aof.sorular.net
Genel Matematik
Genel Matematik Deneme Sınavı
Genel Matematik Deneme Sınavı Sorusu #444632
Genel Matematik Deneme Sınavı Sorusu #444632
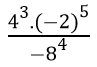
sayısı aşağıdakilerden hangisidir?
|
-1/4 |
|
-1/2 |
|
2 |
|
1/4 |
|
1/2 |
Yanıt Açıklaması:
olur.
Yorumlar
- 0 Yorum