aof.sorular.net
Coğrafi Bilgi Sistemleri İçin Temel Matematik
Coğrafi Bilgi Sistemleri İçin Temel Matematik Deneme Sınavı
Coğrafi Bilgi Sistemleri İçin Temel Matematik Deneme Sınavı Sorusu #625685
Coğrafi Bilgi Sistemleri İçin Temel Matematik Deneme Sınavı Sorusu #625685
Aşağıdaki serilerden hangileri ıraksaktır?
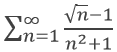
I.
II.
III.
|
Yalnız I |
|
Yalnız II |
|
I ve II |
|
II ve III |
|
Hepsi |
Yanıt Açıklaması:
Her n için ıraksak olduğundan
serisi de ıraksaktır.
harmonik serisi ıraksaktır. Her n için
ıraksak olduğundan
serisi de ıraksaktır.
Yorumlar
- 0 Yorum