Genel Matematik Ara 21. Deneme Sınavı
Toplam 18 Soru1.Soru
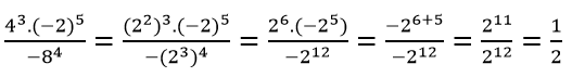
sayısı aşağıdakilerden hangisidir?
|
-1/4 |
|
-1/2 |
|
2 |
|
1/4 |
|
1/2 |
olur.
2.Soru
Fonksiyonların tanım ve değer kümeleriyle ilgili aşağıdaki ifadelerden hangisi doğrudur?
|
Tanım kümesi değer kümesinin alt kümesidir.
|
|
Değer kümesi tanım kümesinin alt kümesidir.
|
|
Görüntü kümesi tanım kümesinin alt kümesidir.
|
|
Görüntü kümesi değer kümesinin alt kümesidir.
|
|
Değer kümesi görüntü kümesinin alt kümesidir.
|
3.Soru
f(x)=2x üstel fonksiyonu veriliyor. f(-1) aşağıdakilerden hangisidir?
|
1/4 |
|
1/2 |
|
-1 |
|
2 |
|
0 |
f(-1)=2-1=1/2 olur. Doğru cevap B'dir.
4.Soru
Aşağıda verilen doğruların kesişim noktasının koordinatları aşağıdakilerden hangisidir?
|
(1/2, 3/2) |
|
(7/2, 7/2) |
|
(1/2, 1/2) |
|
(7/2, 1/2) |
|
(1/2, 7/2) |
y=x+3 ve y=-x+4 doğrularının kesişim noktası her iki doğru üzerinde de olacağından bu noktanın koordinatları iki doğrunun denklemini de sağlamalıdır. iki denklemin oluşturduğu denklem sisteminin çözülmesi gerekmektedir. Bu durumda x+3=-x+4 olmalıdır. Buradan 2x=1 bulunur ve sonuç olarak çözüm x=1/2 ve y=7/2 yani (1/2,7/2) olarak bulunur. O halde bu iki doğrunun kesişim noktasının koordinatları (1/2, 7/2)’dir. Doğru yanıt E seçeneğidir.
5.Soru
Aşağıdaki sayılardan hangisi en büyüktür?
|
log39 |
|
log28 |
|
log1/2(1/16) |
|
log5(1/25) |
|
log1/3(1/27) |
olur.
6.Soru
52 kişilik bir sınıfta resim dersinden başarılı olanlar 26 ve müzik dersinden başarılı olanlar 32 kişidir. Her iki dersten başarılı olanlar 18 kişi olduğuna göre her iki dersten başarısız kaç kişi vardır ?
|
25 |
|
20 |
|
17 |
|
15 |
|
12 |
Resim dersini alan kişileri R ve müzik dersini alan kişileri M ile göserelim. Her iki dersi alıp başarılı olanlar R∩M=18 kişidir.
R\M yani sadece resimden başarılı öğrencilerin kümesi, 26-18=8 kişidir.
M\R yani yalnızca müzik dersinden başarılı öğrencilerin kümesi 32-18=14 kişidir.
Bu derslerden herhangi birinden başarılı öğrencilerin kümesi R∪M olur. Bu kümenin 18+14+8=40 elemanı vardır.
Sınava giren 52 öğrenci, en az bir dersten başarılı 40 öğrenci olduğuna göre , her iki dersten başarısız öğrenci sayısı 52-40=12 bulunur. Dolayısıyla doğru cevap E'dir.
8.Soru
x2+x-6=0 denkleminin çözüm kümesi aşağıdakilerden hangisidir?
|
{-3,3} |
|
{1,2} |
|
{-1,3} |
|
{-3,2} |
|
{2,3} |
9.Soru
|
|
|
|
|
|
|
|
|
|
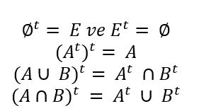
E evrensel küme olmak üzere A ve B kümeleri için
olduğunu söyleyebiliriz.
10.Soru
y=3x+1 doğrusu aşağıdaki doğrulardan hangisi ile kesişir?
|
y=x+1
|
|
y=3x
|
|
y=3x-1
|
|
y=2+3x
|
|
y=-1+3x
|
11.Soru
f : R›R, f (x) = x + 3 ve g : R›R, g (x) = 4 – x olmak üzere f ° g bileşke fonsiyonu aşağıdakilerden hangisidir?
|
x+2 |
|
x-2 |
|
7-x |
|
x+7 |
|
x |
f ve g fonksiyonları R'den R'ye tanımlı fonksiyonlar olduğundan f °g fonksiyonu da R'den R'ye tanımlı bir fonksiyon olacaktır.
Herhangi bir x gerçel sayısı için (f ° g)(x) = f(g(x)) olduğundan,
(f ° g)(x) = f(g(x))
= g(x) + 3
= 4 – x + 3
= 7 - x olur.
13.Soru
Murat ile Veli'nin yaşları toplamı 54’dür. Murat, Veli'nin bugünkü yaşındayken Veli 18 yaşında olduğuna göre Murat bugün kaç yaşındadır?
|
35 |
|
30 |
|
25 |
|
20 |
|
15 |
Murat'ın yaşı x olsun. Veli'nin yaşı 54 – x olur. Murat Veli'nin bugünkü yaşında ise Murat'ın yaşı 54 – x, Veli ise 18 yaşında olacaktır. Yaşları arasındaki fark eşit olacağından,
(54 – x) – x = 18 – (54 – x)
54 – 2x = 18 – 54 + x
54 + 36 = 2x + x
90 = 3x
30 = x
elde edilir.
14.Soru
fonksiyonu veriliyor. f(0)-3f(2) değeri aşağıdakilerden hangisidir?
|
23/8 |
|
21/4 |
|
5/8 |
|
23/3 |
|
19/8 |
olacaktır. Doğru cevap A'dır.
15.Soru
100 lira ile tanesi 3 lira olan defterlerden 6 tane alındıktan sonra, tanesi 5 lira olan kalemlerden en fazla kaç tane alınabilir?
|
8
|
|
10
|
|
12
|
|
14
|
|
16
|
16.Soru
Aşağıdaki sayılardan hangisi en küçüktür?
|
log416
|
|
log5625
|
|
log100
|
|
log327
|
|
log6216
|
17.Soru
f : IR› IR ; f(x)=4x+4 ise f^(-1) (8)=?
|
1
|
|
1/2
|
|
1/4
|
|
1/8
|
|
4
|
-
- 1.SORU ÇÖZÜLMEDİ
- 2.SORU ÇÖZÜLMEDİ
- 3.SORU ÇÖZÜLMEDİ
- 4.SORU ÇÖZÜLMEDİ
- 5.SORU ÇÖZÜLMEDİ
- 6.SORU ÇÖZÜLMEDİ
- 7.SORU ÇÖZÜLMEDİ
- 8.SORU ÇÖZÜLMEDİ
- 9.SORU ÇÖZÜLMEDİ
- 10.SORU ÇÖZÜLMEDİ
- 11.SORU ÇÖZÜLMEDİ
- 12.SORU ÇÖZÜLMEDİ
- 13.SORU ÇÖZÜLMEDİ
- 14.SORU ÇÖZÜLMEDİ
- 15.SORU ÇÖZÜLMEDİ
- 16.SORU ÇÖZÜLMEDİ
- 17.SORU ÇÖZÜLMEDİ
- 18.SORU ÇÖZÜLMEDİ