Genel Matematik Final 15. Deneme Sınavı
Toplam 19 Soru2.Soru
f (x) = x2 - 5x fonksiyonunun grafiğine (2, -6) noktasında çizilecek teğet doğrusunun denklemi aşağıdakilerden hangisidir?
|
y = -x - 4
|
|
y = -x + 6
|
|
y = x - 4
|
|
y = x + 6
|
|
y = 2
|
5.Soru
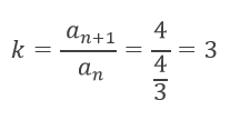
Bir geometrik dizinin ilk terimi 4/3, ikinci terimi 4 olduğuna göre dördüncü terimi kaçtır?
|
6 |
|
14 |
|
24 |
|
36 |
|
48 |
Yanıt Açıklaması:
a1=4/3 ve a2=4 ise geometrik dizinin ortak çarpanı
ve dördüncü elemanı
olur.
6.Soru
f(x)=2x+1 ve g(x)=3x-2 ise
fonksiyonu aşağıdakilerden hangisidir?
|
6x-6 |
|
6x-3 |
|
-6x+1 |
|
6x+1 |
|
-6x+3 |
Yanıt Açıklaması:
elde edilir.
7.Soru
Aşağıda verilen ifadelerden hangisi doğrudur?
|
|
|
|
|
|
|
|
|
|
Yanıt Açıklaması:
8.Soru
f(x)=x^3-4 x^2 +4 fonksiyonunun (1,1) noktasındaki teğet doğrusunun denklemi nedir?
|
y=-5x-5
|
|
y=-5x+4
|
|
y=5x-4
|
|
y=-5x
|
|
y=4x-5
|
Yanıt Açıklaması:
df/dx=3x^2-8x olduğundan teğet doğrusunun eğimi m=df/dx(1,1)=-5 bulunur.Böylece teğet doğrusunun denklemi y-1=-5(x-1) veya düzenlersek y=-5x+4 bulunur.
9.Soru
Hangi sayının %25 i alınırsa 30 elde edilir?
|
190
|
|
160
|
|
150
|
|
120
|
|
90
|
Yanıt Açıklaması:
x= ( 100 . 30 ) / 25 = 120
11.Soru
2(x-2) = 3x+4 denkleminin çözümü aşağıdakilerden hangisidir?
|
-8
|
|
-7
|
|
-6
|
|
-5
|
|
-4
|
12.Soru
Aşağıdaki sayılardan hangisi en küçüktür?
|
log327
|
|
log464
|
|
log1000
|
|
log28
|
|
log525
|
13.Soru
Yıllık %20 bileşik faiz oranıyla bankaya yatırılan 200.000 lira 5 yıl sonra kaç liraya ulaşır?
|
422.668
|
|
435.214
|
|
454.366
|
|
476.256
|
|
497.664
|
14.Soru
Haftalık harçlığı 100 TL olan bir çocuğun harçlığı önce %10 azaltılır sonra %10 arttırılırsa çocuğun harçlığındaki değişim ne olur?
|
%1 azalır
|
|
%1 artar
|
|
Değişiklik olmaz
|
|
%2 artar
|
|
%2 azalır
|
15.Soru
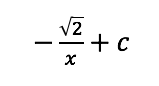
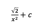
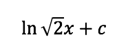
F'(x)=x2 ve F(0)=2 olan F(x) fonksiyonu aşağıdakilerden hangisidir?
|
x3/3 +1 |
|
x3/4 +2 |
|
x3/3 +2 |
|
x3/3 +4 |
|
x3/3 |
Yanıt Açıklaması:
İlk önce
belirsiz integrali hesaplanırsa,
elde edilir. Bu durumda
olan bir fonksiyondur. F(0) =2 koşulunu sağlayan c'yi bulursak, 2=0/3+c ise c = 2 elde edilir. Buradan F(x)=x3/3+2 elde edilir.
17.Soru
Bir sayının %13’ü ile %35’inin toplamı 48 olduğuna göre, bu sayı aşağıdakilerden hangisidir?
|
50
|
|
100
|
|
150
|
|
75
|
|
125
|
Yanıt Açıklaması:
Aranan sayıyı x ile gösterelim. Bu sayının, %13’ü x*13/100 ve %35'i x *35/100 olduğundan toplamları, 48*x/100 olarak bulunur. Bu toplam da 48 olarak verildiğine göre 48*x/100=48 den x=100 olarak bulunur.
19.Soru
Bir otomobil bayinde kampanya düzenlenmiştir. Kampanya düzenlendikten x ay sonraki araç satışları
fonksiyonu olarak veriliyor. İlk 6 ay sonunda satılan ortalama araç sayısı aşağıdakilerden hangisinde doğru olarak verilmiştir?
|
105 |
|
121 |
|
135 |
|
142 |
|
147 |
Yanıt Açıklaması:
Bu da yaklaşık olarak 147 araç demektir. Dolayısıyla doğru cevap E'dir.
-
- 1.SORU ÇÖZÜLMEDİ
- 2.SORU ÇÖZÜLMEDİ
- 3.SORU ÇÖZÜLMEDİ
- 4.SORU ÇÖZÜLMEDİ
- 5.SORU ÇÖZÜLMEDİ
- 6.SORU ÇÖZÜLMEDİ
- 7.SORU ÇÖZÜLMEDİ
- 8.SORU ÇÖZÜLMEDİ
- 9.SORU ÇÖZÜLMEDİ
- 10.SORU ÇÖZÜLMEDİ
- 11.SORU ÇÖZÜLMEDİ
- 12.SORU ÇÖZÜLMEDİ
- 13.SORU ÇÖZÜLMEDİ
- 14.SORU ÇÖZÜLMEDİ
- 15.SORU ÇÖZÜLMEDİ
- 16.SORU ÇÖZÜLMEDİ
- 17.SORU ÇÖZÜLMEDİ
- 18.SORU ÇÖZÜLMEDİ
- 19.SORU ÇÖZÜLMEDİ