aof.sorular.net
Genel Matematik
Genel Matematik Deneme Sınavı
Genel Matematik Deneme Sınavı Sorusu #465027
Genel Matematik Deneme Sınavı Sorusu #465027
f(x)=(3x2-2x+1)4 ise f'(1) değeri kaçtır?
|
32 |
|
64 |
|
-64 |
|
128 |
|
-128 |
Yanıt Açıklaması:
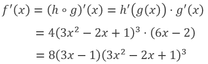
Bileşke fonksiyonun türevi kuralını kullanarak h(x)=x4 ve g(x)=3x2-2x+1 için
buluruz. O halde
elde ederiz. Doğru cevap D'dir.