Fotogrametri Ara 2. Deneme Sınavı
Toplam 20 Soru1.Soru
"Emülsiyondaki gümüş tuzu taneciklerinin her birine verilen addır."Verilen tanım aşağıdaki kavramlardan hangisine aittir?
|
Ayırma Gücü |
|
Gren |
|
Gamma |
|
Pozlanma |
|
Matlık |
Emülsiyondaki gümüş tuzu taneciklerinin her birine verilen addır.Gümüş
tuzu tanecikleri ışıklandırılıp geliştirildikten sonra siyah metalik gümüş zerreciklere
dönüşerek görüntüyü oluştururlar.
2.Soru
Aşağıdakilerden hangisi optik eksene yakın gelen ışınlar uzakta kesişirler. Bu kusur ne olarak adlandırılır?
|
Koma |
|
Küresel Aberasyon |
|
Astigmatizm |
|
Görüntü Alanının Eğriliği |
|
Distorsiyon |
Küresel Aberasyon, Optik eksene yakın gelen ışınlar uzakta kesişirler. Bu kusur ne olarak adlandırılır.
3.Soru
Fotogrametrik kameralarla çekilmiş fotoğrafların köşelerinde veya kenar ortalarında bulunan özel işaretlere ne ad verilir?
|
Fotoğraf orta noktası |
|
İzdüşüm merkezi |
|
Çerçeve işaretleri |
|
İzdüşüm ışını |
|
Kamera ekseni |
Fotogrametrik kameralarla çekilmiş fotoğrafların köşelerinde veya kenar ortalarında bulunan özel işaretlere çerçeve işaretleri denir. Diğer seçeneklerde yer alan kavramlar ise şöyledir:
Fotoğraf Orta Noktası: Çerçeve işaretlerinin karşılıklı olarak birleştirilmesi ile elde edilen kesim noktasına denir. İzdüşüm Merkezi: Kamera optik sisteminin merkezine izdüşüm merkezi denir. İzdüşüm Işını: Nesne uzayındaki bir noktadan gelen ve izdüşüm merkezinden geçerek P' fotoğraf noktasını oluşturan doğru parçasıdır. Kamera Ekseni: Kamera optik sisteminin eksenine kamera ekseni veya asal eksen denir. Soruda çerçeve işaretlerinin tanımı verildiği için doğru yanıt C'dir.
4.Soru
Hangisinde analog hava fotoğraflarının özellikleri doğru verilmiştir?
|
Üçgen biçimindedir. |
|
Tek bir adet çerçeve işareti vardır |
|
fotoğraf çekim tarihi ve saati gibi bilgiler de bulunur |
|
Herhangi bir numaraya sahip değillerdir. |
|
Fotoğraf ölçeğine sahip değillerdir |
Analog hava fotoğrafları kare biçimindedir. Kenar orta noktalarında veya dört köşesinde çerçeve işaretleri bulunur. Bazen her ikisi ile birlikte sekiz adet çerçeve işareti vardır. Bu fotoğrafların kenarında ayrıca film ve fotoğraf numarası, odak uzaklığı, fotoğraf ölçeği, fotoğraf çekim tarihi ve saati gibi bilgiler de bulunur.
5.Soru
Aşağıdaki seçeneklerden hangisinde asal uzaklığın tanımı doğru olarak verilmiştir?
|
Fotoğraf düzlemi ile izdüşüm merkezi arasındaki uzaklıktır |
|
İzdüşüm merkezinden geçen çekül doğrusunun fotoğraf ve araziyi kestiği yerdir. |
|
İzdüşüm merkezinden fotoğraf düzlemine indirilen dikin ayağıdır. |
|
Kamera optik sisteminin eksenidir. |
|
Kamera optik sisteminin merkezidir. |
Asal uzaklık; fotoğraf düzlemi ile izdüşüm merkezi arasındaki uzaklıktır. Doğru yanıt A seçeneğidir.
6.Soru
Aşağıdakilerden hangisi hava fotoğrafları için söylenemez?
|
Tam düşey fotoğraf değillerdir |
|
Kamera ekseni, düşey doğrultudan bir miktar sapar |
|
Gerçek ölçeklere sahiptir ve paydaları 500, 1000, 2000, 2500, 5000 gibi net sayılardır. |
|
Fotoğraf ölçekleri yaklaşık ölçeklerdir |
|
Homojen bir ölçekten söz edilemez. |
Pratikte tam düşey fotoğraf çekilemez. Kamera ekseni, düşey doğrultudan bir miktar sapar. Gerek yükseklik farkları ve gerekse fotoğraf eğiklikleri nedeniyle hava fotoğrafı için, fotoğrafın her yerinde aynı olan, homojen bir ölçekten söz edilemez. Başka bir deyişle fotoğraf ölçekleri yaklaşık ölçeklerdir. Harita ölçeklerinin paydaları 500, 1000, 2000, 2500, 5000 gibi yuvarlak sayılar oldukları halde fotoğraf ölçekleri herhangi bir sayı olabilir. Bununla birlikte hava fotoğraflarının çekim ve planlanması açısından bu sayılar da 6000, 14000, 18000 gibi yuvarlak sayılardır.
7.Soru
Aşağıdakilerden hangisi "Değerlendirme yöntemine göre" sınıflanan fotogrametiden biridir?
|
Metrik Fotogrametri |
|
Topoğrafik Fotogrametri |
|
Analog Fotogrametri |
|
Hava Fotogrametrisi |
|
Tek Resim Fotogrametrisi |
Değerlendirme Yöntemine Göre;
• Grafik (Plançete) Fotogrametri
• Analog Fotogrametri
• Analitik Fotogrametri
• Sayısal (Digital) Fotogrametri
8.Soru
1827 yılında Joseph Nicephore Niépce tarafından elde edilen ilk görüntünün pozlanma süresi aşağıdakilerden hangisinde doğru verilmiştir?
|
1 saniye |
|
5 saniye |
|
6 dakika |
|
8 saat |
|
4 saat |
Joseph Nicephore Niépce, Louis Daguerre, Hippolyte Bayard ve Fox Talbot’un kalıcı görüntü elde etme çabaları büyük bir gizlilik içinde ve sanki yarışma halinde sürmüştür. Joseph Nicephore Niépce 1827 yılında 8 saatlik bir pozlama süresi sonunda bilinen ilk görüntüyü elde etmiştir. Doğru yanıt “D”dir.
9.Soru
Klasik hava kameralarında kamera distorsiyon hatası kaç mikrondan daha küçüktür?
|
1 |
|
2 |
|
3 |
|
4 |
|
5 |
Klasik hava kameralarında kamera distorsiyon hatası 5 mikrondan daha küçüktür.
10.Soru
Klasik fotogrametri yöntemi ile ilk harita üretimine ne zaman başlanmıştır?
|
I. Dünya Savaşı'nda |
|
I. Dünya Savaşı öncesi |
|
II. Dünya Savaşı sonrası |
|
I. Dünya Savaşı sonrası |
|
II. Dünya Savaşı öncesi |
II. Dünya Savaşı sonrası, gelişmiş ve gelişmekte olan ülkelerin, gereksinim duydukları seri haritalar fotogrametri yöntemi ile üretilmeye başlanmıştır. Doğru yanıt “C”dir.
11.Soru
İzdüşüm merkezinden geçen ve bir düzlem içinde bulunan izdüşümışınları kümesine ne ad verilir?
|
Işın demeti |
|
Işın destesi |
|
İç yönelme elemanları |
|
Çekül doğrusu |
|
Kamera ekseni |
İzdüşüm merkezinden geçen ve bir düzlem içinde bulunan izdüşüm ışınları kümesine ışın demeti denir.
12.Soru
Benzerlik dönüşümünün parametreleri hangi seçenekte doğru olarak verilmiştir?
|
1 ölçek, 2 dönüklük ve 2 öteleme |
|
2 ölçek, 2 dönüklük ve 2 öteleme |
|
1 ölçek, 1 dönüklük ve 1 öteleme |
|
1 ölçek, 1 dönüklük ve 2 öteleme |
|
2 ölçek, 1 dönüklük ve 1 öteleme |
x=ax-by+c ve y=bx+ay+d
denklemleri uyarınca, benzerlik dönüşümünde 1 ölçek, 1 dönüklük ve 2 öteleme olmak üzere 4 parametre vardır. Doğru yanıt D'dir.
13.Soru
Doğrudan nesneler üzerinde ölçme ve veri toplama yöntemlerine göre daha kolay, hızlı ve ekonomik olabilmektedir. Doğrudan ölçme yöntemleri ile ölçülmesi ve ulaşılması güç olan nesnelerin ölçülmesi kolay olabilmektedir. Hareketli nesnelerin ölçülmesinde olduğu gibi, doğrudan ölçülmesi olanaksız nesnelerin ölçülmesi sağlanabilir. Nesneler üzerinde ölçmeler fiziksel bir temas olmadan yapıldığı için herhangi bir zarar verme riski yoktur. Fotoğraflar üzerinde istenildiği zaman tekrar ölçüm yapılabilir. Yukarıda verilenlerden hangisi/hangileri fotogrametrinin üstün yönleri arasındadır?
|
I ve IV |
|
II ve III |
|
II, III ve V |
|
II, III, IV ve V |
|
I, II, III, IV ve V |
Fotogrametri, dolaylı bir ölçme ve veri toplama yöntemidir. Ölçümler ve veri toplama işlemleri doğrudan nesne üzerinde değil fotoğraf üzerinde yapılmaktadır. Dolaylı ölçme ve veri toplama yöntemi olarak fotogrametrinin üstünlükleri:
- Doğrudan nesneler üzerinde ölçme ve veri toplama yöntemlerine göre fotoğraflar üzerinde çalışmak daha kolay, hızlı ve sonuç olarak daha ekonomik olabilmektedir.
- Doğrudan ölçme yöntemleri ile ölçülmesi ve ulaşılması güç olan nesnelerin ölçülmesi kolay olabilmektedir.
- Hareketli nesnelerin ölçülmesinde olduğu gibi, doğrudan ölçülmesi olanaksız nesnelerin ölçülmesi sağlanabilir.
- Nesneler üzerinde ölçmeler fiziksel bir temas olmadan yapıldığı için herhangi bir zarar verme riski yoktur.
- Fotoğraflar üzerinde istenildiği zaman tekrar ölçüm yapılabilir.
14.Soru
Aşağıdakilerden hangisi fotogrametrinin doğrudan ölçme ve veri toplama yöntemlerinden farklarından biri değildir?
|
Ulaşılması ve ölçülmesi güç olan nesneler kolaylıkla ölçülebilir. |
|
Hareketli nesneler daha kolay ölçülür. |
|
Fiziksel temasa gerek duymadan ölçüm yapılabilir. |
|
Ölçümler fotoğraflar üzerinden tekrar tekrar yapılabilir. |
|
Fotoğraflarla çalışmak ölçümü zaman açısından uzatabilir. |
Doğrudan nesneler üzerinde ölçme ve veri toplama yöntemlerine göre fotoğraflar üzerinde çalışmak daha kolay, hızlı ve sonuç olarak daha ekonomik olabilmektedir. Buna göre doğru cevap E'dir.
15.Soru
I. İleriye, yanlara ve aşağıya iyi bir görüş sağlamalıdır.
II. Değişik hızlarda uçabilmelidir.
III. Yakıt ikmali yapmadan en az 4 saat, olabilirse 6-7 saat havada kalabilmelidir.
IV. Uçak içinde 7-8 kişinin rahatlıkla çalışabileceği bir kabin bulunmalıdır.
Yukarıdakilerin hangisi fotogrametride kullanılan uçaklarda bulunması gereken özelliklerdendir?
|
I ve II |
|
I ve III |
|
Sadece I |
|
I, II ve III |
|
I, II ve IV |
Hava fotogrametrisinde fotoğraflar genellikle uçaklardan çekilir.
Fotogrametride kullanılan uçaklarda aşağıdaki özelliklerin bulunması gerekir.
• İleriye, yanlara ve aşağıya iyi bir görüş sağlamalıdır.
• Değişik hızlarda uçabilmeli sözgelimi 150-300 km/h.
• Yakıt ikmali yapmadan en az 4 saat, olabilirse 6-7 saat havada kalabilmeli.
• Deniz yüzeyinden itibaren kolayca 7000-8000 metre yüksekliğe çıkabilmeli.
• Kısa pistlere kolayca iniş ve kalkış yapabilmeli.
• Ağırlık merkezinin tam altında kamera için bir delik bulunmalı.
• Uçak içinde 3-4 kişinin rahatlıkla çalışabileceği bir kabin bulunmalı.
16.Soru
Film düzlemine düşürülecek ışığın niteliğini kontrol etmek amacıyla objektifin
önüne takılan cam, plastik veya jelatinden yapılmış nesnelere ne ad verilir?
|
Objektif |
|
Duyarlık |
|
Açıklık |
|
Diyafram |
|
Filtre |
Filtreler, film düzlemine düşürülecek ışığın niteliğini kontrol etmek amacıyla objektifin önüne tak›lan cam, plastik veya jelatinden yapılmış nesnelerdir. Fotoğrafçılıkta filtreler, sis ve pusun neden olduğu saçılmanın etkisini azaltmak, parıldamayı önlemek vb. amaçlar için kullanılır.
17.Soru
Sayısal kameralar kaç ana guruba ayrılır?
|
3 |
|
4 |
|
2 |
|
5 |
|
6 |
Sayısal kameralar 2 ana guruba ayrılır. Bunlar; Sayısal çerçeve hava kameralar ve sayısal satır tarayıcı hava kameralardır.
18.Soru
Aşağıdaki gelişmelerden hangisi "fotogrametri" terimi keşfedildikten sonra gerçekleşmiştir?
|
Camera Obscura'nın keşfi |
|
Güneş ışığı tarafından gümüş nitrat kristallerinin karardığının keşfi |
|
Steoroskopik çizimler yapılması |
|
Topografik harita yapımı için yersel fotoğrafların kullanılması |
|
Alp buzullarının ölçümü için hafif bir fototeodolit geliştirilmesi. |
Fotogrametri terimi ilk kez 1855’de coğrafyacı Kersten tarafından kullanıldı. Bu
terim Albert Meydenbauer tarafından 1867’de uluslararası literatüre kazandırıldı. Sebastian Finsterwalder Alp buzullarının ölçümü için 1888’de hafif bir fototeodolit geliştirdi. Buna göre doğru cevap E'dir.
19.Soru
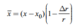
Çapsal mercek distorsiyonu aşağıdaki eşitliklerden hangisiyle ifade edilir?
|
|
|
|
|
|
|
|
|
|
Polinomsal bir fonksiyon olarak çapsal mercek distorsiyonu aşağıdaki eşitlikle ifade edilir:
Doğru yanıt C'dir.
20.Soru
Aşağıdaki seçeneklerden hangisinde analog fotoğraf elde ediniminin sırası doğru verilmiştir?
|
Işığa duyarlı sensörlerle ışığın kimyasal olarak kayıt edilmesi--radyometrik yoğunluk değerine dönüştürülmesi-elektriksel yük üretilmesi |
|
Işığa duyarlı sensörlerle ışığın kimyasal olarak kayıt edilmesi-elektriksel yük üretilmesi-radyometrik yoğunluk değerine dönüştürülmesi |
|
Emülsüyonla ışığın kimyasal olarak kayıt edilmesi-kararma derecelerine göre kayıt yapılması-ışığa duyarlı maddenin yayılması |
|
Emülsüyonla ışığın kimyasal olarak kayıt edilmesi-ışığa duyarlı maddenin yayılması-kararma derecelerine göre kayıt yapılması |
|
Işığa duyarlı sensörlerle ışığın kimyasal olarak kayıt edilmesi-ışığa duyarlı maddenin yayılması-kararma derecelerine göre kayıt yapılması |
Işığın kimyasal olarak kayıt edilmesi, emülsiyon adı verilen ışığa duyarlı bir tabaka yardımıyla gerçekleştirilir. Işığa duyarlı madde, film, kart ve cam gibi fotoğraf altlıklarının üzerine yayılmıştır.Bu madde üzerine düşen ışık miktarına bağlı olarak etkilenir.Işığın geldiği noktalarda farklı kararma dereceleri ile kayıt yapılmış olur.Bu şekilde elde edilen fotoğrafa analog fotoğraf ya da film tabanlı fotoğraf denilmektedir. Doğru yanıt D seçeneğidir.
-
- 1.SORU ÇÖZÜLMEDİ
- 2.SORU ÇÖZÜLMEDİ
- 3.SORU ÇÖZÜLMEDİ
- 4.SORU ÇÖZÜLMEDİ
- 5.SORU ÇÖZÜLMEDİ
- 6.SORU ÇÖZÜLMEDİ
- 7.SORU ÇÖZÜLMEDİ
- 8.SORU ÇÖZÜLMEDİ
- 9.SORU ÇÖZÜLMEDİ
- 10.SORU ÇÖZÜLMEDİ
- 11.SORU ÇÖZÜLMEDİ
- 12.SORU ÇÖZÜLMEDİ
- 13.SORU ÇÖZÜLMEDİ
- 14.SORU ÇÖZÜLMEDİ
- 15.SORU ÇÖZÜLMEDİ
- 16.SORU ÇÖZÜLMEDİ
- 17.SORU ÇÖZÜLMEDİ
- 18.SORU ÇÖZÜLMEDİ
- 19.SORU ÇÖZÜLMEDİ
- 20.SORU ÇÖZÜLMEDİ