aof.sorular.net
Genel Matematik
Genel Matematik Deneme Sınavı
Genel Matematik Deneme Sınavı Sorusu #574917
Genel Matematik Deneme Sınavı Sorusu #574917
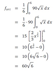
Bir otomobil bayinde kampanya düzenlenmiştir. Kampanya düzenlendikten x ay sonraki araç satışları
fonksiyonu olarak veriliyor. İlk 6 ay sonunda satılan ortalama araç sayısı aşağıdakilerden hangisinde doğru olarak verilmiştir?
|
105 |
|
121 |
|
135 |
|
142 |
|
147 |
Yanıt Açıklaması:
Bu da yaklaşık olarak 147 araç demektir. Dolayısıyla doğru cevap E'dir.
Yorumlar
- 0 Yorum