aof.sorular.net
Genel Matematik
Genel Matematik Deneme Sınavı
Genel Matematik Deneme Sınavı Sorusu #393073
Genel Matematik Deneme Sınavı Sorusu #393073
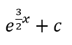
belirsiz integralinin sonucu nedir?
|
|
|
|
|
|
|
|
|
|
Yanıt Açıklaması:
Üstel fonksiyon kuralı
Yorumlar
- 0 Yorum