aof.sorular.net
Genel Matematik
Genel Matematik Deneme Sınavı
Genel Matematik Deneme Sınavı Sorusu #684598
Genel Matematik Deneme Sınavı Sorusu #684598
|
1 |
|
2 |
|
3 |
|
4 |
|
5 |
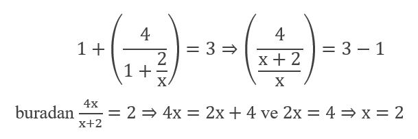
Yanıt Açıklaması:
Dolayısıyla doğru cevap B'dir.
olur.
Yorumlar
- 0 Yorum