Fotogrametri Deneme Sınavı Sorusu #720632

Çapsal mercek distorsiyonu aşağıdaki eşitliklerden hangisiyle ifade edilir?



Yanıt Açıklaması:

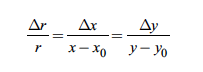
Polinomsal bir fonksiyon olarak çapsal mercek distorsiyonu aşağıdaki eşitlikle ifade edilir:

Doğru yanıt C'dir.

Yorumlar
  • 0 Yorum