Genel Matematik Final 12. Deneme Sınavı
Toplam 19 Soru1.Soru
|
|
|
|
|
|
|
|
|
4 |
İstenen toplam alt aralıkların sağ uçlarındaki değerler dikkate alınarak
olarak hesaplanır.
2.Soru
On binde birin 10 tabanına göre logaritması aşağıdakilerden hangisidir?
|
-1 |
|
-2 |
|
-3 |
|
-4 |
|
-5 |
1/10000=1/104=10-4 olduğundan, log 10-4=-4.log 10=-4.1=-4 olacaktır. Dolayısıyla cevap D seçeneğidir.
3.Soru
3x+5y=112x-y=3denklem sisteminin çözümünde (x,y) sıralı ikilisi aşağıdakilerden hangisidir?
|
(2, 3) |
|
(2, 1) |
|
(2, 4) |
|
(1, 4) |
|
(5, 2) |
3x+5y=11
10x-5y=15
taraf tarafa toplayalım. 13x=26, x=2 ve y=1 bulunur. Doğru cevap B'dir.
4.Soru
log3=0,4 ise log27 kaçtır?
|
1,2 |
|
2,4 |
|
3 |
|
4,6 |
|
6 |
log27=log33=3log3=3.0,4=1,2 olur.
5.Soru
?3x^2 dx belirsiz integralini hesaplayınız.
|
6x+c
|
|
x^3 +c
|
|
x^2 +c
|
|
3x^3 +c
|
|
3x+c
|
6.Soru
150 TL lik bir gömlek indirime girmiş ve fiyatı 69TL olmuştur. Bu gömleğin fiyatında yüzde kaç indirim yapılmıştır?
|
%55
|
|
%54
|
|
%53
|
|
%52
|
|
%51
|
7.Soru
x2-ax+a2=0 denkleminin çözüm kümesi ile ilgili olarak aşağıdakilerden hangisi doğrudur?
|
Denklemin bir kökü yoktur. |
|
|
|
|
|
|
|
|
8.Soru
Gerçel sayılar kümesinden yine gerçel sayılar kümesine f(x)=4x+7 fonksiyonu verilsin. 4f(1)+f(0) kaça eşittir?
|
51
|
|
52
|
|
53
|
|
54
|
|
55
|
9.Soru
f(x)=x^2+1 fonksiyonu hangi aralıkta artandır?
|
( -∞, 1 ) |
|
( 4, ∞ ) |
|
(3, 8) |
|
(0, ∞) |
|
( -∞, 5 ) |
Birinci türevin sıfır olduğu nokta f'(x)=2x=0 eşitliğinden x = 0 noktasıdır. x > 0 iken f'(x)>0; x < 0 iken f'(x)<0 olduğundan fonksiyon x > 0 iken yani ( 0, ∞ ) aralığında artandır. Dolayısıyla doğru cevap D'dir.
10.Soru
Ortak çarpanı 3 ve ilk terimi 3 olan bir geometrik dizinin ilk üç teriminin toplamı kaçtır?
|
9 |
|
15 |
|
27 |
|
36 |
|
39 |
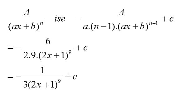
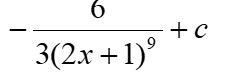
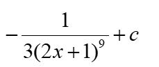
13.Soru
f(x)=x(x2+2x) fonksiyonunun x=3 noktasındaki anlık hızı aşağıdakilerden hangisidir?
|
39 |
|
36 |
|
29 |
|
27 |
|
19 |
f(x)=x(x2+2x)=x3+2x2 olduğundan x=3 noktasındaki anlık hız, o noktadaki türeve karşılık gelir, yani
değerine karşılık gelir.
14.Soru
(x+3).(2x-5)=3.(x+3) denkleminin çözüm kümesi aşağıdakilerden hangisidir?
|
{-3} |
|
{4} |
|
N |
|
R |
|
{-3,4} |
Bir denklemde eşitliğin her iki tarafının sıfırdan farklı bir sayı ile çarpılması veya o sayıya bölünmesi denklemin köklerini etkilemezken bilinmeyen içeren cebirsel bir ifade ile çarpılması veya bölünmesi çözüm kümesini değiştirebilir. Soruda her iki tarafta aynı çarpan olduğuna dikkat edelim. Eğer sadeleştirirsek 2x-5=3 eşitliğini elde ederiz ve buradan x=4 bulunur. Şimdi denklemde x yerine -3 koyalım. Yine eşitliğin sağlandığını görebiliriz. O halde çözüm kümesini eksik bulduk. O nedenle sadeleştirme yapmadan denklemi çözmeliyiz:
(x+3).(2x-5)=3.(x+3)
(x+3).(2x-5)-3.(x+3)=0
(x+3).(2x-5-3)=0
(x+3)(2x-8)=0
x+3=0 veya 2x-8=0, x1=-3 ve x2=4 olarak elde edilir. O halde çözüm kümesi {-3,4} olarak bulunur.
16.Soru
f(x)=x^3+4x^2+ax-5 fonksiyonunun x=2 noktasında eksremumu varsa a ne olmalıdır?
|
2/19
|
|
-2/19
|
|
28
|
|
-28
|
|
0
|
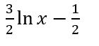
17.Soru
f(x)=(3x2-2x+1)4 ise f'(1) değeri kaçtır?
|
32 |
|
64 |
|
-64 |
|
128 |
|
-128 |
Bileşke fonksiyonun türevi kuralını kullanarak h(x)=x4 ve g(x)=3x2-2x+1 için
buluruz. O halde
elde ederiz. Doğru cevap D'dir.
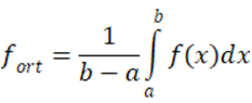
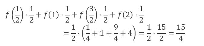
18.Soru
fonksiyonunun ortalama değeri aşağıdakilerden hangisidir?
|
0 |
|
2 |
|
4 |
|
6 |
|
8 |
f'nin ortalama değeri
ile hesaplanır. Formülü kullanarak,
bulunur.
19.Soru
%25 indirimle 180 TL'ye satılan bir ayakkabının indiriö öncesi fiyatı aşağıdakilerden hangisidir?
|
254
|
|
240
|
|
300
|
|
278
|
|
230
|
-
- 1.SORU ÇÖZÜLMEDİ
- 2.SORU ÇÖZÜLMEDİ
- 3.SORU ÇÖZÜLMEDİ
- 4.SORU ÇÖZÜLMEDİ
- 5.SORU ÇÖZÜLMEDİ
- 6.SORU ÇÖZÜLMEDİ
- 7.SORU ÇÖZÜLMEDİ
- 8.SORU ÇÖZÜLMEDİ
- 9.SORU ÇÖZÜLMEDİ
- 10.SORU ÇÖZÜLMEDİ
- 11.SORU ÇÖZÜLMEDİ
- 12.SORU ÇÖZÜLMEDİ
- 13.SORU ÇÖZÜLMEDİ
- 14.SORU ÇÖZÜLMEDİ
- 15.SORU ÇÖZÜLMEDİ
- 16.SORU ÇÖZÜLMEDİ
- 17.SORU ÇÖZÜLMEDİ
- 18.SORU ÇÖZÜLMEDİ
- 19.SORU ÇÖZÜLMEDİ