatlarda olarak gösterilen noktanın Kartezyen koordinatlardaki gösterimi nedir?
|
|
|
|
|
|
|
|
|
|
Kutupsal koordinatlarda verilen bir ikilisinin kartezyen koordinatlardaki karşılığı
ve
olmak üzere (x,y) ikilisidir. Dolayısıyla
olur ve verilen noktanın Kartezyen koordinatlardaki karşılığı
olarak bulunur.
15.Soru
dizisinin limiti hangi seçenekte doğru olarak verilmiştir?
|
1/3 |
|
4/5 |
|
5/4 |
|
7/2 |
|
12/5 |
olarak bulunur. Doğru seçenek C şıkkıdır.
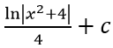
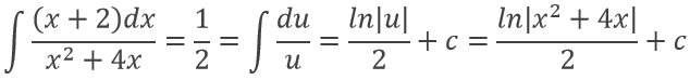
16.Soru
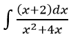
integralinin sonucu aşağıdakilerden hangisidir?
|
|
|
|
|
|
|
|
|
|
Soruda verilen integrali değişken değiştirme ile çözelim. x2+4x=u ise 2(x+2)dx=du olur.
18.Soru
f(x)=-3x+3 fonksiyonunun grafiği aşağıdakilerden hangisidir?
|
x |
|
|
|
|
|
|
|
|
y=f(x)=-3x+3 fonksiyonu bir doğru belirtir ve x=0 için y=3, y=0 için x=1 olduğundan, bu doğru x eksenini (1, 0), y eksenini (0, 3) noktasında keser.
-
- 1.SORU ÇÖZÜLMEDİ
- 2.SORU ÇÖZÜLMEDİ
- 3.SORU ÇÖZÜLMEDİ
- 4.SORU ÇÖZÜLMEDİ
- 5.SORU ÇÖZÜLMEDİ
- 6.SORU ÇÖZÜLMEDİ
- 7.SORU ÇÖZÜLMEDİ
- 8.SORU ÇÖZÜLMEDİ
- 9.SORU ÇÖZÜLMEDİ
- 10.SORU ÇÖZÜLMEDİ
- 11.SORU ÇÖZÜLMEDİ
- 12.SORU ÇÖZÜLMEDİ
- 13.SORU ÇÖZÜLMEDİ
- 14.SORU ÇÖZÜLMEDİ
- 15.SORU ÇÖZÜLMEDİ
- 16.SORU ÇÖZÜLMEDİ
- 17.SORU ÇÖZÜLMEDİ
- 18.SORU ÇÖZÜLMEDİ