aof.sorular.net
Genel Matematik
Genel Matematik Deneme Sınavı
Genel Matematik Deneme Sınavı Sorusu #681213
Genel Matematik Deneme Sınavı Sorusu #681213
|
6 |
|
3 |
|
√6 |
|
√3 |
|
√2 |
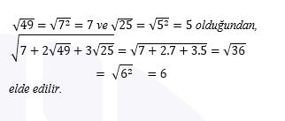
Yanıt Açıklaması:
Dolayısıyla doğru cevap A'dır.
Yorumlar
- 0 Yorum