Genel Matematik Ara 12. Deneme Sınavı
Toplam 19 Soru1.Soru
Ali’nin 20 TL parası vardır. Ali parasıyla, bir şeker fiyatının 5 fazlası kadar sayıda şeker aldığında 6TL sı kalıyor. Şekerin fiyatı nedir?
|
2 |
|
3 |
|
4 |
|
6 |
|
7 |
4.Soru
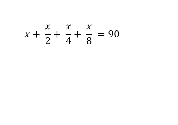
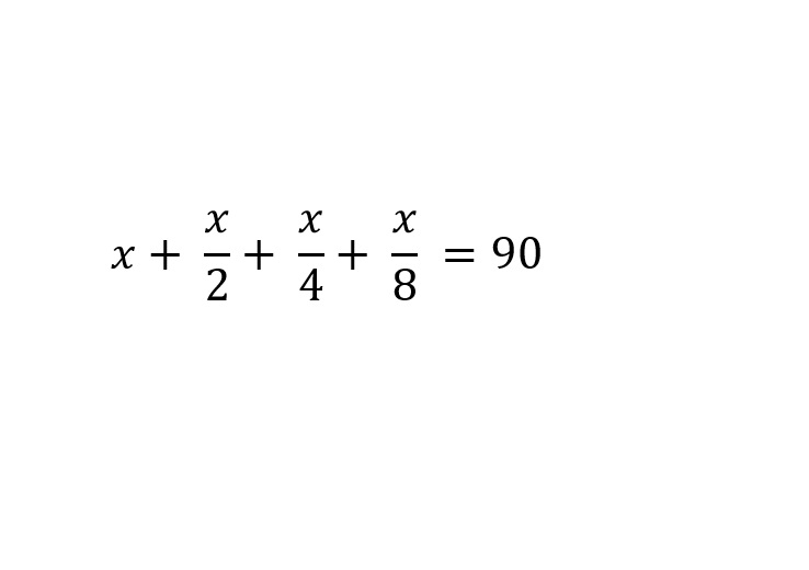
“Ahmet çok istediği 90 TL'lik oyuncağı almak için kumbarasında para biriktiriyor. Ahmet her hafta kumbarasındaki parasını sayıyor. Nihayet istediği oyuncağı alabilecek kadar para biriktirdiğini söylüyor ve annesine kumbarasını veriyor.
Annesi kumbarasındaki paraları kontrol edince Ahmet’in yanlış hesapladığı görüyor ve Ahmet’e bir bilmece yöneltiyor. Eğer bilmeceyi çözebilirse istediği oyuncağı alabilmesi için parasını tamamlayacağını söylüyor. “Kumbarandaki paraya, paranın yarısı, yarısının yarısı, yarısının yarısının yarısı ve 15 TL daha eklersen istediğin oyuncağı alabilirsin” diyor. Bu durumda kumbarada biriken para miktarını hesaplamak için Ahmet aşağıda verilen denklemlerden hangisi kullanmalıdır?
|
|
|
|
|
|
|
|
|
|
5.Soru
|
1 |
|
2 |
|
3 |
|
4 |
|
5 |
Dolayısıyla doğru cevap B'dir.
olur.
6.Soru
Dik kenar uzunlukları (x-1) ve (x+1) birim olan bir dik üçgenin alanı 24 br2 ise bu üçgenin çevresi kaç birimdir?
|
12 |
|
16 |
|
24 |
|
36 |
|
48 |
7.Soru
{a, b, c, d} kümesinin kaç tane alt kümesi vardır?
|
1
|
|
4
|
|
8
|
|
16
|
|
32
|
8.Soru
log8 + log5 - log4 ifadesinin belirttiği sayı kaçtır?
|
0
|
|
10
|
|
1
|
|
log9
|
|
log2
|
9.Soru
kümesi aşağıdakilerden hangisidir?
|
|
|
|
|
|
|
|
|
|
10.Soru
|
c<d<b<a |
|
a<b<c<d |
|
c<a<d<b |
|
b<c<d<a |
|
d<b<a<c |
Dolayısıyla c<d<b<a olup doğru cevap A'dır.
11.Soru
log2128 = x ise x’in değeri aşağıdakilerden hangisidir?
|
7 |
|
6 |
|
5 |
|
4 |
|
3 |
27 = 128 olduğundan,
log2 128 =x
log2 27= x
7 log2 2= x ve log2 2= 1 olduğundan 7 = x olur. Doğru cevap A'dır.
12.Soru
Çeyreğinin 5 eksiği 10 dan büyük olan sayılar kümesi hangisidir?
|
|
|
|
|
|
|
|
|
|
13.Soru
Gerçel sayılar kümesinden gerçel sayılar kümesine f(x)=x ve g(x)=3 fonksiyonları veriliyor. (f . g)(x) fonksiyonu aşağıdakilerden hangisidir?
|
3x
|
|
x-3
|
|
3-x
|
|
3x-3
|
|
x
|
15.Soru
sayısı aşağıdakilerden hangisidir?
|
72 |
|
180 |
|
240 |
|
324 |
|
410 |
Pay ve paydada ki 43 ler sadeleşir.
16.Soru
Dikdörtgen şeklinde bir bahçenin uzun kenarı, kısa kenarından 4 metre daha uzundur. Bu bahçenin alanı 12 m2 olduğuna göre, çevresi kaç metredir?
|
12 |
|
13 |
|
14 |
|
15 |
|
16 |
Kısa kenara x dersek, uzun kenar x+4 olur. Buna göre bahçenin alanına ilişkin x·(x+4)=12, yani x2+4x-12=0 eşitliğini buluruz. Diskriminant ?=64 olduğundan x1=-6 ve x2=2 elde ederiz. Dikdörtgenin kenar uzunluğu negatif olamayacağından x=2 olacağı açıktır. Böylece bahçenin çevresi Ç=2·(2+6)=16 metredir.
17.Soru
3x - (x+1) = 3 denkleminin çözümü aşağıdakilerden hangisidir?
|
5
|
|
4
|
|
1
|
|
3
|
|
2
|
18.Soru
x2+4x+5=0 denkleminin çözüm kümesi aşağıdakilerden hangisidir?
|
0 |
|
1 |
|
5 |
|
4 |
|
yoktur |
x2+4x+5=0 denkleminin çözüm kümesini bulabilmek için öncelikle diskriminantına bakılmalı.
?=b2-4ac<0 ise, reel (gerçel) çözüm yoktur.
?=b2-4ac>0 ise, farklı iki reel kökü vardır.
?=b2-4ac=0 ise, aynı olan iki reel kökü vardır.
?=b2-4ac=42-4.1.5=-4 olduğundan reel kökü yoktur.
Doğru cevap E şıkkıdır.
19.Soru
Milyonda birin 10 tabanına göre logaritması nedir?
|
0
|
|
-10
|
|
-5
|
|
0.000001
|
|
-6
|
-
- 1.SORU ÇÖZÜLMEDİ
- 2.SORU ÇÖZÜLMEDİ
- 3.SORU ÇÖZÜLMEDİ
- 4.SORU ÇÖZÜLMEDİ
- 5.SORU ÇÖZÜLMEDİ
- 6.SORU ÇÖZÜLMEDİ
- 7.SORU ÇÖZÜLMEDİ
- 8.SORU ÇÖZÜLMEDİ
- 9.SORU ÇÖZÜLMEDİ
- 10.SORU ÇÖZÜLMEDİ
- 11.SORU ÇÖZÜLMEDİ
- 12.SORU ÇÖZÜLMEDİ
- 13.SORU ÇÖZÜLMEDİ
- 14.SORU ÇÖZÜLMEDİ
- 15.SORU ÇÖZÜLMEDİ
- 16.SORU ÇÖZÜLMEDİ
- 17.SORU ÇÖZÜLMEDİ
- 18.SORU ÇÖZÜLMEDİ
- 19.SORU ÇÖZÜLMEDİ