Coğrafi Bilgi Sistemleri İçin Temel Matematik Final 8. Deneme Sınavı
Toplam 19 Soru1.Soru
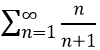
dizisinin limiti aşağıdakilerden hangisidir?
|
3 |
|
4 |
|
|
|
0 |
|
∞ |
2.Soru
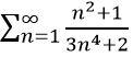
Kusursuz bir zar 3 kez ve bir para 1 kez atılsın. Bu deneyden kaç farklı sonuç beklenir?
|
64 |
|
128 |
|
216 |
|
428 |
|
648 |
Bir zarın atılmasında 6 , paranın atılmasında 2 farklı sonuç vardır. Eğer bir deneyde ilk aşamada a tane ikinci aşamada b tane sonuç elde ediyorsak toplam sonuç sayısı Sayma Kuralına göre a.b’dir. Zar 3 kez atılırsa toplam sonuç 6*6*6 = 216 olur. Para 1 kez atılırsa toplam sonuç = 2 bulunur. Zar ile para olaylarını birlikte ele aldığımızda toplam sonuç sayısı 6*6*6*2 = 428 elde edilir. Doğru cevap D seçeneğidir.
3.Soru
y = (2x2 – 10)(x3+1) fonksiyonunun x = - 1 noktasındaki türevi aşağıdakilerden hangisidir ?
|
-8 |
|
-6 |
|
-2 |
|
0 |
|
5 |
y1= (4x) (x3+1) + ( x2) (2x2 – 10)
= 4x4+4x + 2x4- 10x2
= 6 x4 – 10 x2 + 4 x
X= - 1 noktası dediği için türevi alınan fonksiyonda x yerine ( -1 ) yazıyoruz.
= 6(-1)4 – 10(-1)2 + 4(-1)
= 6 -10 -4
= - 8
4.Soru
Durulaştırma ile ilgili verilen aşağıdaki bilgilerden hangisi yanlıştır?
|
Bulanık olan bilgilerin kesin sonuçlar haline dönüştürülmesi için yapılan işlemlerin tümüne birden durulaştırma işlemleri denir. |
|
Yükseklik yöntemi durulaştırmada kullanılan yöntemlerden birisidir. |
|
Ağırlık merkezi yönteminde bulanık çıkış fonksiyonunun altında kalan bölgenin ağırlık merkezi bulunur. |
|
Ağırlıklı ortalama yöntemi durulaştırmada kullanılan yöntemlerden bir tanesidir. |
|
En büyüklerin ortası yöntemi simetrik üyelik fonksiyonlarının bulunması halinde kullanılan bir yöntemdir. |
En büyüklerin ortası yöntemi üyelik derecesi en büyük olan elemanların aritmetik ortalamasına dayanan bir yöntemdir. Simetrik üyelik fonksiyonlarının bulunması halinde kullanılan yönteme ağırlıklı ortalama yöntemi denir.
5.Soru
Yukarıdaki grafikte orta yaşlı kavramını temsil eden üyelik fonksiyonu gösterilmiştir.
Hangi yaş için orta yaş kavramının üyelik fonksiyonu değeri en büyüktür?
|
28 |
|
35 |
|
38 |
|
45 |
|
47 |
38 yaş dışında seçeneklerde verilen tüm yaşlar için üyelik fonksiyonu değeri 1/2 den küçük veya 1/2 ye eşittir.
6.Soru
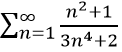
serisi için aşağıdakilerden hangisi doğrudur?
|
|
|
|
|
|
|
|
|
|
Genel terimin limiti sıfırdan farklıysa seri ıraksaktır. Yani olduğu için seri ıraksaktır. 1>0 olduğundan dolayı seri +∞’a ıraksar.
7.Soru
Aşağıda verilen fonksiyon grafiklerinden hangisi, bulanık mantıkta
kullanılan bir üyelik fonksiyonu grafiğidir?
|
|
|
|
|
|
|
|
|
|
Üyelik fonksiyonunun 0 ile 1 arasında değerler alması gerekir. Bu duruma sadece D) şıkkı uymaktadır.
8.Soru
lim┬(n→∞)〖〖( 1/2 )〗^3 〗 işleminin sonucu nedir ?
|
0 |
|
1/2 |
|
3 |
|
1/8 |
|
e) + ∞ |
{ a_n } ve { b_n } yakınsak diziler ve c bir sabit sayı olsun. Bu durumda lim┬(n→∞)c = c dir. Yani lim┬(n→∞)〖〖( 1/2 )〗^3 〗 = 〖 ( 1/2 )〗^3 = 1/8 olarak bulunur.
9.Soru
Genel terimi an = 1/n şeklinde tanımlanan dizinin 12. elemanı aşağıdaki seçeneklerden hangisinde doğru verilmiştir?
|
1 |
|
1/3 |
|
1/6 |
|
1/12 |
|
1/24 |
an = 1/n şeklinde tanımlanan dizinin 1. elemanı n = 1 için 1/1 = 1 olur. Dizinin 2. elemanı n = 2 için 1/2 , 3. elemanı 1/3 ... şeklinde gider. O halde dizinin 12. elemanı n= 12 için 1/12 olarak elde edilir. Doğru seçenek D şıkkıdır.
10.Soru
Aşağıdakilerden hangisi yanlıştır?
|
Bir dizi artan ve üstten sınırlıysa yakınsaktır. |
|
Bir dizi azalan ve alttan sınırlıysa yakınsaktır. |
|
Dizi artan ve üstten sınırlı değilse ıraksaktır. |
|
Sınırlı her dizi yakınsaktır. |
|
Dizi azalan ve alltan sınırlı değilse ıraksaktır. |
Yakınsak her dizi sınırlıdır ancak sınırlı bir dizi yakınsak olmak zorunda değildir. Ancak artan ve üstten sınırlıysa veya azalan ve alttan sınırlıysa yakınsaktır. Örneğin {an}= (-1)n dizisi sınırlıdır ancak yakınsak değildir.
11.Soru
İlk defa bir buhar makinesinin kontrolünü; bulanık sistem ile modellemeyi başarmış olan bilim insanı/insanları aşağıdakilerden hangisidir ?
|
Lukasiewicz |
|
Planck |
|
Aristo |
|
Zadeh |
|
Mamdani ve Asilyan |
BULANIK MANTIĞIN TARİHÇESİ başlığı altında,
Bulanık kavram ve sistemlerin dünyanın değişik araştırma merkezlerinin dikkatini çekmesi, ilk kez 1975 yılında Mamdani ve Asilyan tarafından gerçekleştirilen bir kontrol uygulamasıyla olmuştur. Bu araştırmacılar, ilk defa bir buhar makinesinin kontrolünü; bulanık sistem ile modellemeyi başarmışlardır
12.Soru
Aşağıdaki serilerden hangileri ıraksaktır?
I.
II.
III.
|
Yalnız I |
|
Yalnız II |
|
I ve II |
|
II ve III |
|
Hepsi |
Her n için ıraksak olduğundan
serisi de ıraksaktır.
harmonik serisi ıraksaktır. Her n için
ıraksak olduğundan
serisi de ıraksaktır.
13.Soru
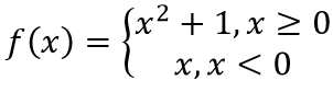
ise f(0) + f(1) kaçtır ?
|
1 |
|
2 |
|
3 |
|
4 |
|
5 |
f(0)+f(1)=02+1+12+1=3 elde edilir.
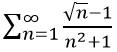
14.Soru
serisinin limiti hangi seçenekte verilmiştir?
|
4/3 |
|
8/3 |
|
16/3 |
|
32/3 |
|
64/3 |
olduğundan doğru cevap A seçeneğinde verilmiştir.
15.Soru
y = 4+2x -x2 parabolü ile y = 2x-5 doğrusu arasında kalan alanı bulunuz.
|
30 |
|
36 |
|
40 |
|
44 |
|
53 |
Önce bu iki fonksiyonun kesişim noktalarını bulalım. Yani integral sınırlarını bulalım.
4+2x -x2 = 2x-5
X2 – 9= 0 ve çözüm kümesi ise x1=-3 ve x2= 3 olarak bulunur.Bunlar aynı zamanda integral sınırlarıdır.İntegrali alınacak fonksiyon ise
∫_(-3)^3▒〖〖(x〗^2-9)dx〗 = ∫_(-3)^3▒〖〖(x〗^2)dx〗 -9 ∫_(-3)^3▒dx = ( x^3/3 - 9x ) I_(-3)^3 = |-36| = 36 br2
16.Soru
Üç boyutlu uzayda ölçekleme dönüşümüyle hangi nokta (3,-2,-1) noktasına resmedilir?
|
|
|
|
|
|
|
|
|
|
Verilen ölçekleme dönüşümü herhangi bir noktanın x-bileşenini 2 ile, y-bileşenini ile ve z-bileşenini
ile çarpmaktadır. Dolayısıyla bu işlem sonunda (3,-2,-1) noktasının elde edilebilmesi için bu işlemlerin
noktasına uygulanması gerekir.
17.Soru
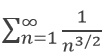
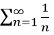
∑_(n=1)^∞▒1/n^(1/4) serisi için aşağıdakilerden hangisi söylenebilir ?
|
+ ∞ ‘a ıraksaktır |
|
- ∞ ‘a ıraksaktır |
|
Seri yakınsaktır ve toplamı 1 dir |
|
Seri yakınsaktır ve toplamı 17 dir. |
|
Bir şey söylemez |
∑_(n=1)^∞▒1/n^p serisi verilsin, Eğer p>1 ise seri yakınsak, aksi durumda p ≤1 ise seri
+ ∞ ‘a ıraksaktır.
Bizim örneğimiz p ≤ 1 olarak verildiği için + ∞ ‘a ıraksaktır.
18.Soru
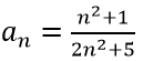
dizisi ile ilgili aşağıdakilerden hangisi doğrudur?
|
Monoton olmayan ıraksak bir dizidir. |
|
Alttan sınırlı, 1’e yakınsak bir dizidir. |
|
Sınırlı ve 1/5’e yakınsak bir dizidir. |
|
Üstten sınırsız azalan bir dizidir. |
|
Sınırlı, 1/2’ye yakınsak bir dizidir. |
an dizisinin limiti ½'dir. Yani dizi yakınsak ve ½’ye yakınsayan bir dizidir. Sınırlı ve pozitif terimlidir.
19.Soru
s(A-B)=2 ; s(B-A)=4 ve s(A∩B)=3 olduğuna göre s(A)+s(B) kaçtır?
|
9 |
|
5 |
|
12 |
|
13 |
|
6 |
s(A)= s(A-B)+ s(A∩B)=2+3=5
s(B)= s(B-A)+ s(A∩B)=4+3=7
s(A)+s(B)=5+7=12
-
- 1.SORU ÇÖZÜLMEDİ
- 2.SORU ÇÖZÜLMEDİ
- 3.SORU ÇÖZÜLMEDİ
- 4.SORU ÇÖZÜLMEDİ
- 5.SORU ÇÖZÜLMEDİ
- 6.SORU ÇÖZÜLMEDİ
- 7.SORU ÇÖZÜLMEDİ
- 8.SORU ÇÖZÜLMEDİ
- 9.SORU ÇÖZÜLMEDİ
- 10.SORU ÇÖZÜLMEDİ
- 11.SORU ÇÖZÜLMEDİ
- 12.SORU ÇÖZÜLMEDİ
- 13.SORU ÇÖZÜLMEDİ
- 14.SORU ÇÖZÜLMEDİ
- 15.SORU ÇÖZÜLMEDİ
- 16.SORU ÇÖZÜLMEDİ
- 17.SORU ÇÖZÜLMEDİ
- 18.SORU ÇÖZÜLMEDİ
- 19.SORU ÇÖZÜLMEDİ