aof.sorular.net
Devre Analizi
Devre Analizi Deneme Sınavı
Devre Analizi Deneme Sınavı Sorusu #1235711
Devre Analizi Deneme Sınavı Sorusu #1235711
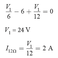
Yukarıdaki devreye göre I12? akım değeri kaçtır?
|
1 A |
|
2 A |
|
3 A |
|
4 A |
|
5 A |
Yanıt Açıklaması:
Yorumlar
- 1 Yorum
-
Aykhan 23.08.2024 21:20:34
bir hatali soru daha, v36 oluyor 36/12 = 3 yapar 2 degil