aof.sorular.net
Devre Analizi
Devre Analizi Deneme Sınavı
Devre Analizi Deneme Sınavı Sorusu #1235283
Devre Analizi Deneme Sınavı Sorusu #1235283
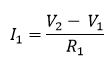
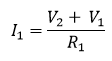
Yukarıdaki şekle göre V2 düğüm noktası için akım formülü aşağıdakilerden hangisinde verilmiştir?
|
|
|
|
|
|
|
|
|
|
Yanıt Açıklaması:
Doğru formül
Yorumlar
- 0 Yorum