Genel Matematik Ara 2. Deneme Sınavı
Toplam 20 Soru1.Soru
Aşağıdaki sayı değerlerinden hangisi en büyüktür?
|
log327 |
|
log264 |
|
log100 |
|
log1000 |
|
log464 |
2.Soru
Aşağıdaki kümelerden hangisi
U={x|x<10,x?N} kümesinin bir altkümesi değildir?
|
U |
|
Ø |
|
{1,3,5,7,9} |
|
(1,5) |
|
{1,2,3,4,5} |
U={x|x<10,x?N}={1,2,3,4,5,6,7,8,9} biçiminde U kümesi açıkça yazılabilir. (1,5)?R açık aralığı gerçel sayıların altkümesi olduğundan tamsayı olmayan elemanlar da içerir. Buradan (1,5)?U olur.
3.Soru
f fonksiyonunda f(x)=8f(x-2), f(4)=32 olduğuna göre f(0) kaça eşittir?
|
1/2 |
|
1 |
|
2 |
|
6 |
|
8 |
f(x) fonksiyonda x=4 konularak f(2)=4 bulunur:
f(x)=8f(x-2)
f(4)=8f(2)
32=8f(2)
f(2)=4
Daha sonra x=2 yazılarak f(0)=1/2 bulunur:
f(x)=8f(x-2)
f(2)=8f(0)
4=8f(0)
f(0)=1/2
4.Soru
log327=y ise y doğal sayı değeri kaçtır?
|
-3 |
|
0 |
|
3 |
|
4 |
|
9 |
olarak bulunur. Doğru cevap C'dir.
5.Soru
Aşağıda verilen önermelerden hangisi/hangileri doğrudur?
|
Sadece I |
|
I-II |
|
I-II-III |
|
I-III-IV |
|
I-II-III-IV |
6.Soru
log2-164 sayısı aşağıdakilerden hangisidir?
|
-6 |
|
-4 |
|
2 |
|
4 |
|
6 |
olur.
7.Soru
Denkleminin çözümü nedir?
|
5 |
|
6 |
|
7 |
|
8 |
|
9 |
3(5x+1) - 2(x+2) =6 (2x+1)
15x+3-2x-4=12x+6
13x-1=12x+6
x=7
8.Soru
A={2,3,4,a,b,c},B={1,2,3,6,b,c,d} "ve" C={1,b,c} kümeleri veriliyor. (A?B)?C kümesi aşağıdakilerden hangisidir?
|
{1,3,5,a,b,c} |
|
{1,2,3,b,c} |
|
{2,3,b,c} |
|
{1,2,3,4,b,c} |
|
{1,5,a,c,d} |
A?B kümesi, A ve B kümesinin ortak elemanlarından oluşacağından dolayı {2,3,b,c} ye eşittir. (A?B)?C kümesi ise A?B={2,3,b,c} kümesinin elemanlarından veya C={1,b,c} kümesinin elemanlarından oluşacağından {1,2,3,b,c} ye eşittir.
9.Soru
(x+1).(x-4)>0 eşitsizliğini sağlayan değeri aşağıdakilerden hangisidir?
|
|
|
|
|
|
|
|
|
|
x+1=0, x>-1
x-4=0 x>4
Olarak elde edilir. İki eşitsizliğin ortak değerleri x lerin aralığında olmamasını gösterir.
10.Soru
f:R›R, f(x)=6x-7 fonksiyonu için f(3)+2f(1) değeri kaçtır?
|
-2
|
|
0
|
|
4
|
|
9
|
|
11
|
11.Soru
(-2,7) ve (1,5) açık aralıkların kesişimi aşağıdakilerden hangisidir?
|
(-2,7) |
|
(1,5) |
|
[-7,1] |
|
(1,7) |
|
(-2,5) |
Verilen kümeleri liste yöntemi ile gösterirsek;
(-2,7)={x:-2<x<7,x∈R} ve (1,5)={x:1<x<5,x∈R} şeklinde olur. Kümeleri için (1,5)⊂(-2,7) olduğundan (-2,7)∩(1,5)=(1,5) olur. Dolayısıyla doğru cevap B'dir.
12.Soru
10.000 TL yıllık %10 bileşik faizle bankaya yatırıldığında 3 yıl sonra hesaptaki paranın değeri kaç TL olur?
|
11.000
|
|
12.100
|
|
13.310
|
|
14.641
|
|
16.105
|
14.Soru
25 kişilik bir sınıfta öğrencilerin tümü İngilizce ve Fransızca dillerinden en az birini konuşmaktadır. Sınıfta yalnızca İngilizce konuşan 9, yalnızca Fransızca konuşan 6 öğrenci olduğuna göre her iki dili de konuşan kaç öğrenci vardır?
|
10 |
|
15 |
|
16 |
|
19 |
|
20 |
15.Soru
Grafiği verilen fonksiyon aşağıdakilerden hangisidir?
|
f(x)=x2+4 |
|
f(x)=x2+4x |
|
f(x)=x2+4x+2 |
|
f(x)=x2+4x-2 |
|
f(x)=x2+4x+4 |
f(x) fonksiyonuna x=0 yerleştirildiğinde fonksiyonun y eksenini kestiği noktayı f(0)=4 olarak, x=-2 yerleştirdiğimizde f(-2)=0 veren fonksiyon x2+4x+4 şeklindedir.
16.Soru
|
6 |
|
3 |
|
√6 |
|
√3 |
|
√2 |
Dolayısıyla doğru cevap A'dır.
17.Soru
g:R›R,f(x)=2x+5,g(x)=x+1 olduğuna göre (gof) fonksiyonu aşağıdakilerden hangisidir?
|
(gof)(x)=2x+6
|
|
(gof)(x)=x+6
|
|
(gof)(x)=x-6
|
|
(gof)(x)=2x+7
|
|
(gof)(x)=6x-2
|
18.Soru
işleminin sonucu kaçtır?
|
8 |
|
7 |
|
4 |
|
3 |
|
2 |
Doğru cevap C şıkkıdır.
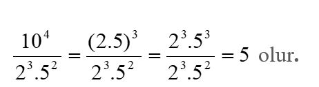
19.Soru
sayısı aşağıdakilerden hangisidir?
|
5 |
|
6 |
|
7 |
|
8 |
|
9 |
20.Soru
Aşağıdakilerden hangisi y=x+4 ile y=2x-1 doğrularının kesişim noktasıdır?
|
(3,7) |
|
(-2,2) |
|
(2,3) |
|
(5,9) |
|
(9,5) |
Kesişim noktası her iki doğrunun da üzerindedir. O halde hem 1. denklemi hem de ikinci denklemi sağlayan (x,y) sıralı ikisini bulmalıyız. Cebirsel olarak x+4=2x-1, x=5 olmalıdır. Y=x+4 denkleminde x yerine 5 koyarsak 9 olarak hesaplayabiliriz. Kesşim noktası (5,9) olmalıdır.
-
- 1.SORU ÇÖZÜLMEDİ
- 2.SORU ÇÖZÜLMEDİ
- 3.SORU ÇÖZÜLMEDİ
- 4.SORU ÇÖZÜLMEDİ
- 5.SORU ÇÖZÜLMEDİ
- 6.SORU ÇÖZÜLMEDİ
- 7.SORU ÇÖZÜLMEDİ
- 8.SORU ÇÖZÜLMEDİ
- 9.SORU ÇÖZÜLMEDİ
- 10.SORU ÇÖZÜLMEDİ
- 11.SORU ÇÖZÜLMEDİ
- 12.SORU ÇÖZÜLMEDİ
- 13.SORU ÇÖZÜLMEDİ
- 14.SORU ÇÖZÜLMEDİ
- 15.SORU ÇÖZÜLMEDİ
- 16.SORU ÇÖZÜLMEDİ
- 17.SORU ÇÖZÜLMEDİ
- 18.SORU ÇÖZÜLMEDİ
- 19.SORU ÇÖZÜLMEDİ
- 20.SORU ÇÖZÜLMEDİ